Штаудингер, Герман
Герман Штаудингер (нем. Hermann Staudinger; 23 марта 1881, Вормс — 8 сентября 1965, Фрайбург) — немецкий химик-органик, продемонстрировавший существование макромолекул, которые он описал как полимеры. За работы в этой области химии в 1953 году удостоился Нобелевской премии. Кроме того, выдающимися заслугами ученого являются открытие кетенов и реакция Штаудингера.
| Герман Штаудингер | |
|---|---|
| Hermann Staudinger | |
| |
| Дата рождения | 23 марта 1881 |
| Место рождения | Вормс, Германия |
| Дата смерти | 9 сентября 1965 (84 года) |
| Место смерти | Фрайбург, Германия |
| Страна |
|
| Научная сфера | Физическая химия |
| Место работы | |
| Альма-матер | |
| Научный руководитель | Даниэль Ворландер[d] |
| Ученики | Леопольд Ружичка |
| Известен как | химик |
| Награды и премии |
Медаль Рудольфа Дизеля (1962) |
Биография
Штаудингер родился в г. Вормсе на Рейне 23 марта 1881 года. Из-за любви к растениям и цветам он начал изучать ботанику под руководством Георга Клебса в Университете Галле. После окончания средней школы в 1899 году его отец предложил ему прослушать курсы по химии, чтобы получить лучшее представление о ботанике. Прислушавшись к совету отца, Герман изучал химию в университетах Галле, Дармштадта и Мюнхена. Постепенно химия стала его главным интересом, а уже в 1903 году в возрасте всего 22 лет он получил степень доктора наук под руководством Даниеля Форлендера в Галле.
Штаудингер продолжил свои исследования в области органической химии в лаборатории Д. Тиле в Университете Страсбурга. Там в ходе исследований соединений карбоновых кислот он открыл кетены. В 1907 году, сразу же после завершения его научной работы по химии кетенов, Штаудингер, в возрасте 26 лет, был назначен ординарным профессором Технического университета Карлсруэ, сменив на этом посту Роланда Шолля. В Карлсруэ он встретил выдающихся химиков того времени, таких как Карл Энглер и Габер (основатель химии высоких давлений). В то же время исследования Штаудингера сосредоточились на химии кетенов, реакцииях с участием оксалилхлорида, алифатических диазосоединений и получении бутадиена и изопрена[1].
В 1912 году H/Вильштеттер, мировой лидер в области органической химии, был назначен директором вновь созданного Института кайзера Вильгельма по химии в Берлин-Далеме. Швейцарская высшая техническая школа Цюриха (Eigenössische Technische Hochschule) предложила освободившуюся кафедру химии Штаудингеру, который только что опубликовал свою первую книгу «О кетенах»[2]. В Цюрихе Штаудингер продолжил свои исследования в области органического синтеза. Кроме того, он начал исследовать физиологически активные природные соединения. Совместно с Леопольдом Ружичкой (который получил Нобелевскую премию по химии в 1939 году), Штаудингер определил структуру природных пиретринов и разработал пути синтеза этих важных природных инсектицидов.
Во время Первой мировой войн Штаудингер также проводил исследования ароматизаторов, заменителей натуральных продуктов, которые были в дефиците во время войны. Кроме успешного получения синтетического заменителя перца, Штаудингер и Рейхштайн провели анализ натуральных ароматизаторов кофе. В конце исследования они предложили синтетический заменитель — фурфурил меркаптан с примесью метил меркаптана, который начали производить промышленно.
В этот период Штаудингер был типичным химиком-практиком в рамках органической химии, которая уже была весьма старой и уважаемой наукой, во главе с Адольфом фон Байером, Эмилем Фишером и Рихардом Вильштеттером. К 1914 году химики-органики синтезировали более 100000 химических соединений, используемых в разных отраслях, в том числе красителей и фармацевтических препаратов. Еще не достигнув возраста 40 лет, Штаудингер считался ведущим химиком-органиком. В течение 1920-х годов Штаудингер решил покинуть безопасное и престижное убежище классической органической химии, чтобы встретить бурное открытое море химии полимеров. Новаторский дух Штаудингера позволил ему оторваться от типичного мышления консервативных химиков и разработать новые революционные концепции[3].
В 1926 году он был назначен на кафедру в университете Альберта Людвига во Фрайбурге, где он посвятил все свои усилия созданию и расширению границ науки о полимерах. Его область научных интересов включала натуральный каучук, целлюлозу и синтетические полимеры, такие как полиоксиметилен, полистирол и полиэтиленоксид, которые Штаудингер считал модельными системами для гораздо более сложных биополимеров. Кроме создания новых синтетических полимеров, Штаудингер пытался определить молекулярные массы полимеров, анализируя концевые группы, проводя вискозиметрию полимерных растворов и используя электронную микроскопию.
