CAST-128
CAST-128 (или CAST5) в криптографии — блочный алгоритм симметричного шифрования на основе сети Фейстеля, который используется в целом ряде продуктов криптографической защиты, в частности некоторых версиях PGP и GPG и кроме того одобрен для использования Канадским правительством.
| CAST-128 | |
|---|---|
| |
| Создатель | Карлайл Адамс, Стаффорд Таварес |
| Создан | 1996 год |
| Размер ключа | 40-128 бит |
| Размер блока | 64 бит |
| Число раундов | 12 (16 при ключе > 80 бит) |
| Тип | Сеть Фейстеля |

Основные сведения
Алгоритм был создан в 1996 году Карлайлом Адамсом (Carlisle Adams) и Стаффордом Таваресом (Stafford Tavares) используя метод построения шифров CAST, который используется также и другим их алгоритмом CAST-256 (алгоритм-кандидат AES).
CAST-128 состоит из 12 или 16 раундов сети Фейстеля с размером блока 64 бита и длиной ключа от 40 до 128 бит (но только с инкрементацией по 8 бит). 16 раундов используются когда размеры ключа превышают 80 бит. В алгоритме используются 8x16 S- блоки, основанные на бент-функции, операции XOR и модулярной арифметике (модулярное сложение и вычитание). Есть три различных типа функций раундов, но они похожи по структуре и различаются только в выборе выполняемой операции (сложение, вычитание или XOR) в различных местах.
Хотя CAST-128 защищён патентом Entrust, его можно использовать во всём мире для коммерческих или некоммерческих целей бесплатно.
Описание
CAST — это популярный 64-битовый шифр, допускающий размеры ключа вплоть до 128 бит, который был разработан в Канаде Карлайлом Адамсом (Carlisle Adams) и Стаффордом Таваресом (Stafford Tavares). Авторы утверждают, что название обусловлено ходом разработки и должно напоминать о вероятностном характере процесса, а не об инициалах авторов.
Алгоритм CAST использует 64-битовый блок и 64-битовый ключ. CAST устойчив к дифференциальному и линейному криптоанализу. Сила алгоритма CAST заключена в его S-блоках. У CAST нет фиксированных S-блоков и для каждого приложения они конструируются заново. Созданный для конкретной реализации CAST S-блок уже больше никогда не меняется. Другими словами, S-блоки зависят от реализации, а не от ключа. Northern Telecom использует CAST в своём пакете программ Entrust для компьютеров Macintosh, PC и рабочих станций UNIX. Выбранные ими S-блоки не опубликованы, что впрочем неудивительно.
CAST-128 принадлежит компании Entrust Technologies, но является бесплатным как для коммерческого, так и для некоммерческого использования. CAST-256 — бесплатное доступное расширение CAST-128, которое принимает размер ключа до 256 бит и имеет размер блока 128 бит. CAST-256 был одним из первоначальных кандидатов на AES.
Описание алгоритма
.png.webp)
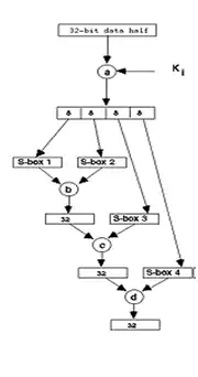
CAST-128 основан на сети Фейстеля. Полный алгоритм шифрования изложен в следующих четырех шагах:
ВХОД: текст m1 ... m64, ключ K = k1 ... k128. ВЫХОД: зашифрованный текст c1 ... C64.
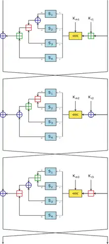
1. (развертка ключа) составляет 16 пар подключей {Kmi, Kri} полученных из K (см. разделы Пары раундовых ключей и Неидентичные раунды).
2. (L0, R0) <- (m1. .. m64). (Разделяет текст на левую и правую 32-битные половины L0 = m1 ... m32 и R0 = m33 ... m64).
3. (16 раундов) for i from 1 to 16, вычислить Li и Ri следующим образом: Li = Ri-1; Ri = Li-1 ^ F(Ri-1,Kmi,Kri), где F определена в разделе «Пары раундовых ключей» (F имеет тип 1, тип 2, тип 3 или, в зависимости от i).
4. c1 ... c64 <- (R16, L16). (Меняем окончательные блоки местами L16, R16 и объединяем, чтобы сформировать зашифрованный текст.)
Расшифрование совпадает с алгоритмом шифрования, приведенным выше, кроме того, что раунды (и, следовательно, пары подключей), используются в обратном порядке, чтобы вычислить (L0, R0) из (R16, L16).
Пары раундовых ключей
CAST-128 использует пару подключей за раунд: 32-битные величины Km используется в качестве "маскировки" ключа и Kr используют как "перестановки" ключа, из которых используются только начальные 5-бит.
Неидентичные раунды
.png.webp)
Три различных типов функции используются в CAST-128. Типы выглядит следующим образом (где "D" является входными данными в функцию F и "Ia"-"Id" является наиболее значимый байт - наименее значимый байт I, соответственно). Обратите внимание, что "+" и "-" сложение и вычитание по модулю 2 ** 32, "^" является побитовое XOR и "<<<" является циклическим сдвигом влево.
| Раунды 1,4,7,10,13,16 | I = ((Kmi + Ri-1) <<< Kri) F = ((S1[Ia] ^ S2[Ib]) – (S3[Ic]) )+ S4[Id] |
| Раунды 2,5,8,11,14 | I = ((Kmi ^ Ri-1) <<< Kri) F = ((S1[Ia] - S2[Ib]) + (S3[Ic])) ^ S4[Id] |
| Раунды 3,6,9,12,15 | I = ((Kmi - Ri-1) <<< Kri) F = ((S1[Ia] + S2[Ib]) ^ (S3[Ic]) )- S4[Id] |
Поля замены
CAST-128 использует восемь полей замены: поля S1, S2, S3 и S4 раундовые функции полей замены, S5, S6, S7 и S8 являются ключами развертки полей замены. Несмотря на то, что 8 полей замены требуют в общей сложности 8 Кбайт для хранения, обратите внимание на то, что только 4 Кбайта требуются во время фактического шифрования / дешифрование, так как генерация подключа обычно делается до любого ввода данных. См. Приложение для содержимого полей замены S1 - S8.
Ключи развертки
Представим 128-разрядный ключ в виде x0x1x2x3x4x5x6x7x8x9xAxBxCxDxExF, где x0 старший байт, и xF младший байт.
Представим z0..zF промежуточными (временными) байтами. Si[] представляет поле замены i и "^" представляет сложение по XOR’у.
