Кэп
Кэп, 5'-кэп (произносится как пять-штрих-кэп), или кэп-структура (от англ. cap — шапка) — структура на 5'-конце матричных РНК (мРНК) и некоторых других РНК эукариот. Кэп состоит из одного или нескольких модифицированных нуклеотидов и характерен только для транскриптов, синтезируемых РНК-полимеразой II. Наличие кэпа — один из признаков, отличающих эукариотические мРНК от прокариотических, которые несут трифосфат на 5'-конце. Это и другие отличия обуславливают существенно более высокую стабильность, особый механизм инициации трансляции и другие особенности жизненного цикла эукариотической мРНК[1][2].
Кэп представляет собой модифицированный рибонуклеотид — 7-метилгуанозин, соединённый 5',5'-трифосфатным мостиком с первым нуклеотидным остатком транскрипта. В узком смысле под кэпом понимают именно 7-метилгуанозин. Кроме того, первые два нуклеотида транскрипта могут быть метилированы по 2'-O-положению остатка рибозы. Кэп способствует эффективному процессингу пре-мРНК, экспорту мРНК из ядра, её трансляции и защите от быстрой деградации[3][1].
История
До 1970-х годов биохимические исследования мРНК проводили в основном на кишечной палочке (Escherichia coli) и бактериофагах. К этому времени было установлено, что мРНК кишечной палочки имеют три фосфатные группы на 5'-конце, такое же допущение делалось и относительно эукариотических мРНК. В 1971—1972 годах Кин-Итиро Миура и Аарон Шаткин установили, что РНК реовируса содержат 2'-O-метилгуанозинфосфат. Это было первое свидетельство присутствия нуклеотидов с метильными группами в РНК вирусов эукариот[4].
Миура продолжил работу в Японии вместе с Ясухиро Фуруити. Последний установил, что для эффективной транскрипции генов вируса цитоплазматического полиэдроза необходимо присутствие в реакционной смеси донора метильных групп (S-аденозилметионина), при этом одна метильная группа входит в состав первого нуклеотида транскрипта, а вторая — в состав неизвестного компонента. Также Фуруити отметил, что 5'-конец таких РНК оказывается защищён от действия щелочной фосфатазы[5]. В том же году было опубликовано ещё несколько статей, описывающих присутствие метилированных нуклеотидов в РНК, выделенных из эукариотических клеток. После обсуждения всех полученных результатов Фриц Роттман выдвинул предположение, что m7GppNp (где N — любой нуклеотид) является структурой, блокирующей 5'-концы всех эукариотических мРНК[6]. Немного позднее Фуруити и Миура уточнили эту структуру и показали наличие в ней не ди-, а трифосфатного мостика. В то же время Вей и Мосс и группа Миуры обнаружили m7GpppGp и m7GpppAp на 5'-концах мРНК вируса осповакцины[4].
Вскоре Фуруити, Шаткин и Джеймс Дарнелл с коллегами проанализировали мРНК клеток HeLa и обнаружили, что их 5'-концы защищены такой же структурой, как и вирусные РНК[7]. Дарнелл впервые предложил использовать термин «кэп»[4].
Особый кэп (m2,2,7GpppNp), характерный для малых ядерных РНК, был впервые обнаружен группой Харриса Буша. Однако, как и в случае с обычным кэпом, в первый раз структура была определена неправильно: она содержала дифосфатный мостик вместо трифосфатного[8].
Ферменты кэпирования были впервые выделены в лаборатории Мосса[1].
Типы кэп-структуры и их распространённость

У подавляющего большинства эукариот 5'-конец транскриптов, синтезируемых РНК-полимеразой II, во время транскрипции модифицируется путём присоединения 7-метилгуанозина (см. рисунок). РНК-полимераза II синтезирует все пре-мРНК, некоторые малые ядерные РНК и малые ядрышковые РНК. Вирусы, которые приспособлены к жизни в эукариотических клетках, также могут иметь кэпированные РНК независимо от того, синтезируются ли они РНК-полимеразой II или другим ферментом[9]. В зависимости от систематического положения эукариотического организма и типа РНК первоначальная кэпирующая структура может подвергаться дальнейшим модификациям, главным образом, метилированию[10].

На 2013 год известны следующие типы кэпа[1][10][11]:
- кэп 0 (m7GpppNp, где N — любой нуклеотид) — это минимальная кэпирующая структура, которая представляет собой 7-метилгуанозин, соединённый 5',5'-трифосфатным мостиком с первым нуклеотидом РНК[1]. Кэп 0 распознаётся фактором инициации трансляции eIF4E[12]. Кэп 0 характерен для РНК растений (а также вирусов растений) и грибов, у животных он встречается редко (например, кэп 0 обнаружен наряду с кэпом 1 и 2 у Drosophila melanogaster)[1];
- кэп 1 (m7GpppNm2'-Op) отличается от кэпа 0 метилированием первого нуклеотида транскрипта по 2'-O-положению рибозы;
- кэп 2 (m7GpppNm2'-OpNm2'-Op) отличается от кэпа 0 метилированием первого и второго нуклеотидов транскрипта по 2'-O-положению рибозы. Для РНК животных характерны кэп 1 и кэп 2, соотношение которых в клетке зависит от вида организма. мРНК и, в некоторых случаях, геномные РНК вирусов животных содержат кэп 1 или кэп 2[1];
- кэп 4 (m7GpppNm2'-OpNm2'-OpNm2'-OpNm2'-Op) обнаружен у некоторых простейших[11];
- 2,2,7-триметилгуанозиновый кэп (m2,2,7GpppNp) характерен для малых ядерных РНК и служит сигналом к их транспорту и/или удержанию в ядре[10].
Интересно, что в РНК вирусов животных первым нуклеотидом после 7-метилгуанозина обычно является пурин, который может быть дополнительно метилирован по атомам азотистого основания (например, с образованием N6-метиладенозина). В клеточных же мРНК животных первым нуклеотидом после кэпа может быть любой из четырёх, и он тоже, как правило, дополнительно метилирован. В целом можно сказать, что чем более высоко организован организм, тем больше метильных групп приходится на один его кэп[1].
