Зонгорин
Зонгорин — органическое соединение, алкалоид растений рода аконит (борец), нейротоксин.
| Зонгорин | |
|---|---|
| |
| Общие | |
| Традиционные названия | зонгорин, напеллонин, 12-оксонапеллин |
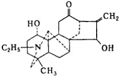
| Хим. формула | C22H31NO3 |
| Физические свойства | |
| Состояние | кристаллы |
| Молярная масса | 357,492 г/моль |
| Термические свойства | |
| Температура | |
| • плавления | 212 °C |
| Безопасность | |
| ЛД50 | 408 мг/кг |
| Приведены данные для стандартных условий (25 °C, 100 кПа), если не указано иное. | |
Природные источники
Растительный алкалоид, выделенный из различных видов аконитов (Aconitum): Aconitum soongoricum, Aconitum monticola, Aconitum karakolicum.
Физико-химические свойства
Химическая молекулярная формула — C22H31NO3. Молярная масса — 357,492 г·моль−1.
На внешний вид - белые кристаллы, мало растворимые в воде, растворимые в органических растворителях.
Физиологические свойства
Обладает судорожно-паралитическим действием, как большинство аконитинов.
См. также
- Лаппаконитина гидробромид — алкалоид борца белоустного, применяющийся в качестве антиаритмического препарата I класса.
- Аконитин
Литература
- Buckingham J. B., Baggaley K. H., Roberts A. D., Szabo L. F. Dictionary of Alkaloids. - 2 ed. - CRC Press, 2010. - С. 1348
This article is issued from Wikipedia. The text is licensed under Creative Commons - Attribution - Sharealike. Additional terms may apply for the media files.