Поля замены формируются из ключа x0x1x2x3x4x5x6x7x8x9xAxBxCxDxExF следующим образом.
z0z1z2z3 = x0x1x2x3 ^ S5[xD] ^ S6[xF] ^ S7[xC] ^ S8[xE] ^ S7[x8] z4z5z6z7 = x8x9xAxB ^ S5[z0] ^ S6[z2] ^ S7[z1] ^ S8[z3] ^ S8[xA] z8z9zAzB = xCxDxExF ^ S5[z7] ^ S6[z6] ^ S7[z5] ^ S8[z4] ^ S5[x9] zCzDzEzF = x4x5x6x7 ^ S5[zA] ^ S6[z9] ^ S7[zB] ^ S8[z8] ^ S6[xB] K1 = S5[z8] ^ S6[z9] ^ S7[z7] ^ S8[z6] ^ S5[z2] K2 = S5[zA] ^ S6[zB] ^ S7[z5] ^ S8[z4] ^ S6[z6] K3 = S5[zC] ^ S6[zD] ^ S7[z3] ^ S8[z2] ^ S7[z9] K4 = S5[zE] ^ S6[zF] ^ S7[z1] ^ S8[z0] ^ S8[zC] x0x1x2x3 = z8z9zAzB ^ S5[z5] ^ S6[z7] ^ S7[z4] ^ S8[z6] ^ S7[z0] x4x5x6x7 = z0z1z2z3 ^ S5[x0] ^ S6[x2] ^ S7[x1] ^ S8[x3] ^ S8[z2] x8x9xAxB = z4z5z6z7 ^ S5[x7] ^ S6[x6] ^ S7[x5] ^ S8[x4] ^ S5[z1] xCxDxExF = zCzDzEzF ^ S5[xA] ^ S6[x9] ^ S7[xB] ^ S8[x8] ^ S6[z3] K5 = S5[x3] ^ S6[x2] ^ S7[xC] ^ S8[xD] ^ S5[x8] K6 = S5[x1] ^ S6[x0] ^ S7[xE] ^ S8[xF] ^ S6[xD] K7 = S5[x7] ^ S6[x6] ^ S7[x8] ^ S8[x9] ^ S7[x3] K8 = S5[x5] ^ S6[x4] ^ S7[xA] ^ S8[xB] ^ S8[x7] z0z1z2z3 = x0x1x2x3 ^ S5[xD] ^ S6[xF] ^ S7[xC] ^ S8[xE] ^ S7[x8] z4z5z6z7 = x8x9xAxB ^ S5[z0] ^ S6[z2] ^ S7[z1] ^ S8[z3] ^ S8[xA] z8z9zAzB = xCxDxExF ^ S5[z7] ^ S6[z6] ^ S7[z5] ^ S8[z4] ^ S5[x9] zCzDzEzF = x4x5x6x7 ^ S5[zA] ^ S6[z9] ^ S7[zB] ^ S8[z8] ^ S6[xB] K9 = S5[z3] ^ S6[z2] ^ S7[zC] ^ S8[zD] ^ S5[z9] K10 = S5[z1] ^ S6[z0] ^ S7[zE] ^ S8[zF] ^ S6[zC] K11 = S5[z7] ^ S6[z6] ^ S7[z8] ^ S8[z9] ^ S7[z2] K12 = S5[z5] ^ S6[z4] ^ S7[zA] ^ S8[zB] ^ S8[z6] x0x1x2x3 = z8z9zAzB ^ S5[z5] ^ S6[z7] ^ S7[z4] ^ S8[z6] ^ S7[z0] x4x5x6x7 = z0z1z2z3 ^ S5[x0] ^ S6[x2] ^ S7[x1] ^ S8[x3] ^ S8[z2] x8x9xAxB = z4z5z6z7 ^ S5[x7] ^ S6[x6] ^ S7[x5] ^ S8[x4] ^ S5[z1] xCxDxExF = zCzDzEzF ^ S5[xA] ^ S6[x9] ^ S7[xB] ^ S8[x8] ^ S6[z3] K13 = S5[x8] ^ S6[x9] ^ S7[x7] ^ S8[x6] ^ S5[x3] K14 = S5[xA] ^ S6[xB] ^ S7[x5] ^ S8[x4] ^ S6[x7] K15 = S5[xC] ^ S6[xD] ^ S7[x3] ^ S8[x2] ^ S7[x8] K16 = S5[xE] ^ S6[xF] ^ S7[x1] ^ S8[x0] ^ S8[xD]
Остающаяся половина идентична тому, что дано выше, продолжение от последнего создало x0..xF, чтобы генерировать ключи K17 - K32.
z0z1z2z3 = x0x1x2x3 ^ S5[xD] ^ S6[xF] ^ S7[xC] ^ S8[xE] ^ S7[x8] z4z5z6z7 = x8x9xAxB ^ S5[z0] ^ S6[z2] ^ S7[z1] ^ S8[z3] ^ S8[xA] z8z9zAzB = xCxDxExF ^ S5[z7] ^ S6[z6] ^ S7[z5] ^ S8[z4] ^ S5[x9] zCzDzEzF = x4x5x6x7 ^ S5[zA] ^ S6[z9] ^ S7[zB] ^ S8[z8] ^ S6[xB] K17 = S5[z8] ^ S6[z9] ^ S7[z7] ^ S8[z6] ^ S5[z2] K18 = S5[zA] ^ S6[zB] ^ S7[z5] ^ S8[z4] ^ S6[z6] K19 = S5[zC] ^ S6[zD] ^ S7[z3] ^ S8[z2] ^ S7[z9] K20 = S5[zE] ^ S6[zF] ^ S7[z1] ^ S8[z0] ^ S8[zC] x0x1x2x3 = z8z9zAzB ^ S5[z5] ^ S6[z7] ^ S7[z4] ^ S8[z6] ^ S7[z0] x4x5x6x7 = z0z1z2z3 ^ S5[x0] ^ S6[x2] ^ S7[x1] ^ S8[x3] ^ S8[z2] x8x9xAxB = z4z5z6z7 ^ S5[x7] ^ S6[x6] ^ S7[x5] ^ S8[x4] ^ S5[z1] xCxDxExF = zCzDzEzF ^ S5[xA] ^ S6[x9] ^ S7[xB] ^ S8[x8] ^ S6[z3] K21 = S5[x3] ^ S6[x2] ^ S7[xC] ^ S8[xD] ^ S5[x8] K22 = S5[x1] ^ S6[x0] ^ S7[xE] ^ S8[xF] ^ S6[xD] K23 = S5[x7] ^ S6[x6] ^ S7[x8] ^ S8[x9] ^ S7[x3] K24 = S5[x5] ^ S6[x4] ^ S7[xA] ^ S8[xB] ^ S8[x7] z0z1z2z3 = x0x1x2x3 ^ S5[xD] ^ S6[xF] ^ S7[xC] ^ S8[xE] ^ S7[x8] z4z5z6z7 = x8x9xAxB ^ S5[z0] ^ S6[z2] ^ S7[z1] ^ S8[z3] ^ S8[xA] z8z9zAzB = xCxDxExF ^ S5[z7] ^ S6[z6] ^ S7[z5] ^ S8[z4] ^ S5[x9] zCzDzEzF = x4x5x6x7 ^ S5[zA] ^ S6[z9] ^ S7[zB] ^ S8[z8] ^ S6[xB] K25 = S5[z3] ^ S6[z2] ^ S7[zC] ^ S8[zD] ^ S5[z9] K26 = S5[z1] ^ S6[z0] ^ S7[zE] ^ S8[zF] ^ S6[zC] K27 = S5[z7] ^ S6[z6] ^ S7[z8] ^ S8[z9] ^ S7[z2] K28 = S5[z5] ^ S6[z4] ^ S7[zA] ^ S8[zB] ^ S8[z6] x0x1x2x3 = z8z9zAzB ^ S5[z5] ^ S6[z7] ^ S7[z4] ^ S8[z6] ^ S7[z0] x4x5x6x7 = z0z1z2z3 ^ S5[x0] ^ S6[x2] ^ S7[x1] ^ S8[x3] ^ S8[z2] x8x9xAxB = z4z5z6z7 ^ S5[x7] ^ S6[x6] ^ S7[x5] ^ S8[x4] ^ S5[z1] xCxDxExF = zCzDzEzF ^ S5[xA] ^ S6[x9] ^ S7[xB] ^ S8[x8] ^ S6[z3] K29 = S5[x8] ^ S6[x9] ^ S7[x7] ^ S8[x6] ^ S5[x3] K30 = S5[xA] ^ S6[xB] ^ S7[x5] ^ S8[x4] ^ S6[x7] K31 = S5[xC] ^ S6[xD] ^ S7[x3] ^ S8[x2] ^ S7[x8] K32 = S5[xE] ^ S6[xF] ^ S7[x1] ^ S8[x0] ^ S8[xD]
Маскировка и перестановка подключей
Km1, ..., Km16 32-разрядные подключи маскировки (один на раунд). Kr1,, Kr16 32-разрядные перестановки подключей (один на раунд); только младшие 5 битов используются в каждом раунде.