Механизм
Ферменты

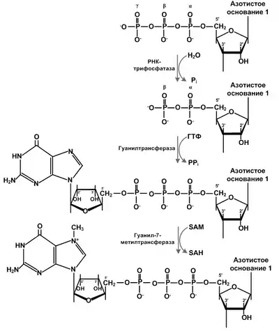
Кэпирование — первый этап созревания РНК. Кэпирование происходит во время транскрипции в ядре клетки, когда синтезируемый транскрипт достигает длины 25—30 нуклеотидов[13]. Кэпирование осуществляется тремя ферментами: РНК-трифосфатазой, гуанилтрансферазой и гуанил-N7-метилтрансферазой[14].
РНК-трифосфатаза отщепляет γ-фосфатную группу от 5'-концевого нуклеотида транскрипта. Аминокислотная последовательность РНК-трифосфатаз существенно варьирует среди эукариот, и можно выделить по крайней мере два семейства данных ферментов: РНК-трифосфатазы, зависимые от бивалентных катионов (характерные для простейших, грибов и вирусов эукариот), и РНК-трифосфатазы, независимые от бивалентных катионов (характерные для животных и растений)[15].
У пекарских дрожжей (Saccharomyces cerevisiae) РНК-трифосфатаза кодируется собственным геном Cet1, в то время как у млекопитающих и других многоклеточных синтезируется бифункциональный фермент, который обладает и РНК-трифосфатазной (N-концевой домен), и гуанилтрансферазной активностью (C-концевой домен)[16]. Гуанилтрансфераза (у дрожжей кодируется геном Ceg1) осуществляет перенос остатка ГМФ из ГТФ на β-фосфатную группу 5'-концевого нуклеотида транскрипта с формированием структуры GpppN. Эта реакция происходит в два этапа с образованием промежуточного соединения фермент-(лизил-N)-ГМФ. Гуанилтрансфераза может использовать только 5'-дифосфат в качестве субстрата, что гарантирует кэпирование только 5'-концов первичных транскриптов, но не тех, что сформировались в результате эндонуклеолитического процессинга РНК (отщепления 5'-концевых фрагментов РНК под действием эндонуклеаз). Как исключение, у трипаносом и нематод возможно кэпирование мРНК, прошедших эндонуклеолитический процессинг. Короткие лидерные кэпированные РНК сшиваются с 5'-концом такой мРНК. Однако и в этом случае лидерные РНК подвергаются кэпировани в процессе транскрипции[16].
N7-метилтрансфераза (или 7-метилтрансфераза) у всех организмов кодируется отдельным геном (Abd1 у дрожжей)[15]. Этот фермент катализирует перенос метильной группы от S-аденозилметионина на Gppp-РНК с образованием m7Gppp-РНК.
Связь с транскрипцией
Кэпирование в процессе транскрипции обеспечивается тем, что соответствующие ферменты напрямую связываются с фосфорилированным C-концевым доменом большой субъединицы РНК-полимеразы II[17][18]. С-концевой домен имеет уникальную эволюционно консервативную структуру: он состоит из многократно повторяющихся аминокислотных мотивов Tyr-Ser-Pro-Thr-Ser-Pro-Ser[15].
Несколько протеинкиназ могут фосфорилировать аминокислотные остатки в C-концевом домене. Переход от инициации транскрипции к ранней элонгации сопровождается фосфорилированием Ser-5 фактором транскрипции TFIIH[19]. В ходе транскрипции количество фосфорилированного Ser-5 снижается, и начинает преобладать фосфорилированный Ser-2[15]. После фосфорилирования РНК-полимеразы II по Ser-5 к транскрипционному комплексу присоединяется негативный транскрипционный фактор DSIF (англ. DRB sensitivity inducing factor), который в свою очередь привлекает второй негативный регулятор — NELF (англ. negative elongation factor). Вместе эти факторы временно ингибируют дальнейшее прохождение транскрипции.
Гуанилтрансферазный домен кэпирующего фермента млекопитающих имеет сродство к С-концевому домену РНК-полимеразы II, фосфорилированному по Ser-5. У дрожжей с РНК-полимеразой связывается гуанилтрансфераза Ceg1, которая затем привлекает в комплекс РНК-трифосфатазу Cet1. Кроме того, гуанилтрансфераза связывается одновременно и с одной из субъединиц фактора DSIF. Связывание с фосфорилированной формой РНК-полимеразы и с DSIF стимулирует каталитическую активность гуанилтрансферазы[20].
Описанные взаимодействия обеспечивают прохождение кэпирования вскоре после инициации транскрипции и до того, как транскрипционный комплекс перейдёт к продуктивной элонгации. Считается, что фосфорилированный Ser-5 пропадает к тому моменту, как транскрипт достигает длины 500 нуклеотидов. К этому же времени из транскрипционного комплекса диссоциируют и кэпирующие ферменты[19]. Важно отметить, что не только транскрипция определяет ход кэпирования, но и успешность процесса кэпирования оказывает влияние на дальнейший ход транскрипции (см. ниже).
Функции
Кэпирование 5'-конца РНК-транскрипта во многом определяет его дальнейшую судьбу в клетке. Известны следующие функции кэпа:
- регуляция транскрипции;
- участие в сплайсинге;
- участие в процессинге 3'-конца мРНК;
- регуляция транспорта РНК между ядром и цитоплазмой;
- защита транскрипта от деградации под действием экзонуклеаз;
- стимуляция трансляции.
Регуляция транскрипции
Ряд исследований указывает на то, что кэпирующие ферменты могут играть роль в регуляции транскрипции[20]. В 2007 году было показано, что промоторы многих генов эукариот постоянно содержат полностью собранный инициаторный комплекс, который может синтезировать короткие транскрипты, однако дальнейшее продвижение этого комплекса внутрь гена, то есть переход от инициации к элонгации транскрипции, подавлено[21][22][23]. Предполагают, что такая система позволяет при необходимости быстро начать транскрипцию, что особенно важно в случае генов, отвечающих за эмбриональное развитие и ответ клетки на внешние воздействия. Механизм переключения транскрипции с «паузы» на продуктивную элонгацию в настоящее время рассматривают как ключевой способ контроля за транскрипцией. Есть основания полагать, что кэпирование может быть одним из таких «переключателей»[24].
