Мелатонин
Мелатони́н — основной гормон эпифиза, регулятор циркадного ритма всех живых организмов. К другим важнейшим функциям мелатонина относится его антиоксидантная активность в организме животных. Антиоксидантное действие мелатонина выявлено и у растений. Так как мелатонин вырабатывается в основном в ночной период суток во время сна, он получил название «гормон сна».
| Мелатонин | |
|---|---|
![]() | |
| Общие | |
| Систематическое наименование |
N-[2-(5-methoxy-1H-indol-3-yl)ethyl] ethanamide |
| Хим. формула | C13H16N2O2 |
| Физические свойства | |
| Молярная масса | 232,278 г/моль |
| Классификация | |
| Рег. номер CAS | 73-31-4 |
| PubChem | 896 |
| Рег. номер EINECS | 200-797-7 |
| SMILES | |
| InChI | |
| ChEBI | 16796 |
| ChemSpider | 872 |
| Приведены данные для стандартных условий (25 °C, 100 кПа), если не указано иное. | |
Препараты мелатонина могут приниматься внутрь для облегчения засыпания, а также с целью корректировки нарушений циркадного ритма у работников со сменным характером труда, особенно с ночными сменами, или при резкой смене часовых поясов.
История
Мелатонин был открыт в 1958 году профессором дерматологии А. Б. Лернером и его коллегами из Йельского университета. Лернер, занимавшийся изучением природы витилиго, обратил внимание на опубликованную в 1917 году статью (C. P. McCord and F. P. Allen), в которой сообщалось, что измельчённые эпифизы коров, помещённые в банку с головастиками, в течение 30 минут обесцвечивают их кожу настолько, что можно наблюдать за работой сердца и кишечника. В 1953 году Лернер выделил из бычьих эпифизов экстракт, осветляющий кожу лягушки. Для поиска основного компонента было переработано 250 тысяч эпифизов и удалось идентифицировать структуру действующего вещества, которому Лернер дал название «мелатонин»[1].
В середине 1970-х годов учёными была показана суточная цикличность продукции мелатонина в эпифизе человека[2]. В 1993 году Р. Рейтером был открыт антиоксидантный эффект мелатонина[3].
В организме присутствует и мелатонин, образующийся вне эпифиза. В 1974 году советские учёные Н. Т. Райхлин и И. М. Кветной обнаружили, что мелатонин синтезируется в клетках червеобразного отростка кишечника. Затем выяснилось, что мелатонин образуется и в других отделах желудочно-кишечного тракта, а также во многих других органах[3]. Тем не менее в центре внимания остаётся эпифизарный мелатонин[4]:4.
Свойства
Мелатонин является основным гормоном эпифиза — органа, передающего информацию о световом режиме окружающей среды во внутреннюю среду организма[* 1]. Изменения концентрации мелатонина имеют заметный суточный ритм — как правило, высокий уровень в течение ночи и низкий уровень в течение дня. Вырабатывается основными секреторными клетками эпифиза — пинеалоцитами (одно из названий эпифиза — пинеальная железа).
Синтез и секреция мелатонина зависят от освещённости — избыток света понижает его выработку, а снижение освещённости увеличивает. Воздействие света в большой степени зависит от его спектрального состава, наибольшее влияние оказывают синий и зелёный цвета спектра[5]:260. При этом отмечены разные механизмы и различный характер воздействия синего и зелёного цвета на суточную цикличность выработки мелатонина. Синий цвет воспринимается в сетчатке глаза небольшой группой светочувствительных ганглионарных клеток, содержащих пигмент меланопсин, а зелёный — палочками и колбочками[6].
Регулирующая роль мелатонина универсальна для всех живых организмов — доказаны присутствие этого гормона и чёткая ритмичность его продукции у всех известных животных, начиная с одноклеточных[3], а также у растений[7]:13.
Синтез и секреция
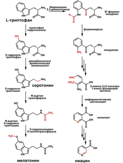
В организме человека мелатонин синтезируется из аминокислоты триптофана, которая участвует в синтезе нейромедиатора (нейропередатчика) серотонина, а он, в свою очередь, под воздействием фермента N-ацетилтрансферазы превращается в мелатонин. Мелатонин является индольным производным серотонина и синтезируется ферментами N-ацетилтрансферазой и гидроксииндол-О-метилтрансферазой.