for (i=1; i<=16; i++) { Kmi = Ki; Kri = K16+i; }
Переменный размер ключа
CAST-128 Алгоритм шифрования был разработан, чтобы размер ключа мог варьироваться от 40 до 128 бит, в 8-битном шаге (т. е. допустимые размеры ключа равняются 40, 48, 56, 64..., 112, 120, и 128 битам). Для переменной работы размера ключа спецификация следующие:
1) Для размеров ключа до и включая 80 битов (т. е., 40, 48, 56, 64, 72, и 80 битов) алгоритм точно такой же, но использует 12 раундов вместо 16;
2) Для размеров ключа больше, чем 80 битов, алгоритм использует полные 16 раундов;
3) Для размеров ключа меньше, чем 128 битов ключ дополнен нулевыми байтами (в самых правых, или младших, позициях) к 128 битам (так как расписание ключа CAST 128 принимает входной ключ 128 битов).
Приложение: Поля замены
S-Box S1
| 30fb40d4 | 9fa0ff0b | 6beccd2f | 3f258c7a | 1e213f2f | 9c004dd3 | 6003e540 | cf9fc949 |
| bfd4af27 | 88bbbdb5 | e2034090 | 98d09675 | 6e63a0e0 | 15c361d2 | c2e7661d | 22d4ff8e |
| 28683b6f | c07fd059 | ff2379c8 | 775f50e2 | 43c340d3 | df2f8656 | 887ca41a | a2d2bd2d |
| a1c9e0d6 | 346c4819 | 61b76d87 | 22540f2f | 2abe32e1 | aa54166b | 22568e3a | a2d341d0 |
| 66db40c8 | a784392f | 004dff2f | 2db9d2de | 97943fac | 4a97c1d8 | 527644b7 | b5f437a7 |
| b82cbaef | d751d159 | 6ff7f0ed | 5a097a1f | 827b68d0 | 90ecf52e | 22b0c054 | bc8e5935 |
| 4b6d2f7f | 50bb64a2 | d2664910 | bee5812d | b7332290 | e93b159f | b48ee411 | 4bff345d |
| fd45c240 | ad31973f | c4f6d02e | 55fc8165 | d5b1caad | a1ac2dae | a2d4b76d | c19b0c50 |
| 882240f2 | 0c6e4f38 | a4e4bfd7 | 4f5ba272 | 564c1d2f | c59c5319 | b949e354 | b04669fe |
| b1b6ab8a | c71358dd | 6385c545 | 110f935d | 57538ad5 | 6a390493 | e63d37e0 | 2a54f6b3 |
| 3a787d5f | 6276a0b5 | 19a6fcdf | 7a42206a | 29f9d4d5 | f61b1891 | bb72275e | aa508167 |
| 38901091 | c6b505eb | 84c7cb8c | 2ad75a0f | 874a1427 | a2d1936b | 2ad286af | aa56d291 |
| d7894360 | 425c750d | 93b39e26 | 187184c9 | 6c00b32d | 73e2bb14 | a0bebc3c | 54623779 |
| 64459eab | 3f328b82 | 7718cf82 | 59a2cea6 | 04ee002e | 89fe78e6 | 3fab0950 | 325ff6c2 |
| 81383f05 | 6963c5c8 | 76cb5ad6 | d49974c9 | ca180dcf | 380782d5 | c7fa5cf6 | 8ac31511 |
| 35e79e13 | 47da91d0 | f40f9086 | a7e2419e | 31366241 | 051ef495 | aa573b04 | 4a805d8d |
| 548300d0 | 00322a3c | bf64cddf | ba57a68e | 75c6372b | 50afd341 | a7c13275 | 915a0bf5 |
| 6b54bfab | 2b0b1426 | ab4cc9d7 | 449ccd82 | f7fbf265 | ab85c5f3 | 1b55db94 | aad4e324 |
| cfa4bd3f | 2deaa3e2 | 9e204d02 | c8bd25ac | eadf55b3 | d5bd9e98 | e31231b2 | 2ad5ad6c |
| 954329de | adbe4528 | d8710f69 | aa51c90f | aa786bf6 | 22513f1e | aa51a79b | 2ad344cc |
| 7b5a41f0 | d37cfbad | 1b069505 | 41ece491 | b4c332e6 | 032268d4 | c9600acc | ce387e6d |
| bf6bb16c | 6a70fb78 | 0d03d9c9 | d4df39de | e01063da | 4736f464 | 5ad328d8 | b347cc96 |
| 75bb0fc3 | 98511bfb | 4ffbcc35 | b58bcf6a | e11f0abc | bfc5fe4a | a70aec10 | ac39570a |
| 3f04442f | 6188b153 | e0397a2e | 5727cb79 | 9ceb418f | 1cacd68d | 2ad37c96 | 0175cb9d |
| c69dff09 | c75b65f0 | d9db40d8 | ec0e7779 | 4744ead4 | b11c3274 | dd24cb9e | 7e1c54bd |
| f01144f9 | d2240eb1 | 9675b3fd | a3ac3755 | d47c27af | 51c85f4d | 56907596 | a5bb15e6 |
| 580304f0 | ca042cf1 | 011a37ea | 8dbfaadb | 35ba3e4a | 3526ffa0 | c37b4d09 | bc306ed9 |
| 98a52666 | 5648f725 | ff5e569d | 0ced63d0 | 7c63b2cf | 700b45e1 | d5ea50f1 | 85a92872 |
| af1fbda7 | d4234870 | a7870bf3 | 2d3b4d79 | 42e04198 | 0cd0ede7 | 26470db8 | f881814c |
| 474d6ad7 | 7c0c5e5c | d1231959 | 381b7298 | f5d2f4db | ab838653 | 6e2f1e23 | 83719c9e |
| bd91e046 | 9a56456e | dc39200c | 20c8c571 | 962bda1c | e1e696ff | b141ab08 | 7cca89b9 |
| 1a69e783 | 02cc4843 | a2f7c579 | 429ef47d | 427b169c | 5ac9f049 | dd8f0f00 | 5c8165bf |
S-Box S2
| 1f201094 | ef0ba75b | 69e3cf7e | 393f4380 | fe61cf7a | eec5207a | 55889c94 | 72fc0651 |
| ada7ef79 | 4e1d7235 | d55a63ce | de0436ba | 99c430ef | 5f0c0794 | 18dcdb7d | a1d6eff3 |
| a0b52f7b | 59e83605 | ee15b094 | e9ffd909 | dc440086 | ef944459 | ba83ccb3 | e0c3cdfb |
| d1da4181 | 3b092ab1 | f997f1c1 | a5e6cf7b | 01420ddb | e4e7ef5b | 25a1ff41 | e180f806 |
| 1fc41080 | 179bee7a | d37ac6a9 | fe5830a4 | 98de8b7f | 77e83f4e | 79929269 | 24fa9f7b |