По некоторым данным, движение транскрипционного комплекса ингибируется факторами транскрипции DSIF и NELF, которые действуют совместно, и восстанавливается под действием положительного регулятора PTEFb, который фосфорилирует повторяющиеся аминокислотные мотивы в С-концевом домене РНК-полимеразы II по положению Ser-2[20]. Несколькими группами исследователей было установлено, что транскрипция генов у дрожжей стимулируется кэпирующими ферментами[25][26][27]. Показано, что действие этих ферментов на транскрипцию не изменяется, даже если они оказываются каталитически неактивными вследствие мутаций. Этот факт позволяет предположить, что само по себе присутствие кэпирующих ферментов в транскрипционном комплексе, а не обязательно даже кэп-структура, стимулирует движение транскрипционного комплекса. Стимулирующее действие кэпирующих ферментов на транскрипцию можно объяснить, во-первых, тем что они способны связывать DSIF, вытесняя NELF из комплекса с ним, в результате чего ингибиторное действие DSIF на транскрипцию прекращается[26]. Во-вторых, показано, что 7-метилтрансфераза дрожжей Schizosaccharomyces pombe и нематоды Caenorhabditis elegans может привлекать в транскрипционный комплекс фактор транскрипции PTEFb, что способствует началу продвижения комплекса внутрь гена[28][29]. Кроме того, дополнительное привлечение PTEFb обеспечивается кэпсвязывающим белковым комплексом (CBC)[30].
В то же время показано, что транскрипция по крайней мере некоторых генов пекарских дрожжей происходит независимо от кэпирования[20]. Таким образом, у дрожжей связь кэпирования и транскрипции является характеристикой, зависящей от конкретного гена. Дальнейшие исследования могут показать, так ли это в случае других организмов.
Участие в сплайсинге

Кэп-структура стимулирует сплайсинг пре-мРНК как in vitro, так и in vivo, причём в большей степени стимулируется вырезание интрона ближайшего к 5'-концу транскрипта[31][32][33]. Позитивное действие кэпа на сплайсинг объясняется следующим образом: сразу после присоединения кэпа к 5'-концу транскрипта с ним связывается кэпсвязывающий комплекс CBC (англ. cap binding complex), который важен для последующих этапов процессинга пре-мРНК. CBC состоит из двух субъединиц: кэпсвязывающей CBP20 (англ. cap binding protein) и вспомогательной CBP80[34]. Кэпсвязывающий комплекс взаимодействует с одним из компонентов сплайсосомы, мяРНП U1, и обеспечивает его посадку на пре-мРНК недалеко от 5'-конца. мяРНП U1 отвечает за распознавание 5'-концевого сайта сплайсинга, с него начинается последующая сборка сплайсосомы[35]. Стоит отметить, что как и в случае с транскрипцией, в настоящее время точно не известно, какова доля пре-мРНК, сплайсинг которых не зависит от наличия кэпа, у разных организмов. Однако показано, что такая зависимость является геноспецифической у S. cerevisiae[20].
Участие в процессинге 3'-конца мРНК
3'-конец мРНК эукариот формируется в две стадии: сначала особая эндонуклеаза вносит разрыв в 3'-концевой участок мРНК, а затем поли(А)-полимераза присоединяет ко вновь сформированному 3'-концу полиадениновый хвост[36]. Наличие кэпа стимулирует эндонуклеолитическое расщепление 3'-конца мРНК в экстрактах ядер клеток HeLa[37][38]. Положительное действие кэпа в этом случае также осуществляется через кэпсвязывающий комплекс, который связывается с компонентами 3'-процессирующего комплекса и обеспечивает его стабильность[39]. Влияет ли наличие кэпа на эффективность полиаденилирования, в настоящее время точно не установлено.
Роль в транспорте РНК
Кэп играет важную роль транспорте РНК из ядра. Экспорт мРНК осуществляется при участии комплекса транспортных факторов Mex67—Mtr2 (у дрожжей) или TAP—p15 (у многоклеточных)[40]. Однако этот комплекс связывает мРНК не напрямую, а через адаптерный белок Yra1 (у дрожжей) или ALY/REF (у многоклеточных), который является одной из субъединиц белкового комплекса TREX. В свою очередь, TREX привлекается в комплекс с мРНК за счёт прямого взаимодействия ALY/REF с CBC80 субъединицей кэпсвязывающего комплекса[41]. Такой механизм обеспечивает присоединение транспортного комплекса близко к 5'-концу мРНК и соответствующую направленность её транспорта, 5'-концом в сторону цитоплазмы.
Малые ядерные РНК, синтезированные РНК-полимеразой II, экспортируются в цитоплазму на некоторое время для дальнейшего созревания, после чего возвращаются обратно в ядро для выполнения своих функций, при этом кэп регулирует их транспорт в обоих направлениях. мяРНК экспортируются при участии транспортного белка Crm1, который, как и в случае с мРНК, связывает специфический субстрат через адаптерный белок PHAX (англ. phosphorylated adaptor for RNA export)[42]. PHAX присоединяется к мяРНК благодаря сродству к кэпсвязывающему комплексу. В ходе формирования мяРНП в цитоплазме кэп-структура мяРНК подвергается двойному метилированию с образованием 2,2,7-триметилгуанозинового кэпа[10]. Другой транспортный фактор, снурпортин 1, узнаёт такой модифицированный кэп и обеспечивает транспорт мяРНП обратно в ядро[43]. Вероятно, что дополнительное метилирование кэпа также предотвращает повторный или случайный экспорт РНК из ядра и/или их возвращение в ядро после митоза.
Защита мРНК от деградации
Присутствие кэпа на 5'-конце защищает молекулы мРНК от быстрой деградации под действием экзонуклеаз двумя способами[44][1]. Во-первых, 5'-экзонуклеазы не могут расщеплять 5',5'-трифосфатную связь, соединяющую кэп и мРНК. Во-вторых, кэпсвязывающие белки (например, эукариотические факторы инициации трансляции eIF4E—eIF4G) блокируют доступ нуклеаз к 5'-концу мРНК[10]. Отщепление кэпа (декэпирование) является одной из ключевых стадий в некоторых путях деградации мРНК.
Роль в трансляции
Благодаря процессу расщепления мРНК, содержащих преждевременные стоп-кодоны (NMD) клетка избавляется от мРНК, на которых могут синтезироваться укороченные и вероятно неспособные выполнять свои функции белки. Зрелая мРНК, которая по-прежнему ещё содержит кэпсвязывающий комплекс CBC на 5'-конце и другие белки, характерные для ядерных мРНП, вовлекается в первый пробный раунд трансляции. Если в ходе трансляции обнаруживается присутствие преждевременного стоп-кодона, то такая мРНК подвергается деградации по пути NMD. Если же такого стоп-кодона не было, то происходит замена мРНК-связывающих белков на характерные для цитоплазмы (например, связывающийся с полиадениновым хвостом мРНК PABP2 заменяется на PABP1, CBC — на eIF4E), и мРНК становится полноценной матрицей для трансляции[45].
