Хондроитинсульфаты
Хондроитинсульфаты — полимерные сульфатированные гликозаминогликаны. Являются специфическими компонентами хряща. Вырабатываются хрящевой тканью суставов, входят в состав синовиальной жидкости и различных препаратов хондропротекторов. Необходимым строительным компонентом хондроитинсульфата является глюкозамин, при недостатке глюкозамина в составе синовиальной жидкости образуется недостаток хондроитинсульфата, что ухудшает качество синовиальной жидкости и может вызвать хруст в суставах.
| Хондроитинсульфаты | |
|---|---|
| |
| Химическое соединение | |
| ИЮПАК | хондроитин-4-(гидрогенсульфат) |
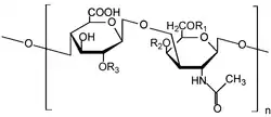
| Брутто-формула | C14H21NO15S |
| Молярная масса | 475,379 г/моль |
| CAS | 24967-94-0 |
| PubChem | 24766 |
| DrugBank | 09301 |
| Состав | |
| Классификация | |
| Фармакол. группа | корректоры метаболизма костной и хрящевой ткани |
| АТХ | M01AX25 |
| Лекарственные формы | |
| ампулы, капсулы, гель | |
| Другие названия | |
| «Артрадол», «Артравир - Инкамфарм», «Мукосат», «Структум», «ФлексиКор», «Хондробаланс», «Хондроксид», «Хондролон» | |
Лекарственные препараты на основе хондроитинсульфатов, позиционируемые производителями как хондропротекторы, по своему действию не отличаются от плацебо и не рекомендованы для лечения остеоартрита (остеоартроза)[1][2]. В 2007 году Формулярным комитетом РАМН хондроитинсульфат был отнесён к препаратам с недоказанной эффективностью[3].
История
Хондроитинсульфаты были выделены в конце XIX века[4]. Освальд Шмидеберг первым получил хондроитин и в 1891 году описал его химическую структуру[4][5]
Биологическая роль
Хондроитинсульфат обладает тропностью к хрящевой ткани, инициирует процесс фиксации серы в процессе синтеза хондроитин-серной кислоты, что, в свою очередь, способствует отложению кальция в костях. Стимулирует синтез гиалуроновой кислоты, укрепляя соединительнотканные структуры: хряща, сухожилий, связок. Оказывает анальгетическое и противовоспалительное действие, является хондропротектором, способствует активной регенерации хряща.
Особенностью хондроитина среди протеогликанов является его способность сохранять воду в толще хряща в виде водных полостей, создающих хорошую амортизацию и поглощающих удары, что в итоге повышает прочность соединительной ткани. Важным действием хондроитина является его способность угнетать действие специфических ферментов, разрушающих соединительную ткань, в том числе лизосомальных ферментов, высвобождающихся в результате разрушения хондроцитов (эластаза, пептидаза, катепсин, интерлейкин-1 и др.).
Естественное потребление хондроитинсульфата и других хондропротекторных веществ осуществлялось с употреблением в пищу сухожилий, кожи и хрящей животных, особенно рыб. В связи с уменьшением доли этих продуктов в рационе современного человека (иногда и с полным исключением), а также при метаболических нарушениях, чрезмерных функциональных нагрузках и особенно возрастном снижении активности синтетических процессов хондроитинсульфат должен поступать уже в готовом виде (или в виде предшественников синтеза) извне, в том числе с пищей.
Клинические испытания и обобщающие исследования
Утверждается, что восполнение дефицита хондроитинсульфата в организме может осуществляться принятием соответствующих биологически активных добавок к пище[6][7]. Тем не менее эффективность этих препаратов сомнительна. Отмечается, что многие препараты хондроитина показали неудовлетворительный результат, сравнимый с эффектом плацебо[8][9][10]. Так, большое и хорошо организованное исследование, проведённое в США в 2002—2006 годах, не выявило статистически значимой средней эффективности сочетания глюкозамина/хондроитина по сравнению с плацебо[11], за исключением подгруппы пациентов с более сильной болью[12], для которых сочетание глюкозамина/хондроитина показало небольшое отклонение в сторону улучшения состояния[13].В 2010 году в BMJ был опубликован метаанализ, показавший, что по сравнению с плацебо глюкозамин, хондроитин и их сочетание не уменьшают боль в суставах и не влияют на сужение суставной щели[8]. Метаанализ, опубликованный в 2007 году в Annals of Internal Medicine, показал, что симптоматическая польза от применения хондроитина минимальна или отсутствует[14].