| e113c85b | acc40083 | d7503525 | f7ea615f | 62143154 | 0d554b63 | 5d681121 | c866c359 |
| 3d63cf73 | cee234c0 | d4d87e87 | 5c672b21 | 071f6181 | 39f7627f | 361e3084 | e4eb573b |
| 602f64a4 | d63acd9c | 1bbc4635 | 9e81032d | 2701f50c | 99847ab4 | a0e3df79 | ba6cf38c |
| 10843094 | 2537a95e | f46f6ffe | a1ff3b1f | 208cfb6a | 8f458c74 | d9e0a227 | 4ec73a34 |
| fc884f69 | 3e4de8df | ef0e0088 | 3559648d | 8a45388c | 1d804366 | 721d9bfd | a58684bb |
| e8256333 | 844e8212 | 128d8098 | fed33fb4 | ce280ae1 | 27e19ba5 | d5a6c252 | e49754bd |
| c5d655dd | eb667064 | 77840b4d | a1b6a801 | 84db26a9 | e0b56714 | 21f043b7 | e5d05860 |
| 54f03084 | 066ff472 | a31aa153 | dadc4755 | b5625dbf | 68561be6 | 83ca6b94 | 2d6ed23b |
| eccf01db | a6d3d0ba | b6803d5c | af77a709 | 33b4a34c | 397bc8d6 | 5ee22b95 | 5f0e5304 |
| 81ed6f61 | 20e74364 | b45e1378 | de18639b | 881ca122 | b96726d1 | 8049a7e8 | 22b7da7b |
| 5e552d25 | 5272d237 | 79d2951c | c60d894c | 488cb402 | 1ba4fe5b | a4b09f6b | 1ca815cf |
| a20c3005 | 8871df63 | b9de2fcb | 0cc6c9e9 | 0beeff53 | e3214517 | b4542835 | 9f63293c |
| ee41e729 | 6e1d2d7c | 50045286 | 1e6685f3 | f33401c6 | 30a22c95 | 31a70850 | 60930f13 |
| 73f98417 | a1269859 | ec645c44 | 52c877a9 | cdff33a6 | a02b1741 | 7cbad9a2 | 2180036f |
| 50d99c08 | cb3f4861 | c26bd765 | 64a3f6ab | 80342676 | 25a75e7b | e4e6d1fc | 20c710e6 |
| cdf0b680 | 17844d3b | 31eef84d | 7e0824e4 | 2ccb49eb | 846a3bae | 8ff77888 | ee5d60f6 |
| 7af75673 | 2fdd5cdb | a11631c1 | 30f66f43 | b3faec54 | 157fd7fa | ef8579cc | d152de58 |
| db2ffd5e | 8f32ce19 | 306af97a | 02f03ef8 | 99319ad5 | c242fa0f | a7e3ebb0 | c68e4906 |
| b8da230c | 80823028 | dcdef3c8 | d35fb171 | 088a1bc8 | bec0c560 | 61a3c9e8 | bca8f54d |
| c72feffa | 22822e99 | 82c570b4 | d8d94e89 | 8b1c34bc | 301e16e6 | 273be979 | b0ffeaa6 |
| 61d9b8c6 | 00b24869 | b7ffce3f | 08dc283b | 43daf65a | f7e19798 | 7619b72f | 8f1c9ba4 |
| dc8637a0 | 16a7d3b1 | 9fc393b7 | a7136eeb | c6bcc63e | 1a513742 | ef6828bc | 520365d6 |
| 2d6a77ab | 3527ed4b | 821fd216 | 095c6e2e | db92f2fb | 5eea29cb | 145892f5 | 91584f7f |
| 5483697b | 2667a8cc | 85196048 | 8c4bacea | 833860d4 | 0d23e0f9 | 6c387e8a | 0ae6d249 |
| b284600c | d835731d | dcb1c647 | ac4c56ea | 3ebd81b3 | 230eabb0 | 6438bc87 | f0b5b1fa |
| 8f5ea2b3 | fc184642 | 0a036b7a | 4fb089bd | 649da589 | a345415e | 5c038323 | 3e5d3bb9 |
| 43d79572 | 7e6dd07c | 06dfdf1e | 6c6cc4ef | 7160a539 | 73bfbe70 | 83877605 | 4523ecf1 |
S-Box S3
| 8defc240 | 25fa5d9f | eb903dbf | e810c907 | 47607fff | 369fe44b | 8c1fc644 | aececa90 |
| beb1f9bf | eefbcaea | e8cf1950 | 51df07ae | 920e8806 | f0ad0548 | e13c8d83 | 927010d5 |
| 11107d9f | 07647db9 | b2e3e4d4 | 3d4f285e | b9afa820 | fade82e0 | a067268b | 8272792e |
| 553fb2c0 | 489ae22b | d4ef9794 | 125e3fbc | 21fffcee | 825b1bfd | 9255c5ed | 1257a240 |
| 4e1a8302 | bae07fff | 528246e7 | 8e57140e | 3373f7bf | 8c9f8188 | a6fc4ee8 | c982b5a5 |
| a8c01db7 | 579fc264 | 67094f31 | f2bd3f5f | 40fff7c1 | 1fb78dfc | 8e6bd2c1 | 437be59b |
| 99b03dbf | b5dbc64b | 638dc0e6 | 55819d99 | a197c81c | 4a012d6e | c5884a28 | ccc36f71 |
| b843c213 | 6c0743f1 | 8309893c | 0feddd5f | 2f7fe850 | d7c07f7e | 02507fbf | 5afb9a04 |
| a747d2d0 | 1651192e | af70bf3e | 58c31380 | 5f98302e | 727cc3c4 | 0a0fb402 | 0f7fef82 |
| 8c96fdad | 5d2c2aae | 8ee99a49 | 50da88b8 | 8427f4a0 | 1eac5790 | 796fb449 | 8252dc15 |
| efbd7d9b | a672597d | ada840d8 | 45f54504 | fa5d7403 | e83ec305 | 4f91751a | 925669c2 |
| 23efe941 | a903f12e | 60270df2 | 0276e4b6 | 94fd6574 | 927985b2 | 8276dbcb | 02778176 |
| f8af918d | 4e48f79e | 8f616ddf | e29d840e | 842f7d83 | 340ce5c8 | 96bbb682 | 93b4b148 |
| ef303cab | 984faf28 | 779faf9b | 92dc560d | 224d1e20 | 8437aa88 | 7d29dc96 | 2756d3dc |
| 8b907cee | b51fd240 | e7c07ce3 | e566b4a1 | c3e9615e | 3cf8209d | 6094d1e3 | cd9ca341 |
| 5c76460e | 00ea983b | d4d67881 | fd47572c | f76cedd9 | bda8229c | 127dadaa | 438a074e |
| 1f97c090 | 081bdb8a | 93a07ebe | b938ca15 | 97b03cff | 3dc2c0f8 | 8d1ab2ec | 64380e51 |
| 68cc7bfb | d90f2788 | 12490181 | 5de5ffd4 | dd7ef86a | 76a2e214 | b9a40368 | 925d958f |
| 4b39fffa | ba39aee9 | a4ffd30b | faf7933b | 6d498623 | 193cbcfa | 27627545 | 825cf47a |
