Мескалин
Мескалин — психоделик, энтеоген из группы фенилэтиламинов. Систематическое название — 2-(3,4,5-триметоксифенил)-этиламин. В небольших количествах содержится в кактусах рода Lophophora (Lophophora williamsii) и Эхинопсис (Echinopsis pachanoi, Echinopsis peruviana); синтезируется искусственным путём из галловой кислоты, также может быть синтезирован из ванилина. В большинстве стран производство и распространение мескалина запрещено законом (в том числе в России).

| Мескалин | |
|---|---|
![]() ![]() | |
| Общие | |
| Систематическое наименование |
2-(3,4,5-триметоксифенил)-этиламин |
| Хим. формула | C11H17NO3 |
| Физические свойства | |
| Молярная масса | 211,26 г/моль |
| Термические свойства | |
| Температура | |
| • плавления | 128—130 °C |
| • кипения | 312 °C |
| • воспламенения | 145 °C |
| Классификация | |
| Рег. номер CAS | 54-04-6 |
| PubChem | 4076 |
| Рег. номер EINECS | 200-190-7 |
| SMILES | |
| InChI | |
| ChEBI | 28346 |
| ChemSpider | 3934 |
| Приведены данные для стандартных условий (25 °C, 100 кПа), если не указано иное. | |
История
О галлюциногенных свойствах некоторых кактусов издавна знали индейцы различных племён и употребляли эти растения во время религиозных церемоний.
Впервые мескалин был получен из кактуса пейот (Lophophora williamsii) 23 ноября 1897 немецким химиком Артуром Хеффтером[1] (кроме пейота, мескалин содержится также в кактусах Сан-Педро Echinopsis pachanoi, которые более популярны, нежели пейот, так как вырастают быстрее последнего). Позднее, в 1919 году, Эрнст Шпет впервые синтезировал мескалин химическим путём[2].
В 1927 году в Германии был опубликован первый научный труд, посвященный эффектам мескалина «Der Meskalinrausch».
В мае 1953 года Олдос Хаксли впервые пробует мескалин в дозировке 400 мг и в 1954 году публикует эссе «Двери восприятия», описывающее его эксперимент[3].
Дозировка и продолжительность
Средняя дозировка для перорального применения у мескалина гидрохлорида составляет 300 мг. Эффект начинает проявляться через 45-60 минут после употребления. Пик активности длится около 4 часов, после чего происходит спад продолжительностью также 4 часа. Сульфат мескалина немного менее активен при той же дозе.
Эффекты
Психотропные эффекты
- галлюцинации с открытыми глазами
- галлюцинации с закрытыми глазами
- изменение мыслительного процесса
- эйфория
- мистические переживания
- иррациональность мыслительного процесса
- ускоренность мыслительного процесса
- заторможенность действий
Побочные эффекты
- головокружение
- диспептические расстройства (рвота)
- тахикардия
- расширение зрачков
- чувство жары или холода
- головная боль
- чувство тревоги
- сухость слизистых оболочек, сухость в ротовой полости
- спутанность сознания
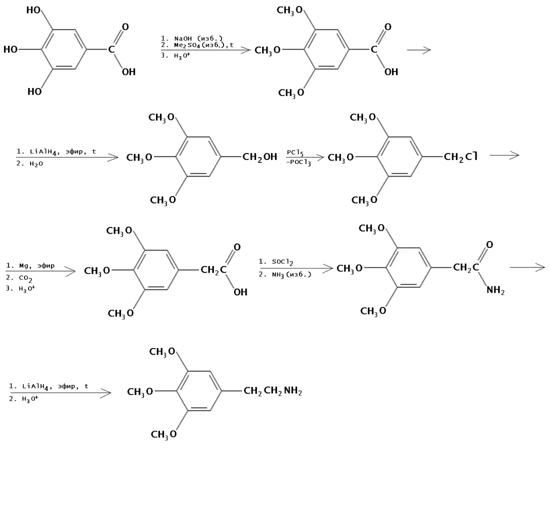
Получение
Получается из галловой кислоты и приведённых на схеме реагентов {A New Synthesis of Mescaline | Journal of the American Chemical Society (acs.org), https://doi.org/10.1021/ja01155a562}
Правовой статус
В России
Мескалин находится в списке I наркотических средств, запрещённых в Российской Федерации. Для целей 228, 228.1, 229 и 229.1 УК РФ значительным размером мескалина и его производных считается 0,5 г (500 мг), крупным — 2,5 г, особо крупным — 500 г[4].
В США
В США мескалин, как и пейот, находится в Списке I (англ. Schedule I). Это значит, что продажа, покупка, хранение, владение и распространение этих веществ без лицензии Управления по борьбе с наркотиками запрещены. Другие кактусы, содержащие мескалин, такие как Сан Педро, тоже контролируются.
