Гуанозинтрифосфат
Гуанозинтрифосфат (ГТФ, GTP) — это пуриновый нуклеотид.
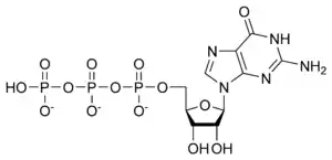
| Гуанозинтрифосфат | |
|---|---|
| |
| Общие | |
| Сокращения | ГТФ, GTP |
| Традиционные названия | Гуанозинтрифосфат |
| Хим. формула | C10H16N5O14P3 |
| Рац. формула | C10H16N5O14P3 |
| Физические свойства | |
| Молярная масса | 523,18 г/моль |
| Классификация | |
| Рег. номер CAS | 86-01-1 |
| PubChem | 6830 |
| Рег. номер EINECS | 201-647-3 |
| SMILES | |
| InChI | |
| ChEBI | 15996 |
| ChemSpider | 6569 |
| Приведены данные для стандартных условий (25 °C, 100 кПа), если не указано иное. | |

Биологическая роль
ГТФ является субстратом для синтеза РНК в процессе транскрипции. Структура ГТФ похожа на гуаниловый нуклеозид, но отличается наличием трёх фосфатных групп, присоединённых к 5'-атому углерода.[1]
ГТФ играет роль источника энергии для активации субстратов в метаболических реакциях, при этом ГТФ более специфичен, чем АТФ. Используется как источник энергии в биосинтезе белка.
ГТФ принимает участие в реакциях передачи сигнала, в частности связывается с G-белками, и превращается в ГДФ при участии ГТФаз.[2]
Транслокация белков в митохондриальный матрикс включает взаимодействия как ГТФ, так и АТФ. Транспорт этих белков играет важную роль в нескольких путях, регулируемых в митохондриях, таких как преобразование оксалоацетата в фосфоенолпируват в глюконеогенезе.
Биосинтез
В клетке GTP синтезируется посредством множества процессов, включая:
- как побочный продукт превращения сукцинил-КоА в сукцинат, катализируемого ферментом сукцинил-КоА-синтетазой (сукцинилтиокиназой), как часть цикла Кребса ;
- посредством обмена фосфатных групп в молекулах АТФ с помощью нуклеозид-дифосфаткиназы, фермента, задачей которого является поддержание равновесия между концентрациями различных нуклеозидтрифосфатов.
цГТФ
Циклический гуанозинтрифосфат (цГТФ) помогает циклическому аденозинмонофосфату (цАМФ) активировать циклические нуклеотидно-управляемые ионные каналы в обонятельной системе.
Примечания
- Кнорре Д. Г., Мызина С. Д. Биологическая химия. — 3. — Москва: Высшая школа, 2000. — 479 с. — 7000 экз. — ISBN 5060037207.
- David L. Nelson, Michael M. Cox. Lehninger Principles of Biochemistry. — 4. — W. H. Freeman, 2004. — 1100 с.