Доктор Стивен Барретт предупреждает о том, что потребители должны внимательно относиться к рекламе препаратов хондроитина и не доверять обещаниям чудодейственного излечения артрита[15], которые часто даются производителями[16].
Многочисленные клинические исследования (в том числе слепые и плацебо-контролируемые) показали, что курсовое назначение препаратов хондроитинсульфата в течение 1-3 месяцев сопровождается увеличением подвижности суставов, уменьшением их отёчности и болезненности, а также улучшением объективных показателей, включая рентгенологические. Положительная динамика рентгенологических показателей, таких как ширина суставной щели, свидетельствуют о стойком восстановлении структуры суставного хряща, чего не наблюдается при применении одних только нестероидных противовоспалительных средств (диклофенак, пироксикам, индометацин и др.).
Фармакология
По данным разработчиков лекарственных средств[17], хондроитина сульфат замедляет резорбцию костной ткани и снижает потерю Ca2+. Улучшает фосфорно-кальциевый обмен в хрящевой ткани, ускоряет процессы её восстановления, тормозит процессы дегенерации хрящевой и соединительной ткани. Подавляет активность ферментов, вызывающих поражение хрящевой ткани, стимулирует синтез гликозаминогликанов, способствует регенерации суставной сумки и хрящевых поверхностей суставов, увеличивает продукцию внутрисуставной жидкости. Уменьшает болезненность и увеличивает подвижность пораженных суставов. Обладая структурной схожестью с гепарином, потенциально может препятствовать образованию фибриновых тромбов в синовиальном и субхондральном микроциркуляторном русле.
Хондроитинсульфат состоит из нескольких фракций с разной молекулярной массой, притом высокомолекулярные фракции разлагаются в желудочно-кишечном тракте. В связи с этим первые препараты хондроитинсульфата были пригодны только для внутривенного применения. Однако со временем были разработаны технологии получения низкомолекулярных фракций хондроитинсульфата, которые почти полностью всасываются в желудочно-кишечном тракте, сохраняя свою структуру, и встраиваются в хрящевую ткань. Современные биологически активные пищевые добавки содержат низкомолекулярные фракции хондроитинсульфата, получаемые в основном из хряща лососёвых рыб.
При приёме внутрь хондроитинсульфат блокирует активность панкреатической липазы и замедляет всасывание жиров в кишечнике. В результате длительного применения хондроитинсульфата может наблюдаться снижение уровней гиперлипидемии и гиперхолистеринемии и даже снижение массы тела.
Применение
Принимается в лечебных целях по 500—1500 мг в день в два или три приёма. Стандартная суточная доза составляет 400 мг 3 раза в день. Точная дозировка зависит от веса пациента и степени выраженности заболевания. Противопоказаниями к приёму лекарства служат нарушения свёртывающей системы крови и тромбофлебит. К самым частым побочным реакциям относится аллергия, так как препарат в сущности своей является сложным углеводом животного происхождения. Длительный и стойкий результат от применения хондроитинсульфата можно получить только от приёма не менее 2-3 месяцев подряд. В целом отличается хорошей переносимостью и безопасностью.
См. также
Примечания
- AAOS, 2017.
- Katz et al., 2021.
- Резолюция заседания президиума Формулярного комитета РАМН 16.03.2007
Немедленно изъять из перечня лекарственных средств, по которому осуществляется лекарственное обеспечение в программе ДЛО, устаревшие препараты с недоказанной эффективностью — церебролизин, триметазидин, хондроитинсульфат, винпоцетин, пирацетам, фенотропил, арбидол, римантадин, валидол, инозин, валокордин и др., в том числе, отпускаемые без рецепта.
- Levene & La Forge, 1913.
- Загородний Н. В. Внутрисуставное применение хондроитина сульфата при остеоартрите крупных суставов : Третий всероссийский конгресс с международным участием «Медицинская помощь при травмах мирного и военного времени. Новое в организации и технологиях» 17–18 февраля 2018 г. / Проф. Н. В. Загородний. — М.; СПб. : ЦИТО, 2018. — Февраль. — С. 22. — 48 с.
- Mucopolysaccharides (Chondroitin Sulfates) As Dietary Supplements: Sources, Production and Comparative Bioavailability (англ.)