Световая информация от палочек и колбочек через ганглионарные клетки и непосредственно от светочувствительных ганглионарных клеток (от меланопсиновых клеток) поступает в парное супрахиазматическое ядро (СХЯ) гипоталамуса. Затем эти сигналы попадают в шейный отдел спинного мозга, откуда поступают обратно в головной мозг и достигают эпифиза. Во время сна в темноте, когда большинство нейронов СХЯ бездействует, нервные окончания выделяют норадреналин, активирующий в пинеалоцитах синтез мелатонина. Яркий свет блокирует синтез, тогда как в постоянной темноте ритмичность выработки, поддерживаемая периодической активностью СХЯ, сохраняется[8].
Концентрация мелатонина в сыворотке крови человека начинает возрастать примерно за 2 часа до привычного для данного субъекта времени отхода ко сну (если нет яркого света)[8][* 2]. Максимальные значения концентрации наблюдаются всегда во время темновой фазы естественного цикла чередования дня и ночи (обычно между полуночью и 5 часами утра по местному солнечному времени[3]) или искусственно созданного суточного цикла чередования освещённости[7]:13. Пик концентрации часто обнаруживается в 2—3 часа ночи[8][3][7]:14[6][5]:260[* 3].
Отмечено смещение пика концентрации в зависимости от хронотипа, возможно также некоторое влияние на смещение: режима питания[12], чёткого распорядка сна и бодрствования, физических упражнений и других социальных воздействий[13]. Наиболее значимым является утренний световой стимул, который вызывает опережающий сдвиг фаз циркадианных ритмов секреции мелатонина и температуры тела, вместе с тем смещение времени сна мало влияет на фазу ритма секреции мелатонина[14]. Например, исследования показали (2009), что у учащихся средней школы, не подвергавшихся воздействию дневного света в утренние часы (из-за раннего начала учебного дня), вечернее нарастание выработки мелатонина сдвигается на более позднее время суток[15].
У взрослого человека за сутки синтезируется около 30 мкг мелатонина, его концентрация в крови ночью в десятки раз больше, чем днём[8]. При нормальном распорядке дня (со сном ночью) на ночные часы приходится примерно 70 % суточной продукции мелатонина. В клинических условиях установлено, что депривация сна в ночные часы приводит к нарушению суточного ритма выработки мелатонина — продукция в ночное время снижается и приближается к дневному уровню[4]:22—25.
Воздействие света в ночные часы, ставшее существенной частью образа жизни человека после изобретения электрического освещения, нарушает эндогенный суточный ритм, подавляет ночную продукцию мелатонина, что может приводить к серьёзным расстройствам поведения и состояния здоровья, включая сердечно-сосудистые заболевания и рак[3]. Данные о циркадном ритме мелатонина у людей, работающих с ночными сменами или исключительно в ночное время, не однозначны — от сохранения обычного ритма до его инверсии. Возможно, что это связано со степенью искусственной освещённости на рабочем месте. По результатам одного из исследований (2008), пониженная продукция мелатонина ночью была лишь у 3 % работающих по ночам, а инверсия ритма мелатонина произошла у четверти из всех наблюдаемых[16]:103.
Помимо зависимости от освещённости, вероятна зависимость продукции мелатонина от магнитных полей и от других космических и геофизических факторов[4]:12. Вероятность этого подтверждена экспериментами на животных при моделировании в лабораторных условиях колебаний электромагнитных полей, аналогичных по силе электромагнитному полю Земли[7]:85. Исследования российских учёных под руководством доктора медицинских наук С. И. Рапопорта, проведённые на больных с ишемической болезнью сердца и артериальной гипертензией, показали достоверное снижение выработки мелатонина во время геомагнитных бурь[7]:86—87[17][18].
Мелатонин не секретируется в организме зародышей и новорождённых млекопитающих, включая человека, — используется материнский, поступающий через плаценту, а после рождения — с молоком матери. Секреция у человека начинается на третьем месяце развития. Затем синтез эпифизарного мелатонина резко увеличивается и не позднее чем к пяти годам достигает максимума, после чего в течение всей жизни плавно (в период полового созревания более резко) снижается[8].