| 61bd8ba0 | d11e42d1 | cead04f4 | 127ea392 | 10428db7 | 8272a972 | 9270c4a8 | 127de50b |
| 285ba1c8 | 3c62f44f | 35c0eaa5 | e805d231 | 428929fb | b4fcdf82 | 4fb66a53 | 0e7dc15b |
| 1f081fab | 108618ae | fcfd086d | f9ff2889 | 694bcc11 | 236a5cae | 12deca4d | 2c3f8cc5 |
| d2d02dfe | f8ef5896 | e4cf52da | 95155b67 | 494a488c | b9b6a80c | 5c8f82bc | 89d36b45 |
| 3a609437 | ec00c9a9 | 44715253 | 0a874b49 | d773bc40 | 7c34671c | 02717ef6 | 4feb5536 |
| a2d02fff | d2bf60c4 | d43f03c0 | 50b4ef6d | 07478cd1 | 006e1888 | a2e53f55 | b9e6d4bc |
| a2048016 | 97573833 | d7207d67 | de0f8f3d | 72f87b33 | abcc4f33 | 7688c55d | 7b00a6b0 |
| 947b0001 | 570075d2 | f9bb88f8 | 8942019e | 4264a5ff | 856302e0 | 72dbd92b | ee971b69 |
| 6ea22fde | 5f08ae2b | af7a616d | e5c98767 | cf1febd2 | 61efc8c2 | f1ac2571 | cc8239c2 |
| 67214cb8 | b1e583d1 | b7dc3e62 | 7f10bdce | f90a5c38 | 0ff0443d | 606e6dc6 | 60543a49 |
| 5727c148 | 2be98a1d | 8ab41738 | 20e1be24 | af96da0f | 68458425 | 99833be5 | 600d457d |
| 282f9350 | 8334b362 | d91d1120 | 2b6d8da0 | 642b1e31 | 9c305a00 | 52bce688 | 1b03588a |
| f7baefd5 | 4142ed9c | a4315c11 | 83323ec5 | dfef4636 | a133c501 | e9d3531c | ee353783 |
S-Box S4
| 9db30420 | 1fb6e9de | a7be7bef | d273a298 | 4a4f7bdb | 64ad8c57 | 85510443 | fa020ed1 |
| 7e287aff | e60fb663 | 095f35a1 | 79ebf120 | fd059d43 | 6497b7b1 | f3641f63 | 241e4adf |
| 28147f5f | 4fa2b8cd | c9430040 | 0cc32220 | fdd30b30 | c0a5374f | 1d2d00d9 | 24147b15 |
| ee4d111a | 0fca5167 | 71ff904c | 2d195ffe | 1a05645f | 0c13fefe | 081b08ca | 05170121 |
| 80530100 | e83e5efe | ac9af4f8 | 7fe72701 | d2b8ee5f | 06df4261 | bb9e9b8a | 7293ea25 |
| ce84ffdf | f5718801 | 3dd64b04 | a26f263b | 7ed48400 | 547eebe6 | 446d4ca0 | 6cf3d6f5 |
| 2649abdf | aea0c7f5 | 36338cc1 | 503f7e93 | d3772061 | 11b638e1 | 72500e03 | f80eb2bb |
| abe0502e | ec8d77de | 57971e81 | e14f6746 | c9335400 | 6920318f | 081dbb99 | ffc304a5 |
| 4d351805 | 7f3d5ce3 | a6c866c6 | 5d5bcca9 | daec6fea | 9f926f91 | 9f46222f | 3991467d |
| a5bf6d8e | 1143c44f | 43958302 | d0214eeb | 022083b8 | 3fb6180c | 18f8931e | 281658e6 |
| 26486e3e | 8bd78a70 | 7477e4c1 | b506e07c | f32d0a25 | 79098b02 | e4eabb81 | 28123b23 |
| 69dead38 | 1574ca16 | df871b62 | 211c40b7 | a51a9ef9 | 0014377b | 041e8ac8 | 09114003 |
| bd59e4d2 | e3d156d5 | 4fe876d5 | 2f91a340 | 557be8de | 00eae4a7 | 0ce5c2ec | 4db4bba6 |
| e756bdff | dd3369ac | ec17b035 | 06572327 | 99afc8b0 | 56c8c391 | 6b65811c | 5e146119 |
| 6e85cb75 | be07c002 | c2325577 | 893ff4ec | 5bbfc92d | d0ec3b25 | b7801ab7 | 8d6d3b24 |
| 20c763ef | c366a5fc | 9c382880 | 0ace3205 | aac9548a | eca1d7c7 | 041afa32 | 1d16625a |
| 6701902c | 9b757a54 | 31d477f7 | 9126b031 | 36cc6fdb | c70b8b46 | d9e66a48 | 56e55a79 |
| 026a4ceb | 52437eff | 2f8f76b4 | 0df980a5 | 8674cde3 | edda04eb | 17a9be04 | 2c18f4df |
| b7747f9d | ab2af7b4 | efc34d20 | 2e096b7c | 1741a254 | e5b6a035 | 213d42f6 | 2c1c7c26 |
| 61c2f50f | 6552daf9 | d2c231f8 | 25130f69 | d8167fa2 | 0418f2c8 | 001a96a6 | 0d1526ab |
| 63315c21 | 5e0a72ec | 49bafefd | 187908d9 | 8d0dbd86 | 311170a7 | 3e9b640c | cc3e10d7 |
| d5cad3b6 | 0caec388 | f73001e1 | 6c728aff | 71eae2a1 | 1f9af36e | cfcbd12f | c1de8417 |
| ac07be6b | cb44a1d8 | 8b9b0f56 | 013988c3 | b1c52fca | b4be31cd | d8782806 | 12a3a4e2 |
| 6f7de532 | 58fd7eb6 | d01ee900 | 24adffc2 | f4990fc5 | 9711aac5 | 001d7b95 | 82e5e7d2 |
| 109873f6 | 00613096 | c32d9521 | ada121ff | 29908415 | 7fbb977f | af9eb3db | 29c9ed2a |
| 5ce2a465 | a730f32c | d0aa3fe8 | 8a5cc091 | d49e2ce7 | 0ce454a9 | d60acd86 | 015f1919 |
| 77079103 | dea03af6 | 78a8565e | dee356df | 21f05cbe | 8b75e387 | b3c50651 | b8a5c3ef |
| d8eeb6d2 | e523be77 | c2154529 | 2f69efdf | afe67afb | f470c4b2 | f3e0eb5b | d6cc9876 |
| 39e4460c | 1fda8538 | 1987832f | ca007367 | a99144f8 | 296b299e | 492fc295 | 9266beab |
| b5676e69 | 9bd3ddda | df7e052f | db25701c | 1b5e51ee | f65324e6 | 6afce36c | 0316cc04 |
| 8644213e | b7dc59d0 | 7965291f | ccd6fd43 | 41823979 | 932bcdf6 | b657c34d | 4edfd282 |
| 7ae5290c | 3cb9536b | 851e20fe | 9833557e | 13ecf0b0 | d3ffb372 | 3f85c5c1 | 0aef7ed2 |
S-Box S5
| 7ec90c04 | 2c6e74b9 | 9b0e66df | a6337911 | b86a7fff | 1dd358f5 | 44dd9d44 | 1731167f |