Штаудингер всегда поддерживал тесные отношения с промышленностью, чтобы получить средства для своих исследований, и охотно выступал в качестве технического консультанта для фирм, заинтересованных в пластмассах и каучуке. В течение многих лет «Förderverein» (объединение сторонников) Института химии высокомолекулярных соединений образовывали научные руководители различных компаний, которые спонсировали полимерные исследования во Фрайбурге. Научные семинары Штаудингера, начавшиеся в 1950 году, собирали и академических и промышленных химиков, и вскоре стали крупнейшей ежегодной конференцией по химии полимеров (с более чем 700 постоянными участниками к 1990-м годам).
Исследования Штаудингера были опубликованы в более чем 800 публикациях с общим объемом в 10000 печатных страниц. Кроме того, он кратко изложил материалы исследований в своей автобиографии, «Arbeitserinnerungen (от органической химии до макромолекулы)», опубликованной в 1970 г[4]. Его собрание сочинений под названием Das Wissenschaftliche Werk von Hermann Staudinger (Научные труды Германа Штаудингера), были отредактированы Магдой Штаудингер и опубликованы в период между 1969 и 1976 гг.[5].
В течение многих лет учебник Штаудингера, озаглавленный Die hochmolekularen organischen Verbindungen Kautschuk und Cellulose (Высокомолекулярные органические соединения каучук и целлюлоза)[6], опубликованный в 1932 г. в Берлине, был химической «Библией» для многих ученых. В 1947 году Штаудингер создал новый научный журнал Makromolekulare Chemie с Wepf & Company, издававшийся в Базеле. Более 50 лет этот журнал оставался ведущим в области химии полимерных соединений.
Кроме того, Штаудингер не мог остаться в стороне от моральных и политических вопросов, выходящих за рамки академической химии. Во время первой мировой войны он публично критиковал применение химического оружия и выступал в этом вопросе оппонентом своему другу Ф.Габеру, который разработал отравляющий газ для немецкой армии. В 1917 году Штаудингер опубликовал документ, основанный на подсчете промышленных потенциалов воюющих сторон. По результатам расчетов он пришел к выводу, что война уже фактически проиграна Германией и должна быть немедленно закончена, поскольку любое дальнейшее кровопролитие бессмысленно. Его смелые заявления противоречили националистическому духу Германии того периода.
Пацифистские высказывания Штаудингера привели к тому, что его патриотизм множество раз подвергался сомнению. В конце концов это привело к тому, что в 1934 году, во время нацистского периода, декан Фрайбургского Университета, известный немецкий философ Мартин Хайдеггер, инициировал процедуру его увольнения. Хотя Штаудингер был допрошен в гестапо и был вынужден принять отставку, его отстранение было отложено, а затем и отменено при условии, что он перестанет публично осуждать новую власть. Тем не менее, все его просьбы о разрешении на выезд из страны для участия в конференциях после 1937 года отклонялись.
Должности
Профессор в университетах[7]:
- 1908—1912: Высшая техническая школа в Карлсруэ
- 1912—1926: Федеральная высшая школа в Цюрихе
- 1926—1951: Фрайбургский университет
- 1940—1956: Директор Государственного института высокомолекулярных соединений.
Научные исследования
Ранние работы
После получения степени Ph.D. (доктора наук) в университете Галле в 1903 году Штаудингер начал работать в университете Страсбурга (Франция).
Здесь он открыл кетены — семейство молекул, описывающихся общей формулой, изображенной на Рис. 1. Кетены впоследствии окажутся важными промежуточными продуктами в синтезе антибиотиков пенициллина и амоксициллина.

В 1907 году Штаудингер стал ассистентом профессора в Техническом университете Карлсруэ (Германия). Там он успешно выделил множество полезных органических соединений (включая синтетические ароматизаторы кофе), более полно исследованные Рольфом Мульхауптом.
Основные работы
Основные работы посвящены химии высокомолекулярных соединений.
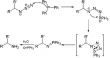
- 1919: Предложил метод замены атома кислорода карбонильной группы иминогруппой с помощью трифенилфосфиниминов (реакция Штаудингера Рис. 2).
- 1922: Доказал, что полимеры представляют собой соединения, состоящие из больших молекул, атомы которых связаны между собой ковалентными связями. Для описания таких молекул ввёл в науку понятие макромолекула. Выдвинул теорию цепного строения макромолекул, которую в дальнейшем дополнил понятиями разветвленной макромолекулы и трёхмерной полимерной сетки. Показал связь между молекулярной массой полимера и вязкостью его раствора, что позволило создать вискозиметрический метод определения молекулярной массы. Предложил реакции полимераналогичных превращений.