По данным исследований (R. J. Reiter, J. Robinson, 1995), повышают продукцию мелатонина[1]:
- темнота ночью во время сна,
- триптофан,
- кальций,
- магний,
- никотиновая кислота,
- пиридоксин,
- ингибиторы МАО,
- лёгкая еда вечером,
- медитация,
- низкокалорийный рацион.
Понижают продукцию мелатонина[1]:
- свет ночью во время сна, особенно синяя часть его спектра[6][19]:450,
- курение,
- кофеиносодержащие напитки,
- алкогольные напитки,
- парацетамол,
- резерпин,
- прозак (антидепрессант),
- дексаметазон,
- нестероидные противовоспалительные препараты,
- бета-адреноблокаторы,
- блокаторы кальциевых каналов,
- витамин B12.
Специальные исследования показывают низкий уровень мелатонина у курильщиков и лиц с алкогольной зависимостью[4]:12—13.
Транспортирование и метаболизм
Синтезированный в эпифизе мелатонин поступает в кровь и спинномозговую жидкость (ликвор), пройдя через которую, накапливается в гипоталамусе. Помимо крови и ликвора, мелатонин обнаружен в моче, слюне, амниотической жидкости.
Мелатонин транспортируется сывороточным альбумином, после освобождения от альбумина связывается со специфическими рецепторами на мембране клеток-мишеней, проникает в ядро и там осуществляет своё действие. Время биологического полураспада мелатонина 30—50 минут[8]. Мелатонин быстро гидролизуется в печени и экскретируется с мочой. У человека основным метаболитом мелатонина является 6-гидроксимелатонинсульфат (6-сульфатоксимелатонин), содержание которого позволяет косвенно судить о продукции мелатонина эпифизом — его концентрация в моче хорошо коррелирует с общим уровнем мелатонина в крови в течение периода сбора образцов[5]:260, отставая от времени продукции и концентрации не менее чем на 2 часа[16]:98[* 4].
Количество и ритм продукции мелатонина в течение суток могут служить маркером степени десинхроноза — нарушения циркадного ритма[20].
Рецепторы мелатонина
Мелатонин — редкий пример гормона, у которого имеются как мембранные, так и ядерные рецепторы. У млекопитающих имеется два мембранных рецептора мелатонина — MTNR1A (MT1), экспрессирующийся в основном на клетках передней доли гипофиза и СХЯ, но также присутствующий во многих периферических органах, и MTNR1B (MT2), экспрессирующийся в некоторых других участках мозга, в сетчатке и в лёгких. У птиц, амфибий и рыб имеется третий рецептор — MTNR1С (MT3), который у млекопитающих пока не клонирован. Рецепторы мелатонина относятся к семейству рецепторов, связанных с G-белками, и действуют через Gαi-белок, снижая уровень цАМФ.
Недавно открытые ядерные рецепторы мелатонина относятся к подсемейству RZR/ROR ретиноидных рецепторов. Видимо, через них опосредуются многие иммуностимулирующие и противоопухолевые эффекты мелатонина.
Функции
Мелатонин в функциональном отношении является многоплановым действующим фактором, при этом ряд из перечисленных ниже свойств основан на его антиоксидантном и иммуностимулирующем действии.
Основные функции[4]:13:
- ведёт суточный, частично и сезонный, биоритмы;
- регулирует температуру тела;
- является мягким снотворным[* 5];
- оказывает тормозящее действие на эндокринную систему — уменьшает секрецию гонадотропинов, кортикотропина, соматотропина, тиреотропина;
- препятствует некоторым психотическим расстройствам (антидепрессант);
- имеет антигипертензивную направленность[16]:100 (и препятствует развитию в целом метаболического синдрома[5]:267);
- имеет противоопухолевую направленность;
- является антистрессором;
- замедляет темпы старения и увеличивает продолжительность жизни.
Некоторые частные эффекты[4]:13:
- регулирует частоту дыхательных движений;
- снижает болевую чувствительность;
- влияет на внутриклеточное содержание кальция.
Нарушения суточного ритма выработки мелатонина приводят к изменениям в высшей нервной деятельности, с которыми связаны[5]:265:
- различные виды нарушения сна, например бессонница;
- дисфория, раздражительность;
- нарушение памяти и способность концентрировать внимание;
- вегетативная дисфункция;
- депрессивные расстройства, в том числе эндогенная депрессия.