| 08fbf1fa | e7f511cc | d2051b00 | 735aba00 | 2ab722d8 | 386381cb | acf6243a | 69befd7a |
| e6a2e77f | f0c720cd | c4494816 | ccf5c180 | 38851640 | 15b0a848 | e68b18cb | 4caadeff |
| 5f480a01 | 0412b2aa | 259814fc | 41d0efe2 | 4e40b48d | 248eb6fb | 8dba1cfe | 41a99b02 |
| 1a550a04 | ba8f65cb | 7251f4e7 | 95a51725 | c106ecd7 | 97a5980a | c539b9aa | 4d79fe6a |
| f2f3f763 | 68af8040 | ed0c9e56 | 11b4958b | e1eb5a88 | 8709e6b0 | d7e07156 | 4e29fea7 |
| 6366e52d | 02d1c000 | c4ac8e05 | 9377f571 | 0c05372a | 578535f2 | 2261be02 | d642a0c9 |
| df13a280 | 74b55bd2 | 682199c0 | d421e5ec | 53fb3ce8 | c8adedb3 | 28a87fc9 | 3d959981 |
| 5c1ff900 | fe38d399 | 0c4eff0b | 062407ea | aa2f4fb1 | 4fb96976 | 90c79505 | b0a8a774 |
| ef55a1ff | e59ca2c2 | a6b62d27 | e66a4263 | df65001f | 0ec50966 | dfdd55bc | 29de0655 |
| 911e739a | 17af8975 | 32c7911c | 89f89468 | 0d01e980 | 524755f4 | 03b63cc9 | 0cc844b2 |
| bcf3f0aa | 87ac36e9 | e53a7426 | 01b3d82b | 1a9e7449 | 64ee2d7e | cddbb1da | 01c94910 |
| b868bf80 | 0d26f3fd | 9342ede7 | 04a5c284 | 636737b6 | 50f5b616 | f24766e3 | 8eca36c1 |
| 136e05db | fef18391 | fb887a37 | d6e7f7d4 | c7fb7dc9 | 3063fcdf | b6f589de | ec2941da |
| 26e46695 | b7566419 | f654efc5 | d08d58b7 | 48925401 | c1bacb7f | e5ff550f | b6083049 |
| 5bb5d0e8 | 87d72e5a | ab6a6ee1 | 223a66ce | c62bf3cd | 9e0885f9 | 68cb3e47 | 086c010f |
| a21de820 | d18b69de | f3f65777 | fa02c3f6 | 407edac3 | cbb3d550 | 1793084d | b0d70eba |
| 0ab378d5 | d951fb0c | ded7da56 | 4124bbe4 | 94ca0b56 | 0f5755d1 | e0e1e56e | 6184b5be |
| 580a249f | 94f74bc0 | e327888e | 9f7b5561 | c3dc0280 | 05687715 | 646c6bd7 | 44904db3 |
| 66b4f0a3 | c0f1648a | 697ed5af | 49e92ff6 | 309e374f | 2cb6356a | 85808573 | 4991f840 |
| 76f0ae02 | 083be84d | 28421c9a | 44489406 | 736e4cb8 | c1092910 | 8bc95fc6 | 7d869cf4 |
| 134f616f | 2e77118d | b31b2be1 | aa90b472 | 3ca5d717 | 7d161bba | 9cad9010 | af462ba2 |
| 9fe459d2 | 45d34559 | d9f2da13 | dbc65487 | f3e4f94e | 176d486f | 097c13ea | 631da5c7 |
| 445f7382 | 175683f4 | cdc66a97 | 70be0288 | b3cdcf72 | 6e5dd2f3 | 20936079 | 459b80a5 |
| be60e2db | a9c23101 | eba5315c | 224e42f2 | 1c5c1572 | f6721b2c | 1ad2fff3 | 8c25404e |
| 324ed72f | 4067b7fd | 0523138e | 5ca3bc78 | dc0fd66e | 75922283 | 784d6b17 | 58ebb16e |
| 44094f85 | 3f481d87 | fcfeae7b | 77b5ff76 | 8c2302bf | aaf47556 | 5f46b02a | 2b092801 |
| 3d38f5f7 | 0ca81f36 | 52af4a8a | 66d5e7c0 | df3b0874 | 95055110 | 1b5ad7a8 | f61ed5ad |
| 6cf6e479 | 20758184 | d0cefa65 | 88f7be58 | 4a046826 | 0ff6f8f3 | a09c7f70 | 5346aba0 |
| 5ce96c28 | e176eda3 | 6bac307f | 376829d2 | 85360fa9 | 17e3fe2a | 24b79767 | f5a96b20 |
| d6cd2595 | 68ff1ebf | 7555442c | f19f06be | f9e0659a | eeb9491d | 34010718 | bb30cab8 |
| e822fe15 | 88570983 | 750e6249 | da627e55 | 5e76ffa8 | b1534546 | 6d47de08 | efe9e7d4 |
S-Box S6
| f6fa8f9d | 2cac6ce1 | 4ca34867 | e2337f7c | 95db08e7 | 016843b4 | eced5cbc | 325553ac |
| bf9f0960 | dfa1e2ed | 83f0579d | 63ed86b9 | 1ab6a6b8 | de5ebe39 | f38ff732 | 8989b138 |
| 33f14961 | c01937bd | f506c6da | e4625e7e | a308ea99 | 4e23e33c | 79cbd7cc | 48a14367 |
| a3149619 | fec94bd5 | a114174a | eaa01866 | a084db2d | 09a8486f | a888614a | 2900af98 |
| 01665991 | e1992863 | c8f30c60 | 2e78ef3c | d0d51932 | cf0fec14 | f7ca07d2 | d0a82072 |
| fd41197e | 9305a6b0 | e86be3da | 74bed3cd | 372da53c | 4c7f4448 | dab5d440 | 6dba0ec3 |
| 083919a7 | 9fbaeed9 | 49dbcfb0 | 4e670c53 | 5c3d9c01 | 64bdb941 | 2c0e636a | ba7dd9cd |
| ea6f7388 | e70bc762 | 35f29adb | 5c4cdd8d | f0d48d8c | b88153e2 | 08a19866 | 1ae2eac8 |
| 284caf89 | aa928223 | 9334be53 | 3b3a21bf | 16434be3 | 9aea3906 | efe8c36e | f890cdd9 |
| 80226dae | c340a4a3 | df7e9c09 | a694a807 | 5b7c5ecc | 221db3a6 | 9a69a02f | 68818a54 |
| ceb2296f | 53c0843a | fe893655 | 25bfe68a | b4628abc | cf222ebf | 25ac6f48 | a9a99387 |
| 53bddb65 | e76ffbe7 | e967fd78 | 0ba93563 | 8e342bc1 | e8a11be9 | 4980740d | c8087dfc |
| 8de4bf99 | a11101a0 | 7fd37975 | da5a26c0 | e81f994f | 9528cd89 | fd339fed | b87834bf |
| 5f04456d | 22258698 | c9c4c83b | 2dc156be | 4f628daa | 57f55ec5 | e2220abe | d2916ebf |
| 4ec75b95 | 24f2c3c0 | 42d15d99 | cd0d7fa0 | 7b6e27ff | a8dc8af0 | 7345c106 | f41e232f |