Большая часть мРНК эукариот транслируется по кэпзависимому механизму и только относительно небольшая их доля — по механизму внутренней посадки рибосомы. Относительно давно уже было известно, что некэпированные мРНК являются плохими матрицами для синтеза белка в экспериментах in vitro и что наличие кэпа стимулирует связывание мРНК с рибосомой[1]. На сегодняшний день описаны молекулярные основы этого явления. Инициация кэпзависимой трансляции включает этап сборки комплекса eIF4F (eIF4E—eIF4G—eIF4A) на кэпированном 5'-конце мРНК. Первым к мРНК присоединяется кэпсвязывающий фактор инициации трансляции eIF4E, который привлекает в комплекс более крупный белок eIF4G. eIF4G, в свою очередь, служит платформой для посадки других белков: eIF4A, eIF3 и PABP. Действие этих и ещё некоторых других белков подготавливает мРНК для посадки 43S преинициаторного комплекса, содержащего малую субъединицу рибосомы. После этого следует сканирование малой субъединицей рибосомы 5'-нетранслируемой области мРНК, начиная с 5'-конца, в поисках стартового кодона и начало синтеза белка[46][47].
Декэпирование и рекэпирование
Декэпирование
Кэп наряду с поли(А)-хвостом обеспечивает стабильность молекулы мРНК, а отщепление кэпа ведёт к её деградации. Таким образом, декэпирование является критическим моментом в жизненном цикле мРНК и строго регулируется в клетке[48].
Известно несколько возможных путей деградации эукариотической мРНК[49]:
- деградация, зависимая от укорочения поли(А)-хвоста;
- 5'→3'-деградация;
- 3'→5'-деградация;
- деградация, не зависимая от укорочения поли(А)-хвоста;
- деградация при участии эндонуклеаз.
В случае зависимой от укорочения поли(А)-хвоста деградации мРНК события могут развиваться по двум не исключающим друг друга сценариям. Расщепление в направлении 5'→3' начинается с декэпирования мРНК под действием декэпирующего белкового комплекса. У S. cerevisiae этот комплекс состоит из двух белков: каталитической субъединицы Dcp2 и ко-активатора Dcp1. У высших эукариот в этот комплекс входит третий белок, называемый Hedls (у человека), который обеспечивает дополнительную связь между субъединицами комплекса и стимулирует декэпирование[48]. Продуктами реакции декэпирования являются 7-метил-ГДФ и РНК с монофосфатом на 5'-конце. Такой 5'-конец становится доступным экзорибонуклеазе Xrn1, которая разрушает мРНК в направлении 5'→3'. Белки, участвующие в 5'→3'-деградации мРНК, обнаруживаются в большом количестве в тельцах процессинга, которые рассматриваются как возможное место хранения и/или деградации мРНК[49].
Разрушение мРНК в направлении 3'→5' катализируется крупной мультисубъединичной экзонуклеазой — экзосомой. Кэпированный ди- или олигонуклеотид, который остаётся после завершения работы экзосомы, подвергается декэпированию под действием фермента DcpS с образованием 7-метил-ГМФ. DcpS также превращает 7-метил-ГДФ, который образуется при декэпировании мРНК под действием декэпирующего комплекса, в 7-метил-ГМФ[10].
Рекэпирование
Показано, что декэпированные мРНК могут повторно кэпироваться в цитоплазме[3]. В 2009 году подтверждено предположение о том, что укороченные мРНК, которые образуются в результате неполного расщепления по пути NMD, подвергаются 5'-концевой модификации, неотличимой от кэпирования. Кроме того, обнаружены цитоплазматические ферменты, формирующие единый комплекс и обеспечивающие последовательное присоединение β-фосфата и ГМФ к монофосфату на 5'-конце укороченной РНК. В результате этих двух реакций происходит формирование структуры GpppN[50]. Хотя 7-метилтрансфераза присутствует в цитоплазме, она не входит в состав цитоплазматического кэпирующего комплекса. Как именно происходит метилирование кэпа при цитоплазматическом кэпировании, в настоящий момент неизвестно[3], также неизвестно, какое биологическое значение может иметь рекэпирование.
Кэпирование у вирусов
Вирусы используют синтетический аппарат клетки для воспроизводства, и эффективная трансляция вирусных мРНК принципиальна для их выживания. В клетках эукариот только кэпированные мРНК могут быть стабильны и транслироваться. Напротив, некэпированные мРНК быстро подвергаются деградации и могут стать причиной активации антивирусной защиты клетки. Коэволюция вирусов и их хозяев привела к возникновению у вирусов различных механизмов преодоления этой проблемы[9]:
- кэпирование ферментами хозяина: большинство ДНК-содержащих вирусов и некоторые РНК-содержащие вирусы (например, ретровирусы и борнавирусы) используют РНК-полимеразу II клетки-хозяина для транскрипции своих генов и, таким образом, их РНК также кэпируются клеточными ферментами;
- кэпирование ферментами вируса: вирусы, репликация которых осуществляется в цитоплазме, используют свои собственные кэпирующие ферменты, которые могут соответствовать или не соответствовать клеточным аналогам;
- каноническое кэпирование — кэпирование 5'-концов вирусных РНК, которое осуществляется по тому же механизму, что и кэпирование клеточных РНК. Этот механизм включает последовательное действие РНК-трифосфатазы, гуанилтрансферазы и 7-метилтрансферазы, которые могут быть представлены отдельными ферментами или доменами мультифункционального белка. Этот способ характерен для поксвирусов, флавивирусов и реовирусов. Хорошо изучен механизм кэпирования у вируса осповакцины: первые три этапа катализируются мультифункциональным ферментом D1 в комплексе с его аллостерическим регулятором D12, а белок VP39 осуществляет 2'-O-метилирование остатка рибозы первого нуклеотида РНК;
- неканоническое кэпирование — кэпирование 5'-концов вирусных РНК, которое осуществляется по механизму, отличному от кэпирования клеточных РНК. Известно несколько путей неканонического кэпирования. Первый представлен у порядка Mononegavirales: мультифункциональный белок L этих вирусов, обладающий полирибонуклеотидилтрансферазной и метилтрансферазной активностями, осуществляет перенос ГДФ на 5'-монофосфат вирусной РНК и последовательное метилирование по 2'-О-положению первого нуклеотида РНК и N7-положению кэпирующего нуклеотида. Второй путь характерен для альфавирус-подобных тогавирусов, например для вируса леса Семлики и вируса Синдбис. В этом случае вирусный кэп 0 синтезируется так: Ado-Met-зависимая вирусная N7-метилтрансфераза метилирует ГТФ по положению N7, а затем гуанилтрансфераза переносит метилированный ГМФ на 5'-конец вирусной мРНК, от которого γ-фосфатная группа была предварительно отщеплена РНК-трифосфатазой;

- некоторые вирусы просто «крадут» кэпы клеточных мРНК (англ. cap snatching): такой способ кэпирования характерен для (-)РНК-вирусов с сегментированным геномом, таких как Bunyavirales, аренавирусы и ортомиксовирусы (например, вирус гриппа). РНК-зависимая-РНК-полимераза этих вирусов связывается с кэпом 1 или 2 клеточных РНК и отщепляет его вместе с ещё несколькими нуклеотидными остатками благодаря эндонуклеазной активности. Далее фермент просто использует кэпированный фрагмент РНК как затравку для синтеза вирусной. Лишённые кэпа клеточные РНК быстро деградируются, что даёт вирусу дополнительное преимущество.