Циркадный ритм и сон
Все биологические ритмы подчиняются основному водителю ритмов, расположенному в СХЯ[3], которое является генератором циркадного ритма или «биологическими часами»[* 6]. Мелатонин — это гормон, доносящий информацию о ритмах, генерируемых в СХЯ, до органов и тканей[7]:13, — он непосредственно воздействует на клетки и изменяет уровень секреции других гормонов и биологически активных веществ, концентрация которых зависит от времени суток.
У диурнальных (дневных) животных, в том числе у человека, секреция мелатонина эпифизом совпадает с привычными часами сна. Исследования показывают, что повышение уровня мелатонина не является обязательным сигналом к началу сна. У большинства испытуемых приём физиологических доз мелатонина вызывал лишь мягкий седативный эффект и снижал реактивность на обычные окружающие стимулы. Считается, что мелатонин действует в основном на стадии засыпания, «открывает ворота сна», создает некоторую «предрасположенность ко сну» торможением механизмов бодрствования[8].
Ритм секреции мелатонина относится к группе так называемых «сильных» ритмов, генерируемых организмом. Начало секреции мелатонина при тусклом освещении (DLMO) в исследованиях свойств основного водителя ритмов является надёжным индикатором циркадианной фазы человека и по частоте использования уступает лишь традиционному показателю — времени минимума температуры тела. Хотя секреция мелатонина совпадает с привычными часами сна, цикл сон-бодрствование человека относят к «слабым» ритмам (в отличие от околосуточных колебаний уровня бодрости-сонливости, которые не являются простым отражением цикла сон-бодрствование и относятся, как и секреция мелатонина, к группе «сильных» ритмов)[21]:248.
Сезонная ритмика и размножение
Так как продукция мелатонина зависит от длины светового дня, многие животные используют её как «сезонные часы». У людей, как и у животных, продукция мелатонина летом меньше, чем зимой. Таким образом, мелатонин может регулировать функции, зависящие от фотопериода — размножение, миграционное поведение, сезонную линьку. У видов птиц и млекопитающих, которые размножаются при длинном дне, мелатонин подавляет секрецию гонадотропинов и снижает уровень половой активности. У животных, размножающихся при коротком световом дне, мелатонин стимулирует половую активность.
У детей возраста от года и до периода полового созревания продукция мелатонина сохраняется на достаточно высоком уровне, мелатонин при этом выполняет две важные функции: продлевает сон и подавляет секрецию половых гормонов. В период полового созревания пиковая (ночная) концентрация мелатонина резко снижается[3].
Мелатонин как антидепрессант
У многих людей в пасмурные осенние дни возникает синдром зимней депрессии или сезонное аффективное расстройство, представляющие собой комплекс нарушений, возникающих в определённое время года, обычно зимой. При этом наблюдаются: повышенная утомляемость, избыточный сон, рост аппетита, тяга к сладостям. Хотя всё перечисленное можно объяснить замедлением метаболизма (указанные проявления способствуют сохранению энергии), однако у страдающих этим синдромом скорость метаболизма, наоборот, повышена[5]:265.
Одной из причин сезонного аффективного расстройства может быть недостаточная продукция мелатонина при сильном нарушении ритмичности — пик производства вместо обычных 2—3 часов ночи может попадать на интервал суток от рассвета до полудня. В противоположность этому, у больных с маниакально-депрессивным синдромом продукция мелатонина может быть чрезмерно завышена[5]:265.
Антиоксидантный эффект
Основная направленность антиоксидантного действия мелатонина — защита ядерной ДНК, белков и липидов, которая проявляется в любой клетке живого организма и в отношении всех клеточных структур. Эффект связан со способностью мелатонина нейтрализовать свободные радикалы, в том числе образующиеся при перекисном окислении липидов, а также с активизацией глутатионпероксидазы — фактора ферментативной защиты от радикального окисления. Ряд экспериментов показал, что мелатонин нейтрализует гидроксильные радикалы активнее, чем такие антиоксиданты, как глутатион и маннитол, а в отношении пероксильных радикалов он в два раза сильнее, чем витамин E[3].
Противоопухолевый эффект
В научных кругах особенно активно обсуждается возможная роль эпифиза в обеспечении противоопухолевой резистентности организма — мелатонин рассматривается как потенциальное средство борьбы с опухолевым ростом. Исследования показывают, что активизирование функции эпифиза или введение препаратов мелатонина сокращают число случаев возникновения и развития опухолей. Мелатонин тормозит пролиферативную активность клеток и ангиогенез, препятствуя возникновению и развитию опухолевого процесса[5]:265.
