Хинолизидин
Хинолизидин (октагидрохинолизин, норлупинин) — гетероциклическое соединение. Является структурной основой некоторых алкалоидов, таких как цитизин и пахикарпин. Производные хинолизидина синтезируются в живых организмах из аминокислоты лизина.
| Хинолизидин | |
|---|---|
| |
| Общие | |
| Систематическое наименование |
октагидро-2H-хинолизин |
| Традиционные названия | хинолизидин, норлупинин |
| Хим. формула | C9H17N |
| Рац. формула | C9H17N |
| Физические свойства | |
| Состояние | жидкость |
| Молярная масса | 139,23798 г/моль |
| Термические свойства | |
| Температура | |
| • кипения | 169-170 °C |
| Классификация | |
| Рег. номер CAS | 493-10-7 |
| PubChem | 119036 |
| SMILES | |
| InChI | |
| ChEBI | 46751 |
| ChemSpider | 106363 |
| Приведены данные для стандартных условий (25 °C, 100 кПа), если не указано иное. | |
Физические и химические свойства
Хинолизидин представляет собой бесцветную жидкость, хорошо растворимую в воде и органических растворителях. Проявляет сильные основные свойства, при взаимодействии с кислотами образует соли (в том числе пикраты и хлороплатинаты).
Хинолизидин также проявляет свойства третичных аминов, например, образует четвертичную соль с иодистым метилом:

Получение и применение
Хинолизидин получают из лупиновой кислоты (она выделяется из растений рода люпиновых) либо её метилового эфира:

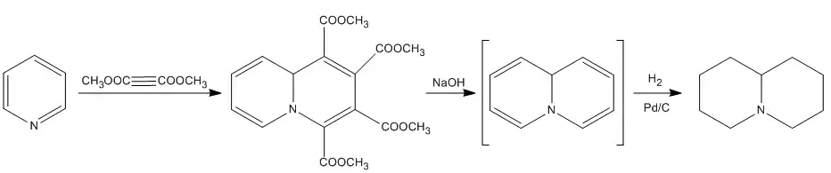
Другой способ получения хинолизидина — из пиридина:

Ряд производных хинолизидина применяются лекарственными препаратами - это пахикарпин и цитизин.
Литература
- Химическая энциклопедия / Редкол.: Зефиров Н.С. и др.. — М.: Большая Российская энциклопедия, 1998. — Т. 5 (Три-Ятр). — 783 с. — ISBN 5-85270-310-9.
