Аспарагин
Аспараги́н (англ. Asparagine; принятые сокращения: Асн, Asn, N) — амид аспарагиновой кислоты (2-амино-бутанамид-4-овая кислота, Asx или B). Одна из 20 наиболее распространённых аминокислот природного происхождения. Их кодоны AAU и AAC.
| Аспарагин | |||
|---|---|---|---|
| |||
| Общие | |||
| Систематическое наименование |
2-амино-3-карбамоилпропановая кислота | ||
| Сокращения |
Асн, Asn, N AAU,AAC |
||
| Традиционные названия | аспарагин | ||
| Хим. формула | HOOC-CH(NH2)-CH2-CONH2 | ||
| Рац. формула | C4H8N2O3 | ||
| Физические свойства | |||
| Состояние | твёрдое | ||
| Примеси | L, D, LD | ||
| Молярная масса | 132,12 г/моль | ||
| Термические свойства | |||
| Температура | |||
| • плавления | 220 моногидрат, 233 L, 182 LD | ||
| Химические свойства | |||
| Константа диссоциации кислоты | 2,02 и 8,84 | ||
| Растворимость | |||
| • в воде | растворим в воде | ||
| Вращение | + 21° | ||
| Изоэлектрическая точка | 5,41 | ||
| Классификация | |||
| Рег. номер CAS | [70-47-3] | ||
| PubChem | 236 | ||
| Рег. номер EINECS | 221-521-1 | ||
| SMILES | |||
| InChI | |||
| ChEBI | 22653 | ||
| ChemSpider | 231 | ||
| Безопасность | |||
| NFPA 704 | |||
| Приведены данные для стандартных условий (25 °C, 100 кПа), если не указано иное. | |||
История
Аспарагин был выделен из сока спаржи (лат. Asparagus) в 1806 году французским химиком Луи-Никола Вокленом и его помощником Пьером Жаном Робике, став первой полученной человеком аминокислотой. В составе спаржи аспарагин содержится в больших количествах, соответственно он получил своё имя.
Несколько лет позже, в 1809 году, Робике снова обнаружил в корне лакрицы вещество похожее на аспарагин, затем Огюст-Артур Плиссон в 1828 подтвердил это.
Бетаиновая структура
Аспарагин легко образует внутреннюю соль — бетаин.

Благодаря наличию хирального центра, существуют два энантиомера (S) и (R), участвующих в построении белков, и их смеси, вплоть до смеси с равным количеством — рацемат.
Так как в аспарагине боковые ответвления в виде карбоксамидной группы могут образовывать водородные связи с пептидной цепью, аспарагиновые остатки часто находят в начале и конце пептидной цепи, что характерно как для альфа-спирали, так и для β-листов. Его роль может быть обозначена как «закупорка» водородных связей взаимодействием с концевыми группами, которые в других случаях могли бы связываться с основной полипептидной цепью. Глутамины с дополнительной метиленовой группой имеют большую конформационную энтропию, из-за чего они менее полезны в этом отношении. Аспарагин также обеспечивает реакции гликозилирования с образованием N-связанных гликанов (см. гликопротеины).
Свойства
С XIX века известны обе формы аспарагина. L-аспарагин имеет сладкий вкус, D-аспарагин — напротив, горький. Находящийся в пище сахар при его нагревании[1] с аспарагином образует акриламид — потенциальный канцероген.
Нахождение в природе
Аспарагин не является незаменимой аминокислотой (не требуется в диете), что означает способность человека синтезировать его основными метаболитическими путями. Он находится в значительных количествах в животных (молоко, сыворотка, мясо, птица, яйца, рыба, морепродукты) и растительных (спаржа, помидор, бобовые, орехи, семена, соя, цельные зёрна) источниках.
В живых клетках присутствует в свободном виде и в составе белков. Путём образования аспарагина из аспарагиновой кислоты в организме связывается токсический аммиак.
Биосинтез
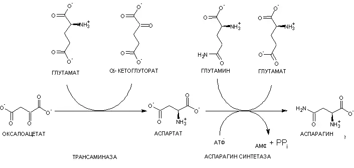
Прекурсором аспарагина является оксалоацетат. Оксалоацетат конвертируется в аспартат энзимом трансаминазой, который переносит аминогруппу с глутамата на оксалоацетат, в результате чего образуются α-кетоглутарат и аспартат. А реакцию образования аспарагина, АМФ, глутамата и пирофосфата из аспартата, глутамина и АТФ катализирует аспарагинсинтетаза. В этой реакции АТФ активирует аспартат, образуя формил-β-аспартил-АМФ, а глутамин даёт аминогруппу, которая реагирует с β-аспартил-АМФ, образуя аспарагин и свободную АМФ.

Расщепление
L-аспарагиназа гидролизует амидную группу, образуя аспартат и аммиак. Аспартат — это глюкогенная аминокислота. Трансаминаза конвертирует аспартат в оксалоацетат, который может быть далее использован в цикле трикарбоновых кислот или глюконеогенезе.
Характерный запах мочи некоторых людей после употребления спаржи относят к различным метаболитам аспарагина[2].
Функция
Аспарагин требуется для нормального функционирования нервной системы. Он также играет важную роль в синтезе аммиака.
Примечания
- Вездесущая реакция Майара // Химия и жизнь № 2, 2012.
- S.C. Mitchell (2001). «Food Idiosyncrasies: Beetroot and Asparagus». Drug Metabolism and Disposition 29: 539—534. Retrieved january 18, 2010.