Антистрессорный эффект
Пусковым моментом при развитии стресса у высокоорганизованных животных и тем более человека являются негативные эмоции. Мелатонин ослабляет эмоциональную реактивность. Отрицательным последствием стресса может быть усиление свободно-радикального окисления, в том числе перекисного окисления липидов — мелатонин противодействует этому как антиоксидант. Обычно стресс сопровождается обширными нарушениями в эндокринной сфере, которые в первую очередь затрагивают гипоталамо-гипофизарно-надпочечниковую систему. Здесь мелатонин подключается к эндокринной регуляции только в случае резких отклонений в работе надпочечников[1].
Хронический стресс неблагоприятно влияет на иммунную систему, в частности снижается уровень Т-лимфоцитов в крови. В этом случае мелатонин оказывает как прямое действие на иммунокомпетентные клетки, так и опосредованное, через гипоталамус и другие нейроэндокринные структуры[1].
Хронический стресс, связанный, например, с болью или иммобилизацией, вызывает рассогласование циркадных ритмов — отсюда проблемы со сном, изменение ЭЭГ, нарушение секреции ряда биологически активных соединений. Здесь роль мелатонина проявляется в регуляции циркадного ритма[1].
Иммуностимулирующий эффект
Действие препаратов мелатонина на иммунную систему окончательно не установлено. В работах по этой проблеме отмечено, что мелатонин, вероятнее всего, оказывает двойственный эффект[7]:29, одновременно активируя одни и подавляя другие звенья иммунной системы. Поэтому требуются дальнейшие исследования для введения в терапию препаратов мелатонина в качестве активатора иммунитета во избежание серьезных побочных эффектов от такой терапии[22].
Экстрапинеальный синтез мелатонина
Количества гормона, которое вырабатывается в эпифизе — шишковидной (или пинеальной) железе, недостаточно для обеспечения столь многочисленных биологических эффектов мелатонина. В опытах с удалением эпифиза у экспериментальных животных в крови обнаруживалось значительное количество мелатонина, что указывало на его экстрапинеальный синтез. Первоначально мелатонин, его предшественники и сопутствующие каталитические ферменты были обнаружены в структурах, анатомически связанных со зрительной системой[23].
Экстрапинеальными источниками синтеза мелатонина являются сетчатка глаза, Гардерова железа[7]:7, мозжечок, щитовидная железа, а также энтерохромаффинные клетки желудочно-кишечного тракта (EC-клетки), в которых содержится до 95 % всего эндогенного серотонина — предшественника мелатонина. Выявлен синтез мелатонина в большом количестве нейроэндокринных клеток воздухоносных путей, лёгких, в корковом слое почек и вдоль границы между корковым и мозговым слоем надпочечников, под печёночной капсулой, в параганглиях, яичниках, эндометрии, плаценте, желчном пузыре, внутреннем ухе[23], простате[24], а также и в неэндокринных клетках, таких как[23]:
- тучные клетки,
- большие гранулярные лимфоциты — естественные киллеры,
- эозинофилы,
- тромбоциты,
- ацинарные клетки поджелудочной железы,
- ретикулоэпителиальные клетки тимуса,
- некоторые эндотелиальные клетки.
Функционально многие клетки, продуцирующие мелатонин, относятся к так называемой диффузной нейроэндокринной системе — универсальной системе адаптации и поддержания гомеостаза организма. В пределах этой системы выделяют два звена клеток, продуцирующих мелатонин[23]:
- центральное (включает эпифиз и клетки зрительной системы), в котором ритм секреции мелатонина совпадает с ритмом «свет-темнота»;
- периферическое — все остальные клетки, где секреция гормона не зависит от освещённости.
Экстрапинеальный мелатонин действует непосредственно там, где он синтезируется[1].