Некоторые вирусы обходят проблему кэпирования благодаря IRES-структурам или ковалентно связанным защитным белкам на 5'-концах их мРНК[9].
Кэпирование в эволюции

Кэпирование РНК — явление, уникальное для эукариот и их вирусов. Так как кэпирование характерно для всех живущих ныне эукариот, считают, что кэп присутствовал у их последнего общего предка[16].
Установлено несколько возможных причин возникновения механизма кэпирования. Во-первых, это утрата последовательностей Шайна — Дальгарно как способа идентификации мРНК рибосомами. мРНК бактерий содержат особую восьминуклеотидную последовательность в районе 5'-конца, которая комплементарно спаривается с участком 16S рРНК, что и обеспечивает инициацию трансляции. Эукариоты используют кэп как уникальную характеристику мРНК, связывание eIF4E с кэпом представляет собой одно из первых событий в инициации трансляции. С другой стороны, анализ генома некоторых архей (прокариотических микроорганизмов, предположительно произошедших от общего с эукариотами предка) также выявил отсутствие последовательностей Шайна—Дальгарно, по крайней мере, в некоторых мРНК. При том что у архей не было обнаружено гомологов эукариотических кэпирующих ферментов, это может говорить о том, что археи выработали ещё один, пока не известный, механизм инициации трансляции[16].
Второй возможной причиной возникновения кэпа может быть появление у эукариот 5'-экзорибонуклеаз, которые пока не были обнаружены ни у бактерий, ни у архей. Предполагают, что 5'-экзорибонуклеазы и механизм кэпирования могли развиться ко-эволюционно как средство примитивной защиты эукариотической клетки от вирусов[16].
Сравнительный анализ кэпирующего аппарата эукариот позволяет делать предположения относительно их филогении. В частности, была выдвинута гипотеза, что последний общий предок многоклеточных животных и растений существовал позднее, чем последний общий предок многоклеточных животных и грибов[51]. Это идёт вразрез с данными сравнительного анализа рРНК, который сближает многоклеточных животных с грибами больше, чем с растениями[16].
Кэпирование и иммунитет
Длительная коэволюция эукариот и их вирусов привела к развитию механизмов неспецифического распознавания присутствия вирусов системой врождённого иммунитета млекопитающих. Мембранные рецепторы иммунных клеток TLR7 и TLR8 реагируют на появление в организме одноцепочечных РНК, несущих 5'-трифосфат или кэп 0[52]. Цитоплазматические рецепторы RIG-I и MDA5 узнают РНК с трифосфатом на 5'-конце и одно- или двуцепочечные РНК с кэпом 0 или белком типа VPg на 5'-конце, соответственно [53][54]. При этом 2'-O-метилирование рибозы в кэп-структуре выступает в качестве критерия для дифференциации «своё-чужое» клетками иммунной системы. Рецепторы, связавшиеся со своими лигандами, передают сигнал другим молекулам, что в конце концов приводит к активации противовирусной защиты организма. Эксперименты на лабораторных мышах показали, что мутантная форма коронавируса, не способная к 2'-O-метилированию рибозы, вызывает более сильный антивирусный ответ и менее эффективно размножается[54].
Значение для медицины

Многие болезнетворные микроорганизмы и вирусы кодируют собственные кэпирующие ферменты, и хотя синтезируемый ими кэп может быть идентичен человеческому, эти ферменты могут очень сильно различаться по субъединичному составу и каталитической активности. На этом основана идея разработки лекарственных препаратов, направленных на кэпирующие ферменты патогенных микроорганизмов. Например, одним из механизмов действия антивирусного препарата рибавирина, помимо ингибирования РНК-репликации, является нарушение кэпирования вирусных мРНК. Как аналог гуанозина, рибавирин трифосфорилируется в клетке и переносится на 5'-конец вирусной мРНК вирусной гуанилтрансферазой. Однако вирусная гуанил-7-метилтрансфераза неэффективно метилирует кэпированные рибавирином РНК. В результате синтезируются «псевдокэпированные» мРНК, которые стабильны в клетке, но практически не транслируются в вирусные белки[55][56].
Примечания
- Banerjee A. K. 5'-terminal cap structure in eucaryotic messenger ribonucleic acids (неопр.) // Microbiol Rev.. — 1980. — Т. 44. — С. 175—205. — PMID 6247631.
- Belasco J. G. All things must pass: contrasts and commonalities in eukaryotic and bacterial mRNA decay (англ.) // Nat Rev Mol Cell Biol : journal. — 2010. — Vol. 11, no. 7. — P. 467—478. — doi:10.1038/nrm2917. — PMID 20520623.
- Schoenberg D. R., Maquat L. E. Re-capping the message (неопр.) // Trends Biochem Sci.. — 2009. — Т. 34. — С. 435—442. — PMID 19729311.
- Furuichi Y., Shatkin A. J. Viral and cellular mRNA capping: past and prospects (англ.) // Adv Virus Res. : journal. — 2000. — Vol. 55. — P. 135—184. — PMID 11050942.