Мескалин в массовой культуре
- Карлос Кастанеда в своих книгах указывает, что мескалин, полученный из кактусов пейота (Lophophora williamsii), был одним из трёх психотропных веществ, к применению которых прибегал обучавший его Дон Хуан Матус.
- Мескалин принимают герои фильма «Я очень возбуждён».
- Мескалин принимают герои фильма «Страх и ненависть в Лас-Вегасе».
- Главный герой фильма «99 Франков» Октав Паранго также принимал мескалин.
- В фильме «Домино» мескалином были отравлены герои Микки Рурка, Киры Найтли и другие[5].
- Мескалин, в виде кактусов пейота и напитков из них, употребляет древнее мексиканское племя «уичоли», (что ярко отражается на их народном творчестве). Кактус пейот является для этого племени священным.
- В романе Стивена Кинга «Стрелок» цикла «Тёмная башня» персонаж Роланд Дискейн принимает мескалин.
- В романе Стивена Кинга "Дорожные работы" главный герой (Барт) принимает мескалин на вечеринке в доме Уолли Хамнерапо 31 декабря 1973 года.
- В романе Рю Мураками «Все оттенки голубого» главные герои принимают мескалин.
- В романе «Ангел Экстерминатус» Грэма Макнилла Солтарна Фулл Бронн Камнерожденный из легиона Железных воинов употребляет мескалин через кальян во время экскурсии по «Ла Фениче» Детей императора.
- В сериале «Кости» (1 сезон 17 серия) жертва употребляет мескалин.
- В фильме «Матрица» эффект непонимания сна или не сна был озвучен как «эффект мескалина».
- В мультфильме Аватар: Легенда об Аанге в 11 серии 2 сезона Сока и Момо выпивают сок кактуса и потом долго галлюцинируют.
- В фильме Укуренные 4 главные герои съедают пейот. Это единственный энтеоген, который потребляют герои на протяжении всего фильма.
- В сериале Рэй Донован в 1 серии 4 сезона Микки принимает мескалин.
- В сериале Клан Сопрано (6 сезон, 18 эпизод) главный герой Тони Сопрано, находясь в Лас-Вегасе, вместе с подругой Кристофера Молтисанти употребляет мескалин.
- В сериале Рино 911 главные герои пробуют пейот (5 сезон, 13 эпизод).
- В фильме «Хрустальная Фея и волшебный кактус» герои употребляют мескалин.
- В фильме Д. Джармуша «Мертвец» индеец Экзебиче употребляет пейот, сидя у костра с Уильямом Блейком (Д. Депп), после чего ему видится череп сквозь лицо Блейка. Блейк спрашивает, можно ли ему тоже попробовать, на что Экзебиче отвечает, что видения этого могущественного снадобья не для него и рассказывает краткую историю применения пейота индейцами, начиная с южных областей и его дальнейшего распространения после окончания противостояния с испанцами.
- В фильме Блуберри главный герой принимает отвар из кактуса и аяуаски и погружается в психоделический трип.
- В мультфильме Бивис и Баттхед уделывают Америку Бивис и Баттхед в пустыне съедают кактус пейот и погружаются в психоделический трип.
- В компьютерной игре Grand Theft Auto V главные герои могут съедать кактусы пейот и галлюцинировать, представляя себя в виде животных, рыб или птиц.
- В фильме Семь психопатов (англ. «Seven Psychopaths») главные герои употребляют кактус пейот и размышляют о возможных вариациях написания сценария для фильма.
- В третьем альбоме рэп-исполнителя Ноггано «Лакшери» в треке «Ки’real» в юмористическо-драматическом ключе описывается опыт употребления мескалина.
- В песне группы Аквариум «Сутра ледоруба» из альбома «Аквариум плюс».
- В песне группы GSPD «Адидас, мескалин».
- В песне группы The Prodigy «Mescaline» большей частью слов является, собственно "mescaline"
- В романе «Биг-Сур» Джека Керуака главный герой вспоминает, как принял самолёт за летающую тарелку под действием мескалина
Примечания
- Arthur Heffter. Character Vaults. Erowid.org. Дата обращения: 9 января 2013.
- Manske & Holmes. The Alkaloids (неопр.) // Academic Press. — Erowid.org, 1953. — Т. 3. — С. 324—328.
- Джей Стивенс «Штурмуя небеса»
- Постановление от 1 октября 2012 г. № 1002 об утверждении значительного, крупного и особо крупного размеров наркотических средств и психотропных веществ
- Мескалин | торч.ру
Литература
- Данилов М., Либерман Ю., Пятигорский А., Сегал Д., Успенский Б. Предварительное сообщение об опыте семиотического исследования речевого потока под действием мескалина // Труды по знаковым системам. 2. 1965