Содержание в растениях
Мелатонин в течение десятилетий считался в первую очередь животным нейрогормоном. Когда мелатонин был обнаружен в экстрактах кофе в 1970-х годах, он считался побочным продуктом процесса экстракции. Однако впоследствии мелатонин был обнаружен во всех исследованных растениях. Он присутствует в разных частях растений, включая листья, стебли, корни, плоды и семена, в различных пропорциях. Особенно высокие концентрации мелатонина были измерены в популярных напитках, таких как кофе, чай, вино и пиво, а также в таких культурах, как кукуруза, рис, пшеница, ячмень и овёс. Предполагается, что мелатонин может действовать в качестве регулятора роста. Мелатонин выполняет в растениях функцию защиты от окислительного стресса, то есть проявляет антиоксидантное действие. Мелатонин как антиоксидант оберегает растительные продукты от перекисного окисления, тем самым улучшая их качество и продлевая их срок годности[25].
COVID-19
Американские медики выяснили, что пациенты с тяжёлой формой коронавирусной инфекции COVID-19, а также другими лёгочными инфекциями или повреждениями органов дыхания, которые по каким-то причинам получали мелатонин или у кого уровень мелатонина изначально был высок, после подключения к аппарату искусственной вентиляции лёгких умирали примерно в 10 раз реже других пациентов[26][* 7].
Фармакология
Выпускается в таблетках, в США считается пищевой добавкой. Мелатонин в таблетках доступен к безрецептурной продаже практически во всех странах мира[27]. В России доступен как лекарственный препарат под названиями Мелаксен, Соннован, Мелапур, Мелатонин, Юкалин, Циркадин, Меларена[28]. Также доступен в магазинах спортивного питания, чаще всего — под названием Melatonin.
В культуре
- В июле 2011 года на полях Уилтшира (Англия) появилась пиктограмма, изображающая структурную формулу мелатонина[29].
- Мелатонин упоминается в песне Melanie Martinez «Milk and Cookies»[30].
Примечания
- Комментарии
- Эпифиз, имеющий историческую связь с так называемым «третьим глазом» холоднокровных, у млекопитающих утратил непосредственную чувствительность к свету и превратился в железу внутренней секреции[5]:262.
- Как правило, выработка мелатонина начинает возрастать примерно в 21:00 и возвращается к дневному уровню около 7:30 утра[9].
- Данные на начало XXI века. Возможно, что в доиндустриальный период (до массового применения электрического освещения) сдвиг пика концентрации относительно полуночи был меньше. Косвенное подтверждение этому — нормы трудового законодательства, определяющие интервал ночного времени. В действовавшем в России по состоянию на 1913 год Уставе о промышленном труде (статья 195) ночным временем считался интервал 22:00—4:00 или 21:00—5:00[10] — середина интервала попадала на 1:00. Трудовой кодекс Российской Федерации устанавливает интервал ночного времени 22:00—6:00[11] — середина интервала попадает на 2:00.
- По другим данным, выделение 6-сульфатоксимелатонина с мочой, измеренное в 8:00, отражает содержание мелатонина в крови, соответствующее 2:00[5]:259.
- Можно встретить два противоположных определения мелатонина: «снотворное» и «не является собственно снотворным». Препараты мелатонина имеют особенность — они не влияют на центры сна, а ближе стоят к препаратам седативного действия[4]:40.
- В зависимости от предмета рассмотрения, «биологические часы» как понятие, относящееся к чувству времени и ведению суточных ритмов, располагают или в СХЯ, или в эпифизе[5]:261, или понятие экстраполируется на всю систему[4]:11.
- Статью американских медиков не рецензировали независимые эксперты и не проверяли редакторы научных журналов. Поэтому к выводам из неё и аналогичных статей нужно относиться осторожно[26].
- Источники
- Анисимов В. Н. Мелатонин: роль в организме, применение в клинике.
- Lynch HJ, Wurtman RJ, Moskowitz MA, Archer MC, Ho MH (January 1975). “Daily rhythm in human urinary melatonin”. Science. 187 (4172): 169—71. Bibcode:1975Sci...187..169L. DOI:10.1126/science.1167425. PMID 1167425.
- Анисимов В. Н. Хронометр жизни // Природа. — 2007. — № 7.
- Цфасман А. З. Мелатонин: нормативы при различных суточных режимах, профессиональные аспекты в патологии // Научный клинический центр ОАО «РЖД». МИИТ — кафедра «Железнодорожная медицина», Академия транспортной медицины. — 2015. — 64 с.
- Мичурина С. В., Васендин Д. В., Ищенко И. Ю. Физиологические и биологические эффекты мелатонина: некоторые итоги и перспективы изучения // Российский физиологический журнал им. И. М. Сеченова. — 2018. — Т. 104, № 3. — С. 257—271.