- Furuichi Y. "Methylation-coupled" transcription by virus-associated transcriptase of cytoplasmic polyhedrosis virus containing double-stranded RNA (англ.) // Nucleic Acids Res. : journal. — 1974. — Vol. 1, no. 6. — P. 809—822. — PMID 10793759.
- Rottman F., Shatkin A. J., Perry R. P. Sequences containing methylated nucleotides at the 5' termini of messenger RNAs: possible implications for processing (англ.) // Cell : journal. — Cell Press, 1974. — Vol. 3, no. 3. — P. 197—199. — PMID 4373171.
- Furuichi Y., Morgan M., Shatkin A. J., Jelinek W., Salditt-Georgieff M., Darnell J. E. Methylated, blocked 5 termini in HeLa cell mRNA (англ.) // Proceedings of the National Academy of Sciences of the United States of America : journal. — 1975. — Vol. 72, no. 5. — P. 1904—1908. — PMID 1057180.
- Reddy R., Ro-Choi T. S., Henning D., Busch H. Primary sequence of U-1 nuclear ribonucleic acid of Novikoff hepatoma ascites cells (англ.) // J Biol Chem. : journal. — 1974. — Vol. 249, no. 20. — P. 6486—6494. — PMID 4370679.
- Decroly E., Ferron F., Lescar J., Canard B. Conventional and unconventional mechanisms for capping viral mRNA. (англ.) // Nat Rev Microbiol. : journal. — 2011. — Vol. 10. — P. 51—65. — doi:10.1038/nrmicro2675. — PMID 22138959.
- Cougot N., van Dijk E., Babajko S., Séraphin B. 'Cap-tabolism' (англ.) // Trends Biochem. Sci. : journal. — 2004. — Vol. 29, no. 8. — P. 436—444. — doi:10.1016/j.tibs.2004.06.008. — PMID 15362228.
- Perry K. L., Watkins K. P., Agabian N. Trypanosome mRNAs have unusual "cap 4" structures acquired by addition of a spliced leader (англ.) // Proceedings of the National Academy of Sciences of the United States of America : journal. — 1987. — Vol. 84. — P. 8190—8194. — PMID 3120186.
- Marcotrigiano J., Gingras A. C., Sonenberg N., Burley S. K. Cocrystal structure of the messenger RNA 5' cap-binding protein (eIF4E) bound to 7-methyl-GDP. (англ.) // Cell : journal. — Cell Press, 1997. — Vol. 89. — P. 951—961. — doi:10.1016/S0092-8674(00)80280-9. — PMID 9200613.
- Rasmussen E. B., Lis J. T. In vivo transcriptional pausing and cap formation on three Drosophila heat shock genes (англ.) // Proceedings of the National Academy of Sciences of the United States of America : journal. — 1993. — Vol. 90. — P. 7923—7927. — PMID 8367444.
- Shuman S. Structure, mechanism, and evolution of the mRNA capping apparatus (англ.) // Prog Nucleic Acid Res Mol Biol. : journal. — 2001. — Vol. 66. — P. 1—40. — PMID 11051760.
- Gu M., Lima C. D. Processing the message: structural insights into capping and decapping mRNA (англ.) // Curr Opin Struct Biol. : journal. — 2005. — Vol. 15. — P. 99—106. — PMID 15718140.
- Shuman S. What messenger RNA capping tells us about eukaryotic evolution (англ.) // Nat Rev Mol Cell Biol. : journal. — 2002. — Vol. 3, no. 8. — P. 619—625. — PMID 12154373.
- Cho E. J., Takagi T., Moore C. R., Buratowski S. mRNA capping enzyme is recruited to the transcription complex by phosphorylation of the RNA polymerase II carboxy-terminal domain (англ.) // Genes Dev. : journal. — 1997. — Vol. 11. — P. 3319—3326. — doi:10.1101/gad.11.24.3319. — PMID 9407025.
- McCracken S., Fong N., Rosonina E., Yankulov K., Brothers G., Siderovski D., Hessel A., Foster S., Shuman S., Bentley D. L. 5'-Capping enzymes are targeted to pre-mRNA by binding to the phosphorylated carboxy-terminal domain of RNA polymerase II (англ.) // Genes Dev. : journal. — 1997. — Vol. 11. — P. 3306—3318. — doi:10.1101/gad.11.24.3306. — PMID 9407024.
- Hocine S., Singer R. H., Grünwald D. RNA processing and export (неопр.) // Cold Spring Harb Perspect Biol.. — 2010. — Т. 2. — С. a000752. — doi:10.1101/cshperspect.a000752. — PMID 20961978.
- Cowling V. H. Regulation of mRNA cap methylation (англ.) // Biochem. J. : journal. — 2010. — Vol. 425, no. 2. — P. 295—302. — doi:10.1042/BJ20091352. — PMID 20025612.
- Guenther M. G., Levine S. S., Boyer L. A., Jaenisch R., Young R. A. A chromatin landmark and transcription initiation at most promoters in human cells (англ.) // Cell : journal. — Cell Press, 2007. — Vol. 130, no. 1. — P. 77—88. — doi:10.1016/j.cell.2007.05.042. — PMID 17632057.
- Muse G. W., Gilchrist D. A., Nechaev S., Shah R., Parker J. S., Grissom S. F., Zeitlinger J., Adelman K. RNA polymerase is poised for activation across the genome (англ.) // Nat. Genet. : journal. — 2007. — Vol. 39, no. 12. — P. 1507—1511. — doi:10.1038/ng.2007.21. — PMID 17994021.
- Zeitlinger J., Stark A., Kellis M., Hong J. W., Nechaev S., Adelman K., Levine M., Young R. A. RNA polymerase stalling at developmental control genes in the Drosophila melanogaster embryo (англ.) // Nat. Genet. : journal. — 2007. — Vol. 39, no. 12. — P. 1512—1516. — doi:10.1038/ng.2007.26. — PMID 17994019.
- Moore M. J., Proudfoot N. J. Pre-mRNA processing reaches back to transcription and ahead to translation (англ.) // Cell : journal. — Cell Press, 2009. — Vol. 136, no. 4. — P. 688—700. — doi:10.1016/j.cell.2009.02.001. — PMID 19239889.