- 1947: Основал журнал «Die makromolekulare Chemie».

Исследования макромолекул
В 1920 году Герман Штаудингер, профессор органической химии Технического университета Цюриха, взволновал научное сообщество, объявив, что материалы, такие как натуральный каучук, имеют молекулы с очень высокой молекулярной массой (Рис. 3). В статье, озаглавленной «Über Polymerisation»[8] Штаудингер привел несколько реакций, позволяющих синтезировать тяжелые молекулы, соединяя друг с другом большое количество однотипных коротких молекул. В ходе этих реакций, названных «полимеризацией», свободные мономеры ковалентно соединялись в цепи.
Эта новая теория, описанная Штаудингером как макромолекулярная в 1922 году, охватывала и природные, и синтетические полимеры и открыла путь к синтезу новых полимерных материалов для различных целей. Сейчас многие современные технологии основаны на спроектированных на молекулярном уровне полимерных материалах и биополимерах. Достижения химии полимеров используются в самых разных областях: от упаковки еды, текстильных волокон, автозапчастей и игрушек до водоочистных мембран и носителей, регулируемо выпускающих лекарство в кровь и биополимеров для тканевой инженерии.
Теория Штаудингера, однако, оказалась сложна для многих его современников. Научное сообщество очень неохотно признало существование чрезвычайно больших молекул с молекулярными массами более 5000. Противники идей Штаудингера объясняли специфические свойства полимерных материалов наличием в их структуре мицеллоподобных агрегатов, обнаруженных экспериментально для молекул мыла. Более того, некоторые ученые были убеждены в том, что размер молекулы не может превышать размер элементарной ячейки, определенной методами рентгеноструктурного анализа.
Штаудингер, придерживаясь эмпирических подходов классической органической химии, провел ряд экспериментов, подтверждающих существование макромолекулярных соединений. В качестве модельной системы был выбран натуральный каучук, потому что Карл Харриес и Рудольф Пуммерер независимо друг от друга предположили, что натуральный каучук представляет собой совокупность небольших циклических блоков полиизопрена, нековалентно связанных за счет «частичных валентностей» двойных связей. Такие агрегаты, по его мнению, должны были разрушиться при исчезновении двойных связей в процессе гидрирования. Практический эксперимент по гидрированию каучука показал, что гидрогенированный образец очень похож по свойствам на натуральный, что подтвердило гипотезу Штаудингера.
В конце 1920-х годов Штаудингер привел еще одно доказательство своей теории, основанное на вискозиметрическом исследовании растворов полимеров. Исследования подтвердили, что молекулярный вес полимеров почти не меняется в процессе химической модификации.
Однако, даже несмотря на впечатляющие экспериментальные данные, Штаудингер продолжал встречать сопротивление со стороны ведущих химиков-органиков в течение почти двух десятилетий. Например, Генрих Виланд, лауреат Нобелевской премии по химии 1927-го года, писал Штаудингеру: «Дорогой коллега, откажитесь от идеи больших молекул, органические молекулы с молекулярной массой больше 5000 не существуют. Очистите свои продукты и резины, и они начнут кристаллизоваться, показав тем самым свой малый молекулярный вес».
В своей автобиографии Штаудингер пишет: «Мои коллеги были очень скептически настроены по отношению к моей теории, и все, кто встречал мои публикации в области низкомолекулярной химии, спрашивали меня, почему я пренебрегаю этой интересной областью и продолжаю работать с плохо изученными и неинтересными соединениями вроде резины и синтетических полимеров. В то время химию этих соединений, благодаря их свойствам, часто называли химией смазок»[9].
Штаудингер никогда не переставал продвигать свою концепцию строения полимеров, несмотря на недоверие его коллег ко многим его методам и результатам. В оживленной полемике он красноречиво защищал свои идеи от всех нападок, используя свою изобретательность, настойчивость и неиссякаемый энтузиазм. В период с конца 1920-х до середины 1930-х годов макромолекулярная теория Штаудингера стала приниматься научным сообществом. Хотя некоторые из его противников продолжали упорствовать в своих возражениях, концепция Штаудингера нашла применение в промышленных процессах.

И, наконец, 10 декабря 1953 года Штаудингер получил свою награду за разработку теории макромолекул и его вклад в развитие химии полимеров — Нобелевскую премию по химии.
Почести и награды
Нобелевская премия
Нобелевская премия по химии (1953):
Нобелевскую речь ученый закончил описанием своего видения будущего науки: «В свете новых открытий в химии высокомолекулярных соединений, чудо жизни показывает исключительное множество и совершенство структур, характерных для живой материи»[10].