- Синий и зелёный свет будят человека по-разному • Новости науки. «Элементы» (4 июня 2010).
- Беспятых А. Ю. и др. Мелатонин: теория и практика / Под ред. С. И. Рапопорта, В. А. Голиченкова. — М.: ИД «Медпрактика-М», 2009. — 99 с.
- Ковальзон В. М. Мелатонин — без чудес // Природа. — 2004. — № 2.
- Принцип работы эндогенных биологических ритмов человека. Крамола (16 ноября 2019).
- Основные законодательные и правовые материалы. Устав о промышленном труде. www.hist.msu.ru. Дата обращения: 23 мая 2016.
- Основные законодательные и правовые материалы. Кодекс законов о труде 1922 года. www.hist.msu.ru. Дата обращения: 23 мая 2016.
- Гриневич В. Биологические ритмы здоровья // Наука и жизнь. — 2005. — № 1. — С. 28—34.
- Завалко И. «Мелатониновые пики» и «золотые часы сна» — мифы и реальность.
- Даниленко К. В. Роль световых воздействий в регуляции суточной, месячной и годовой цикличности у человека. — Новосибирск, 2009.
- Figueiro, MG; Rea, MS. 2010. Lack of short-wavelength light during the school day delays dim light melatonin onset (DLMO) in middle school students. NeuroEndocrinology Letters, Vol. 31, No. 1 (in press).
- Цфасман А. З., Алпаев Д. В. Циркардная ритмика артериального давления при изменённом суточном ритме жизни. — М.: Репроцентр М, 2011. — 144 с. — ISBN 978-5-94939-059-7.
- Влияние магнитных бурь на сердце и сосуды - cardio.today - Информационный проект о сердце и сосудах, cardio.today - Информационный проект о сердце и сосудах (26 ноября 2018).
- Семен Рапопорт: «Сбой биоритмов – возможная причина негативного влияния магнитных бурь». www.sechenov.ru (2 октября 2017).
- Капцов В. А., Дейнего В. Н. Эволюция искусственного освещения: взгляд гигиениста / Под ред. М. Ф. Вильк, В. А. Капцова. — Москва: Российская Академия Наук, 2021. — 632 с. — 300 экз. — ISBN 978-5-907336-44-2.
- Рапопорт С. И. Хрономедицина, циркадианные ритмы. Кому это нужно? // ГБОУ ВПО Первый Московский медицинский университет им. И. М. Сеченова. — 2012.
- Путилов А. А. Хронобиология и сон (Глава 9) // Национальное руководство памяти А. М. Вейна и Я. И. Левина. — М.: ООО «Медконгресс», 2019. — С. 235—265.
- Каленская Е. А. Влияние мелатонина на иммунную систему. internist.ru (25 февраля 2014).
- Экстрапинеальный синтез мелатонина / Мелатонин — биологический маркер старения и патологии / Геронтология. medkarta.com. Дата обращения: 21 февраля 2016.
- Князькин И. В. Мелатонин, старение и опухоли предстательной железы. www.peptidy.kz (2008).
- Мелатонин у растений. «Элементы» (2017).
- Приём мелатонина связали с хорошими шансами на выживание при тяжёлых формах COVID-19. (19 октября 2020)
- Гормон сна мелатонин — лекарство против бессонницы. FitSeven Russia (16 февраля 2016).
- Мелатонин (Melatoninum) - описание вещества, инструкция, применение, противопоказания и формула.. www.rlsnet.ru. Дата обращения: 17 декабря 2020.
- Lucy Pringle Crop Circle Photography. cropcircles.lucypringle.co.uk. Дата обращения: 16 декабря 2020.
- Melanie Martinez - Milk And Cookies Lyrics | AZLyrics.com (англ.). www.azlyrics.com. Дата обращения: 16 декабря 2020.
Ссылки
- Арушанян Э. Б. Гормон эпифиза мелатонин и его лечебные возможности // Русский медицинский журнал. — 2005. — Т. 13, № 26.
- Каладзе Н. Н., Соболева Е. М., Скоромная Н. Н. Изучение физиологических, патогенетических и фармакологических эффектов мелатонина: итоги и перспективы // Здоровье ребёнка. — 2010. — № 2 (23). — С. 156—166.