- Kim H. J., Jeong S. H., Heo J. H., Jeong S. J., Kim S. T., Youn H. D., Han J. W., Lee H. W., Cho E. J. mRNA capping enzyme activity is coupled to an early transcription elongation (англ.) // Mol. Cell. Biol. : journal. — 2004. — Vol. 24, no. 14. — P. 6184—6193. — doi:10.1128/MCB.24.14.6184-6193.2004. — PMID 15226422.
- Mandal S. S., Chu C., Wada T., Handa H., Shatkin A. J., Reinberg D. Functional interactions of RNA-capping enzyme with factors that positively and negatively regulate promoter escape by RNA polymerase II (англ.) // Proceedings of the National Academy of Sciences of the United States of America : journal. — 2004. — Vol. 101, no. 20. — P. 7572—7577. — doi:10.1073/pnas.0401493101. — PMID 15136722.
- Schroeder S. C., Zorio D. A., Schwer B., Shuman S., Bentley D. A function of yeast mRNA cap methyltransferase, Abd1, in transcription by RNA polymerase II (англ.) // Mol. Cell : journal. — 2004. — Vol. 13, no. 3. — P. 377—387. — doi:10.1016/S1097-2765(04)00007-3. — PMID 14967145.
- Guiguen A., Soutourina J., Dewez M., Tafforeau L., Dieu M., Raes M., Vandenhaute J., Werner M., Hermand D. Recruitment of P-TEFb (Cdk9-Pch1) to chromatin by the cap-methyl transferase Pcm1 in fission yeast (англ.) // EMBO J. : journal. — 2007. — Vol. 26, no. 6. — P. 1552—1559. — doi:10.1038/sj.emboj.7601627. — PMID 17332744.
- Takagi T., Walker A. K., Sawa C., Diehn F., Takase Y., Blackwell T. K., Buratowski S. The Caenorhabditis elegans mRNA 5'-capping enzyme. In vitro and in vivo characterization (англ.) // J. Biol. Chem. : journal. — 2003. — Vol. 278, no. 16. — P. 14174—14184. — doi:10.1074/jbc.M212101200. — PMID 12576476.
- Lenasi T., Peterlin B. M., Barboric M. Cap-binding protein complex links pre-mRNA capping to transcription elongation and alternative splicing through positive transcription elongation factor b (P-TEFb) (англ.) // J. Biol. Chem. : journal. — 2011. — Vol. 286, no. 26. — P. 22758—22768. — doi:10.1074/jbc.M111.235077. — PMID 21536667.
- Konarska M. M., Padgett R. A., Sharp P. A. Recognition of cap structure in splicing in vitro of mRNA precursors (англ.) // Cell : journal. — Cell Press, 1984. — Vol. 38, no. 3. — P. 731—736. — doi:10.1016/0092-8674(84)90268-X. — PMID 6567484.
- Edery I., Sonenberg N. Cap-dependent RNA splicing in a HeLa nuclear extract (англ.) // Proceedings of the National Academy of Sciences of the United States of America : journal. — 1985. — Vol. 82, no. 22. — P. 7590—7594. — PMID 3865180.
- Ohno M., Sakamoto H., Shimura Y. Preferential excision of the 5' proximal intron from mRNA precursors with two introns as mediated by the cap structure (англ.) // Proceedings of the National Academy of Sciences of the United States of America : journal. — 1987. — Vol. 84, no. 15. — P. 5187—5191. — PMID 2440046.
- Topisirovic I., Svitkin Y. V., Sonenberg N., Shatkin A. J. Cap and cap-binding proteins in the control of gene expression (англ.) // Wiley Interdiscip Rev RNA : journal. — 2011. — Vol. 2, no. 2. — P. 277—298. — doi:10.1002/wrna.52. — PMID 21957010.
- Lewis J. D., Izaurralde E., Jarmolowski A., McGuigan C., Mattaj I. W. A nuclear cap-binding complex facilitates association of U1 snRNP with the cap-proximal 5' splice site (англ.) // Genes Dev. : journal. — 1996. — Vol. 10, no. 13. — P. 1683—1698. — doi:10.1101/gad.10.13.1683. — PMID 8682298.
- Lewis J. D., Izaurralde E. The role of the cap structure in RNA processing and nuclear export (англ.) // Eur. J. Biochem. : journal. — 1997. — Vol. 247, no. 2. — P. 461—469. — doi:10.1111/j.1432-1033.1997.00461.x. — PMID 9266685.
- Hart R. P., McDevitt M. A., Nevins J. R. Poly(A) site cleavage in a HeLa nuclear extract is dependent on downstream sequences (англ.) // Cell : journal. — Cell Press, 1985. — Vol. 43, no. 3 Pt 2. — P. 677—683. — doi:10.1016/0092-8674(85)90240-5. — PMID 2866847. Архивировано 4 июля 2013 года.
- Cooke C., Alwine J. C. The cap and the 3' splice site similarly affect polyadenylation efficiency (англ.) // Mol. Cell. Biol. : journal. — 1996. — Vol. 16, no. 6. — P. 2579—2584. — PMID 8649365.
- Flaherty S. M., Fortes P., Izaurralde E., Mattaj I. W., Gilmartin G. M. Participation of the nuclear cap binding complex in pre-mRNA 3' processing (англ.) // Proceedings of the National Academy of Sciences of the United States of America : journal. — 1997. — Vol. 94, no. 22. — P. 11893—11898. — PMID 9342333.
- Köhler A., Hurt E. Exporting RNA from the nucleus to the cytoplasm (англ.) // Nat. Rev. Mol. Cell Biol. : journal. — 2007. — Vol. 8, no. 10. — P. 761—773. — doi:10.1038/nrm2255. — PMID 17786152.
- Cheng H., Dufu K., Lee C. S., Hsu J. L., Dias A., Reed R. Human mRNA export machinery recruited to the 5' end of mRNA (англ.) // Cell : journal. — Cell Press, 2006. — Vol. 127, no. 7. — P. 1389—1400. — doi:10.1016/j.cell.2006.10.044. — PMID 17190602.
- Ohno M., Segref A., Bachi A., Wilm M., Mattaj I. W. PHAX, a mediator of U snRNA nuclear export whose activity is regulated by phosphorylation (англ.) // Cell : journal. — Cell Press, 2000. — Vol. 101, no. 2. — P. 187—198. — doi:10.1016/S0092-8674(00)80829-6. — PMID 10786834.
