Гуанозиндифосфат
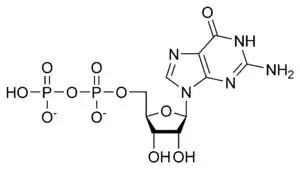
Гуанозиндифосфат (ГДФ, GDP,) — нуклеотид, эфир пирофосфорной кислоты с гуаниловым нуклеозидом. ГДФ состоит из пирофосфата, сахара пентозы рибозы и азотистого основания гуанина[1].

Гуанозиндифосфат
ГДФ — продукт дефосфорилирования ГТФ ГТФазами, например, в реакциях передачи сигнала G-белками[2].
В клетке ГДФ превращается в ГТФ ферментом пируваткиназой, дополнительная фосфатная группа переносится с молекулы фосфоенолпирувата.
Примечания
- Кнорре Д. Г., Мызина С. Д. Биологическая химия. — 3. — Москва: Высшая школа, 2000. — 479 с. — 7000 экз. — ISBN 5060037207.
- David L. Nelson, Michael M. Cox. Lehninger Principles of Biochemistry. — 4. — W. H. Freeman, 2004. — 1100 с.
This article is issued from Wikipedia. The text is licensed under Creative Commons - Attribution - Sharealike. Additional terms may apply for the media files.