Циклоплатам
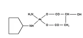
Циклоплатам (S-малатоамин(циклопентиламин)платина (II))— противоопухолевый препарат платины второго поколения. Был разработан и синтезирован П. А. Чельцовым-Бебутовым в Институте общей и неорганической химии им. Н. С. Курнакова АН СССР в 1982 году. Препарат представляет собой S(-)-малатоаммин(циклопентиламин)платину(II) и является смесью двух геометрических изомеров (отличаются положением двух неэквивалентных карбоксильных групп малат-иона относительно аммиака и циклопентиламина, находящихся в цисположении) и продуктов их акватации.
| Циклоплатам | |
|---|---|
| |
| Химическое соединение | |
| Брутто-формула | C9H18N2O5Pt |
| CAS | 109837-67-4 |
| PubChem | 3035239 |
| Состав | |
В эксперименте на животных препарат показал превосходящую цисплатин и карбоплатин активность на опухолях мышей: лейкозе L1210, плазмоцитоме МОРС-406, саркоме 37 и гепатоме 22а. На штаммах лейкозов и некоторых других штаммах опухолей, резистентных к цисплатину и ряду других противоопухолевых агентов (сарколизин, нитрозомочевина, винкристин, BCNU), для циклоплатама не наблюдалось перекрестной резистентности. Клиническое изучение циклоплатама было начато в 1990 году. Вторая фаза клинического изучения циклоплатама проводилась в 4-х лечебных учреждениях и показала его эффективность при раке яичников, раке предстательной железы, мезотелиоме плевры, множественной миеломе. Препарат был разрешен Фармакологическим комитетом РФ для медицинского применения при этих заболеваниях.
См. также
- цисплатин
- оксоплатин
- карбоплатин
- оксалиплатин
Литература
- Новый противоопухолевый препарат циклоплатам: цитотоксичность и межнитевые сшивки ДНК. Горбачева Л. Б., Васильева С. В., Махова Е. В., Мошковская Е. Ю., Соколова И. С., Тихомиров А. Г., Дедерер Л. Ю., Антибиотики и химиотерапия, 1999-N4, стр. 9-12.
- Патент Российской Федерации 2086261. Оксоплатин, комплексное соединение четырехвалентной платины с высокой противоопухолевой активностью, /NH3Cl/2/OH/2Pt, цис-дигидроксодиамминодихлороплатины /IV/.
- Патент Российской Федерации 2089555. Бисимидазол — (1,10) — фенантролинплатина (II) дихлорид, проявляющий цитостатическую противоопухолевую активность.
- Циклоплатам. Результаты клинических испытаний при резистентных солидных опухолях. Горбунова В. А., РОНЦ им. Н. Н. Блохина. Доклад на заседании Московского онкологического общества № 512, 28 октября 2004 г.