- http://www.fasebj.org/cgi/reprint/20/7/803.pdf (англ.)
- Wandel S., Jüni P., Tendal B., Nüesch E., Villiger P. M., Welton N. J., Reichenbach S., Trelle S. Effects of glucosamine, chondroitin, or placebo in patients with osteoarthritis of hip or knee: network meta-analysis. (англ.) // BMJ (Clinical Research Ed.). — 2010. — 16 September (vol. 341). — P. 4675—4675. — doi:10.1136/bmj.c4675. — PMID 20847017.
- Clegg DO, Reda DJ, Harris CL, et al. (February 2006). «Glucosamine, chondroitin sulfate, and the two in combination for painful knee osteoarthritis». N. Engl. J. Med. 354 (8): 795—808. doi:10.1056/NEJMoa052771. PMID 16495392.
- Rozendaal RM, Koes BW, van Osch GJ, et al. (February 2008). «Effect of glucosamine sulfate on hip osteoarthritis: a randomized trial». Ann. Intern. Med. 148 (4): 268-77. PMID 18283204.
- Sawitzke A. D., Shi H., Finco M. F., Dunlop D. D., Harris C. L., Singer N. G., Bradley J. D., Silver D., Jackson C. G., Lane N. E., Oddis C. V., Wolfe F., Lisse J., Furst D. E., Bingham C. O., Reda D. J., Moskowitz R. W., Williams H. J., Clegg D. O. Clinical efficacy and safety of glucosamine, chondroitin sulphate, their combination, celecoxib or placebo taken to treat osteoarthritis of the knee: 2-year results from GAIT. (англ.) // Annals Of The Rheumatic Diseases. — 2010. — August (vol. 69, no. 8). — P. 1459—1464. — doi:10.1136/ard.2009.120469. — PMID 20525840.
- Eustice C. Is Glucosamine a Beneficial Arthritis Treatment? // Verywell Health. — May 12, 2021.
- Questions and Answers: NIH Glucosamine/Chondroitin Arthritis Intervention Trial Primary Study | NCCAM
- Reichenbach S., Sterchi R., Scherer M., Trelle S., Bürgi E., Bürgi U., Dieppe P. A., Jüni P. Meta-analysis: chondroitin for osteoarthritis of the knee or hip. (англ.) // Annals Of Internal Medicine. — 2007. — 17 April (vol. 146, no. 8). — P. 580—590. — doi:10.7326/0003-4819-146-8-200704170-00009. — PMID 17438317.
- Stephen Barrett, M.D. Glucosamine and Chondroitin for Arthritis: Benefit is Unlikely (англ.). Quackwatch (22.06.2010). Дата обращения: 25 апреля 2011. Архивировано 6 апреля 2012 года.
- Елена Малышева. Передача «Здоровье» от 31 марта 2007 г. (недоступная ссылка) (c 15 минуты). Архивировано 15 июля 2011 года.
- Поиск по базе данных ЛС, опции поиска: МНН — Хондроитина сульфат, флаги «Искать в реестре зарегистрированных ЛС», «Искать ТКФС» (недоступная ссылка). Обращение лекарственных средств. ФГУ «Научный центр экспертизы средств медицинского применения» Росздравнадзора РФ (23.08.2010). Дата обращения: 3 января 2012. Архивировано 3 сентября 2011 года.
Литература
- Schmiedeberg, O. Ueber die chemische Zusammensetzung des Knorpels : [нем.] // Archiv für experimentelle Pathologie und Pharmakologie. — 1891. — Bd. xxviii. — S. 355–404.
- Levene. On Chondroitin Sulphuric Acid : [арх. 19 февраля 2021] / Levene, La Forge // Journal of Biological Chemistry. — 1913. — Vol. 15, no. 1. — P. 69–79.
- Management of Osteoarthritis of the Hip: Evidence-based Clinical Practice Guideline : Adopted by the American Academy of Orthopaedic Surgeons Board of Directors : [англ.]. — 1st Ed. — 2017. — 13 March. — 850 p.
- Katz, J. N. Diagnosis and Treatment of Hip and Knee Osteoarthritis : A Review : [англ.] / J. N. Katz, K. R. Arant, R. F. Loeser // JAMA. — 2021. — Vol. 325, no. 6. — P. 568–578. — doi:10.1001/jama.2020.22171.. — PMID 33560326.