- Huber J., Cronshagen U., Kadokura M., Marshallsay C., Wada T., Sekine M., Lührmann R. Snurportin1, an m3G-cap-specific nuclear import receptor with a novel domain structure (англ.) // EMBO J. : journal. — 1998. — Vol. 17, no. 14. — P. 4114—4126. — doi:10.1093/emboj/17.14.4114. — PMID 9670026.
- Murthy K. G., Park P., Manley J. L. A nuclear micrococcal-sensitive, ATP-dependent exoribonuclease degrades uncapped but not capped RNA substrates (англ.) // Nucleic Acids Res. : journal. — 1991. — Vol. 19, no. 10. — P. 2685—2692. — PMID 1710342.
- Maquat L. E. Nonsense-mediated mRNA decay: splicing, translation and mRNP dynamics (англ.) // Nat. Rev. Mol. Cell Biol. : journal. — 2004. — Vol. 5, no. 2. — P. 89—99. — doi:10.1038/nrm1310. — PMID 15040442.
- Jackson R. J., Hellen C. U., Pestova T. V. The mechanism of eukaryotic translation initiation and principles of its regulation (англ.) // Nat. Rev. Mol. Cell Biol. : journal. — 2010. — Vol. 11, no. 2. — P. 113—127. — doi:10.1038/nrm2838. — PMID 20094052.
- Sonenberg N., Hinnebusch A. G. Regulation of translation initiation in eukaryotes: mechanisms and biological targets (англ.) // Cell : journal. — Cell Press, 2009. — Vol. 136, no. 4. — P. 731—745. — doi:10.1016/j.cell.2009.01.042. — PMID 19239892.
- Ling S. H., Qamra R., Song H. Structural and functional insights into eukaryotic mRNA decapping (англ.) // Wiley Interdiscip Rev RNA : journal. — 2011. — Vol. 2, no. 2. — P. 193—208. — doi:10.1002/wrna.44. — PMID 21957006.
- Garneau N. L., Wilusz J., Wilusz C. J. The highways and byways of mRNA decay (англ.) // Nat. Rev. Mol. Cell Biol. : journal. — 2007. — Vol. 8, no. 2. — P. 113—126. — doi:10.1038/nrm2104. — PMID 17245413.
- Otsuka Y., Kedersha N. L., Schoenberg D. R. Identification of a cytoplasmic complex that adds a cap onto 5'-monophosphate RNA (англ.) // Mol. Cell. Biol. : journal. — 2009. — Vol. 29, no. 8. — P. 2155—2167. — doi:10.1128/MCB.01325-08. — PMID 19223470.
- Ho C. K., Shuman S. A yeast-like mRNA capping apparatus in Plasmodium falciparum (англ.) // Proceedings of the National Academy of Sciences of the United States of America : journal. — 2001. — Vol. 98, no. 6. — P. 3050—3055. — doi:10.1038/nrm2917. — PMID 11248030.
- Diebold S. S., Kaisho T., Hemmi H., Akira S., Reis e Sousa C. Innate antiviral responses by means of TLR7-mediated recognition of single-stranded RNA (англ.) // Science : journal. — 2004. — Vol. 303, no. 5663. — P. 1529—1531. — doi:10.1126/science.1093616. — PMID 1497626.
- Pichlmair A., Schulz O., Tan C. P., Näslund T. I., Liljeström P., Weber F., Reis e Sousa C. RIG-I-mediated antiviral responses to single-stranded RNA bearing 5'-phosphates (англ.) // Science : journal. — 2006. — Vol. 314, no. 5801. — P. 997—1001. — PMID 17038589.
- Züst R., Cervantes-Barragan L., Habjan M., Maier R., Neuman B. W., Ziebuhr J., Szretter K. J., Baker S. C., Barchet W., Diamond M. S., Siddell S. G., Ludewig B., Thiel V. Ribose 2'-O-methylation provides a molecular signature for the distinction of self and non-self mRNA dependent on the RNA sensor Mda5 (англ.) // Nat Immunol : journal. — 2011. — Vol. 12, no. 2. — P. 137—143. — doi:10.1038/ni.1979. — PMID 21217758.
- Issur M., Picard-Jean F., Bisaillon M. The RNA capping machinery as an anti-infective target (англ.) // Wiley Interdiscip Rev RNA : journal. — 2011. — Vol. 2, no. 2. — P. 184—192. — doi:10.1002/wrna.43. — PMID 21957005.
- Ferron F., Decroly E., Selisko B., Canard B. The viral RNA capping machinery as a target for antiviral drugs (англ.) // Antiviral Res : journal. — 2013. — Vol. 96, no. 1. — P. 21—31. — doi:10.1016/j.antiviral.2012.07.007. — PMID 22841701.
Литература
- Translational Control in Biology and Medicine / Edited by N. Sonenberg, J.W.B. Hershey and M.B. Mathews. — NY: Cold Spring Harbor Press, 2007. — 934 p.
- Sonenberg N. eIF4E, the mRNA cap-binding protein: from basic discovery to translational research // Biochemistry and Cell Biology. — 2008. — № 86. — P. 178—183.
- Rhoads R. E. eIF4E: new family members, new binding partners, new roles // Journal of Biological Chemistry. — 2009. — № 284. — P. 16711-16715.
- Schoenberg D. R., Maquat L. E. Re-capping the message (англ.) // Trends in Biochemical Sciences. — Cell Press, 2009. — No. 34. — P. 435—442.
- Cowling V.H. Regulation of mRNA cap methylation // Biochemical Journal. — 2009. — № 425. — P. 295—302.
- Sonenberg N., Hinnebusch A. G. Regulation of translation initiation in eukaryotes: mechanisms and biological targets (англ.) // Cell. — Cell Press, 2009. — No. 136. — P. 731—745.
- Van Der Kelen K., Beyaert R., Inze D., De Veylder L. Translational control of eukaryotic gene expression // Critical Reviews in Biochemistry and Molecular Biology. — 2009. — № 44. — P. 143—168.
- Jackson R. J., Hellen C. U. T., Pestova T. V. The mechanism of eukaryotic translation initiation and principles of its regulation // Nature Reviews Molecular Cell Biology. — 2010. — № 10. — P. 113—127.
Ссылки
- Кэпирование мРНК (недоступная ссылка). сайте humbio.ru. Дата обращения: 13 февраля 2014. Архивировано 10 мая 2014 года.