| 35162386 | e6ea8926 | 3333b094 | 157ec6f2 | 372b74af | 692573e4 | e9a9d848 | f3160289 |
| 3a62ef1d | a787e238 | f3a5f676 | 74364853 | 20951063 | 4576698d | b6fad407 | 592af950 |
| 36f73523 | 4cfb6e87 | 7da4cec0 | 6c152daa | cb0396a8 | c50dfe5d | fcd707ab | 0921c42f |
| 89dff0bb | 5fe2be78 | 448f4f33 | 754613c9 | 2b05d08d | 48b9d585 | dc049441 | c8098f9b |
| 7dede786 | c39a3373 | 42410005 | 6a091751 | 0ef3c8a6 | 890072d6 | 28207682 | a9a9f7be |
| bf32679d | d45b5b75 | b353fd00 | cbb0e358 | 830f220a | 1f8fb214 | d372cf08 | cc3c4a13 |
| 8cf63166 | 061c87be | 88c98f88 | 6062e397 | 47cf8e7a | b6c85283 | 3cc2acfb | 3fc06976 |
| 4e8f0252 | 64d8314d | da3870e3 | 1e665459 | c10908f0 | 513021a5 | 6c5b68b7 | 822f8aa0 |
| 3007cd3e | 74719eef | dc872681 | 073340d4 | 7e432fd9 | 0c5ec241 | 8809286c | f592d891 |
| 08a930f6 | 957ef305 | b7fbffbd | c266e96f | 6fe4ac98 | b173ecc0 | bc60b42a | 953498da |
| fba1ae12 | 2d4bd736 | 0f25faab | a4f3fceb | e2969123 | 257f0c3d | 9348af49 | 361400bc |
| e8816f4a | 3814f200 | a3f94043 | 9c7a54c2 | bc704f57 | da41e7f9 | c25ad33a | 54f4a084 |
| b17f5505 | 59357cbe | edbd15c8 | 7f97c5ab | ba5ac7b5 | b6f6deaf | 3a479c3a | 5302da25 |
| 653d7e6a | 54268d49 | 51a477ea | 5017d55b | d7d25d88 | 44136c76 | 0404a8c8 | b8e5a121 |
| b81a928a | 60ed5869 | 97c55b96 | eaec991b | 29935913 | 01fdb7f1 | 088e8dfa | 9ab6f6f5 |
| 3b4cbf9f | 4a5de3ab | e6051d35 | a0e1d855 | d36b4cf1 | f544edeb | b0e93524 | bebb8fbd |
| a2d762cf | 49c92f54 | 38b5f331 | 7128a454 | 48392905 | a65b1db8 | 851c97bd | d675cf2f |
| be60e2db | a9c23101 | eba5315c | 224e42f2 | 1c5c1572 | f6721b2c | 1ad2fff3 | 8c25404e |
| 324ed72f | 4067b7fd | 0523138e | 5ca3bc78 | dc0fd66e | 75922283 | 784d6b17 | 58ebb16e |
| 44094f85 | 3f481d87 | fcfeae7b | 77b5ff76 | 8c2302bf | aaf47556 | 5f46b02a | 2b092801 |
| 3d38f5f7 | 0ca81f36 | 52af4a8a | 66d5e7c0 | df3b0874 | 95055110 | 1b5ad7a8 | f61ed5ad |
| 6cf6e479 | 20758184 | d0cefa65 | 88f7be58 | 4a046826 | 0ff6f8f3 | a09c7f70 | 5346aba0 |
| 5ce96c28 | e176eda3 | 6bac307f | 376829d2 | 85360fa9 | 17e3fe2a | 24b79767 | f5a96b20 |
| d6cd2595 | 68ff1ebf | 7555442c | f19f06be | f9e0659a | eeb9491d | 34010718 | bb30cab8 |
| e822fe15 | 88570983 | 750e6249 | da627e55 | 5e76ffa8 | b1534546 | 6d47de08 | efe9e7d4 |
S-Box S7
| 85e04019 | 332bf567 | 662dbfff | cfc65693 | 2a8d7f6f | ab9bc912 | de6008a1 | 2028da1f |
| 0227bce7 | 4d642916 | 18fac300 | 50f18b82 | 2cb2cb11 | b232e75c | 4b3695f2 | b28707de |
| a05fbcf6 | cd4181e9 | e150210c | e24ef1bd | b168c381 | fde4e789 | 5c79b0d8 | 1e8bfd43 |
| 4d495001 | 38be4341 | 913cee1d | 92a79c3f | 089766be | baeeadf4 | 1286becf | b6eacb19 |
| 2660c200 | 7565bde4 | 64241f7a | 8248dca9 | c3b3ad66 | 28136086 | 0bd8dfa8 | 356d1cf2 |
| 107789be | b3b2e9ce | 0502aa8f | 0bc0351e | 166bf52a | eb12ff82 | e3486911 | d34d7516 |
| 4e7b3aff | 5f43671b | 9cf6e037 | 4981ac83 | 334266ce | 8c9341b7 | d0d854c0 | cb3a6c88 |
| 47bc2829 | 4725ba37 | a66ad22b | 7ad61f1e | 0c5cbafa | 4437f107 | b6e79962 | 42d2d816 |
| 0a961288 | e1a5c06e | 13749e67 | 72fc081a | b1d139f7 | f9583745 | cf19df58 | bec3f756 |
| c06eba30 | 07211b24 | 45c28829 | c95e317f | bc8ec511 | 38bc46e9 | c6e6fa14 | bae8584a |
| ad4ebc46 | 468f508b | 7829435f | f124183b | 821dba9f | aff60ff4 | ea2c4e6d | 16e39264 |
| 92544a8b | 009b4fc3 | aba68ced | 9ac96f78 | 06a5b79a | b2856e6e | 1aec3ca9 | be838688 |
| 0e0804e9 | 55f1be56 | e7e5363b | b3a1f25d | f7debb85 | 61fe033c | 16746233 | 3c034c28 |
| da6d0c74 | 79aac56c | 3ce4e1ad | 51f0c802 | 98f8f35a | 1626a49f | eed82b29 | 1d382fe3 |
| 0c4fb99a | bb325778 | 3ec6d97b | 6e77a6a9 | cb658b5c | d45230c7 | 2bd1408b | 60c03eb7 |
| b9068d78 | a33754f4 | f430c87d | c8a71302 | b96d8c32 | ebd4e7be | be8b9d2d | 7979fb06 |
| e7225308 | 8b75cf77 | 11ef8da4 | e083c858 | 8d6b786f | 5a6317a6 | fa5cf7a0 | 5dda0033 |
| f28ebfb0 | f5b9c310 | a0eac280 | 08b9767a | a3d9d2b0 | 79d34217 | 021a718d | 9ac6336a |
| 2711fd60 | 438050e3 | 069908a8 | 3d7fedc4 | 826d2bef | 4eeb8476 | 488dcf25 | 36c9d566 |
| 28e74e41 | c2610aca | 3d49a9cf | bae3b9df | b65f8de6 | 92aeaf64 | 3ac7d5e6 | 9ea80509 |
| f22b017d | a4173f70 | dd1e16c3 | 15e0d7f9 | 50b1b887 | 2b9f4fd5 | 625aba82 | 6a017962 |
| 2ec01b9c | 15488aa9 | d716e740 | 40055a2c | 93d29a22 | e32dbf9a | 058745b9 | 3453dc1e |