Природа использует очень небольшое количество мономеров, таких как аминокислоты и моносахариды, чтобы произвести огромное разнообразие биополимеров со специфическими функциями в клеточных структурах, транспорте, катализе и репликации. Сегодня инновации в области наук о живом, особенно биотехнологии, будут продолжать стимулировать создание новых синтетических биополимеров, с беспрецедентным контролем молекулярной архитектуры и биологической активности[11].
Таким образом макромолекулярная теория соединила химию живого и науки о полимерах.
Другие награды, почетные звания, памятные знаки
- 1929 — экстраординарный член Гейдельбергской Академии наук
- 1930 — Медаль Эмиля Фишера
- 1932 — член Германской академии естествоиспытателей «Леопольдина»
- 1952 — Большой Федеральный крест «За заслуги»
В 1999 г. на здании университета во Фрайбурге Немецким химическим обществом установлена мемориальная доска. Именем Г.Штаудингера названы школы в Вормсе и Фрайбурге, гимназия в Эрленбахе. Швейцарская высшая техническая школа Цюриха учредила премию имени Г.Штаудингера по макромолекулярной химии.
Семья
В 1927 году Штаудингер женился на Магде Войт[12], которая была специалистом в области физиологии растений. Она стала для своего мужа верным соратником в работе. Детей в семье не было.
Сочинения
- Hermann Staudinger (1905). «Ketene, eine neue Körperklasse». Berichte der deutschen chemischen Gesellschaft. 38 (2): 1735—1739. doi:10.1002/cber.19050380283.
- Staudinger, H. (1920). «Über Polymerisation». Ber. Deut. Chem. Ges. 53 (6): 1073. doi:10.1002/cber.19200530627.
- Staudinger, H. (1933). «Viscosity investigations for the examination of the constitution of natural products of high molecular weight and of rubber and cellulose». Trans. Faraday Soc. 29 (140): 18-32. doi:10.1039/tf9332900018.
- Staudinger, H.; Heuer, W.; Husemann, E.; Rabinovitch, I. J. (1936). «The insoluble polystyrene». Trans. Faraday Soc. 32: 323—335. doi:10.1039/tf9363200323.
- Arbeitserinnerungen, Hdlb., 1961
- Macromolecular chemistry, 1953 нобелевская лекция
Примечания
- Вопросы истории естествознания и техники. — Наука, 1982.
- Hermann Staudinger. Ketene, eine neue Körperklasse // Berichte der deutschen chemischen Gesellschaft.. — 1905. — Т. 38, № 2. — С. 1735—1739.
- Maja Köhn, Rolf Breinbauer. The Staudinger Ligation—A Gift to Chemical Biology (англ.) // Angewandte Chemie International Edition. — 2004-06-14. — Vol. 43, iss. 24. — P. 3106—3116. — ISSN 1521-3773. — doi:10.1002/anie.200401744.
- Hermann Staudinger. Arbeitserinnerungen (From organic chemistry to macromolecules) // Journal of Polymer Science Part C: Polymer Letters. — 1970. — Т. 10, № 4. — С. 318.
- Hermann Staudinger. Das wissenschaftliche Werk von Hermann Staudinger / Magda Shtaudinger. — Hüthig & Wepf.
- Hermann Staudinger. Die Hochmolekularen Organischen Verbindungen - Kautschuk und Cellulose. — Springer-Verlag. — 540 с. — ISBN 3642922848.
- Heinrich Hopff. Hermann Staudinger 1881–1965 (англ.) // Chemische Berichte. — 1969-05-01. — Vol. 102, iss. 5. — P. XLI–XLVIII. — ISSN 1099-0682. — doi:10.1002/cber.19691020502.
- Herman Shtaudinger. Über Polymerisation // Europ. J. of Inorg. Chem.. — 1920. — 1 июня (т. 53, № 6). — С. 1073—1085.
- Helmut Ringsdorf. Hermann Staudinger and the Future of Polymer Research Jubilees—Beloved Occasions for Cultural Piety (англ.) // Angewandte Chemie International Edition. — 2004-02-20. — Vol. 43, iss. 9. — P. 1064—1076. — ISSN 1521-3773. — doi:10.1002/anie.200330071.
- Staudinger H. Macromolecular Chemistry (англ.) // Nobel Lecture : нобелевская лекция. — 1953. — 11 December.
- Hermann Staudinger - Biographical. www.nobelprize.org. Дата обращения: 15 ноября 2016.
- Ogilvie, Marilyn Bailey; Harvey, Joy Dorothy (2000). The Biographical Dictionary of Women in Science: L-Z. New York, New York: Taylor & Francis. ISBN 978-0-415-92040-7.