| d699296e | 496cff6f | 1c9f4986 | dfe2ed07 | b87242d1 | 19de7eae | 053e561a | 15ad6f8c |
| 66626c1c | 7154c24c | ea082b2a | 93eb2939 | 17dcb0f0 | 58d4f2ae | 9ea294fb | 52cf564c |
| 9883fe66 | 2ec40581 | 763953c3 | 01d6692e | d3a0c108 | a1e7160e | e4f2dfa6 | 693ed285 |
| 74904698 | 4c2b0edd | 4f757656 | 5d393378 | a132234f | 3d321c5d | c3f5e194 | 4b269301 |
| c79f022f | 3c997e7e | 5e4f9504 | 3ffafbbd | 76f7ad0e | 296693f4 | 3d1fce6f | c61e45be |
| d3b5ab34 | f72bf9b7 | 1b0434c0 | 4e72b567 | 5592a33d | b5229301 | cfd2a87f | 60aeb767 |
| 1814386b | 30bcc33d | 38a0c07d | fd1606f2 | c363519b | 589dd390 | 5479f8e6 | 1cb8d647 |
| 97fd61a9 | ea7759f4 | 2d57539d | 569a58cf | e84e63ad | 462e1b78 | 6580f87e | f3817914 |
| 91da55f4 | 40a230f3 | d1988f35 | b6e318d2 | 3ffa50bc | 3d40f021 | c3c0bdae | 4958c24c |
| 518f36b2 | 84b1d370 | 0fedce83 | 878ddada | f2a279c7 | 94e01be8 | 90716f4b | 954b8aa3 |
S-Box S8
| e216300d | bbddfffc | a7ebdabd | 35648095 | 7789f8b7 | e6c1121b | 0e241600 | 052ce8b5 |
| 11a9cfb0 | e5952f11 | ece7990a | 9386d174 | 2a42931c | 76e38111 | b12def3a | 37ddddfc |
| de9adeb1 | 0a0cc32c | be197029 | 84a00940 | bb243a0f | b4d137cf | b44e79f0 | 049eedfd |
| 0b15a15d | 480d3168 | 8bbbde5a | 669ded42 | c7ece831 | 3f8f95e7 | 72df191b | 7580330d |
| 94074251 | 5c7dcdfa | abbe6d63 | aa402164 | b301d40a | 02e7d1ca | 53571dae | 7a3182a2 |
| 12a8ddec | fdaa335d | 176f43e8 | 71fb46d4 | 38129022 | ce949ad4 | b84769ad | 965bd862 |
| 82f3d055 | 66fb9767 | 15b80b4e | 1d5b47a0 | 4cfde06f | c28ec4b8 | 57e8726e | 647a78fc |
| 99865d44 | 608bd593 | 6c200e03 | 39dc5ff6 | 5d0b00a3 | ae63aff2 | 7e8bd632 | 70108c0c |
| bbd35049 | 2998df04 | 980cf42a | 9b6df491 | 9e7edd53 | 06918548 | 58cb7e07 | 3b74ef2e |
| 522fffb1 | d24708cc | 1c7e27cd | a4eb215b | 3cf1d2e2 | 19b47a38 | 424f7618 | 35856039 |
| 9d17dee7 | 27eb35e6 | c9aff67b | 36baf5b8 | 09c467cd | c18910b1 | e11dbf7b | 06cd1af8 |
| 7170c608 | 2d5e3354 | d4de495a | 64c6d006 | bcc0c62c | 3dd00db3 | 708f8f34 | 77d51b42 |
| 264f620f | 24b8d2bf | 15c1b79e | 46a52564 | f8d7e54e | 3e378160 | 7895cda5 | 859c15a5 |
| e6459788 | c37bc75f | db07ba0c | 0676a3ab | 7f229b1e | 31842e7b | 24259fd7 | f8bef472 |
| 835ffcb8 | 6df4c1f2 | 96f5b195 | fd0af0fc | b0fe134c | e2506d3d | 4f9b12ea | f215f225 |
| a223736f | 9fb4c428 | 25d04979 | 34c713f8 | c4618187 | ea7a6e98 | 7cd16efc | 1436876c |
| f1544107 | bedeee14 | 56e9af27 | a04aa441 | 3cf7c899 | 92ecbae6 | dd67016d | 151682eb |
| a842eedf | fdba60b4 | f1907b75 | 20e3030f | 24d8c29e | e139673b | efa63fb8 | 71873054 |
| b6f2cf3b | 9f326442 | cb15a4cc | b01a4504 | f1e47d8d | 844a1be5 | bae7dfdc | 42cbda70 |
| cd7dae0a | 57e85b7a | d53f5af6 | 20cf4d8c | cea4d428 | 79d130a4 | 3486ebfb | 33d3cddc |
| 77853b53 | 37effcb5 | c5068778 | e580b3e6 | 4e68b8f4 | c5c8b37e | 0d809ea2 | 398feb7c |
| 132a4f94 | 43b7950e | 2fee7d1c | 223613bd | dd06caa2 | 37df932b | c4248289 | acf3ebc3 |
| 5715f6b7 | ef3478dd | f267616f | c148cbe4 | 9052815e | 5e410fab | b48a2465 | 2eda7fa4 |
| e87b40e4 | e98ea084 | 5889e9e1 | efd390fc | dd07d35b | db485694 | 38d7e5b2 | 57720101 |
| 730edebc | 5b643113 | 94917e4f | 503c2fba | 646f1282 | 7523d24a | e0779695 | f9c17a8f |
| 7a5b2121 | d187b896 | 29263a4d | ba510cdf | 81f47c9f | ad1163ed | ea7b5965 | 1a00726e |
| 11403092 | 00da6d77 | 4a0cdd61 | ad1f4603 | 605bdfb0 | 9eedc364 | 22ebe6a8 | cee7d28a |
| a0e736a0 | 5564a6b9 | 10853209 | c7eb8f37 | 2de705ca | 8951570f | df09822b | bd691a6c |
| aa12e4f2 | 87451c0f | e0f6a27a | 3ada4819 | 4cf1764f | 0d771c2b | 67cdb156 | 350d8384 |
| 5938fa0f | 42399ef3 | 36997b07 | 0e84093d | 4aa93e61 | 8360d87b | 1fa98b0c | 1149382c |
| e97625a5 | 0614d1b7 | 0e25244b | 0c768347 | 589e8d82 | 0d2059d1 | a466bb1e | f8da0a82 |
| 04f19130 | ba6e4ec0 | 99265164 | 1ee7230d | 50b2ad80 | eaee6801 | 8db2a283 | ea8bf59e |
Расшифрование
Расшифрование для CAST-128 относительно проста. Расшифрование работает в том же алгоритмическом направлении, что и шифрование, начиная с зашифрованного текста в качестве входных данных. При этом подключ используются в обратном направлении.
Ссылки
- RFC 2144 — Алгоритм CAST-128
- Публикации посвящённые алгоритму CAST