Тиаминпирофосфат
Тиаминпирофосфат, также тиаминдифосфат, кокарбоксилаза (сокр. TPP) — органическое гетероциклическое соединение, тиаминсодержащий кофермент ряда ферментов окислительного и неокислительного декарбоксилирования α-кетокислот (пировиноградной и а-кетоглютаровой кислот) и обмена α-кетосахаров. Применяется в медицине.
| Тиаминпирофосфат | |
|---|---|
| |
| Общие | |
| Систематическое наименование |
Тиамина пирофосфат |
| Хим. формула | C12H19N4O7P2S+ |
| Физические свойства | |
| Состояние | белые кристаллы |
| Молярная масса | 425.314382 г/моль |
| Классификация | |
| Рег. номер CAS | 57-13-6 |
| PubChem | 1132 |
| SMILES | |
| InChI | |
| ChEBI | 9532 |
| ChemSpider | 1100 |
| Приведены данные для стандартных условий (25 °C, 100 кПа), если не указано иное. | |
В соединении с белком и ионами магния входит в состав фермента карбоксилазы, катализирующей карбоксилирование и декарбоксилирование a-кетокислот (например, в превращении пировиноградной кислоты в ацетилкофермент А). Во всех случаях происходит разрыв С—С связи, смежной с кетогруппой субстрата.[1]
Является готовой формой кофермента, образующегося из тиамина в процессе его превращения в организме.[2]
Может катализировать некоторые реакции без участия белкового компонента.[1]
История открытия
Впервые ферментативное декарбоксилирование α-кетокислот было описано Нойбергом в 1911 г.[3], продемонстрировавшим, что экстракт из дрожжей расщепляет пировиноградную кислоту на ацетальдегид и углекислый газ. Вместе с тем, если дрожжи предварительно промывали щелочным фосфатным буфером, то такой экстракт не проявлял декарбоксилирующей активности, однако активность восстанавливалась при добавлении прокипяченного экстракта свежих дрожжей. Термостабильный фактор экстракта, необходимый для ферментативного декарбоксилирования пировиноградной кислоты, был назван кокарбоксилазой (ко-фермент карбоксилазы).
В 1926 г. Янсен и Донат выделили в чистом виде тиамин [4], в 1937 г. Ломан и Шустер выделили чистую «кокарбоксилазу» — диализуемый кофактор окислительного декарбоксилирования пировиноградной кислоты ферментами дрожжей[5], она была идентифицирована как производное тиамина — тиаминпирофосфат.
Механизм каталитического действия
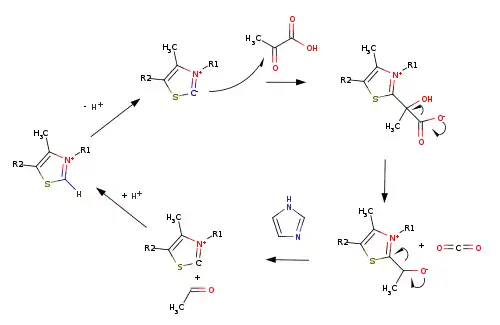
Реакционным центром в тиамине является углеродный атом в положении 2 тиазольного кольца. Тиазольный фрагмент тиамина является четвертичной тиазолиевой солью, кватернизованной по атому азота. Соли тиазолия, незамещённые в положении 2, способны терять протон с образованием илидов.
Такие илиды способны реагировать с карбонильными группами кетокислот и альдегидов с образованием соответствующих 2-тиазолилкарбинолов. Эти соединения являются промежуточными продуктами в различных ферментативных реакциях. Так, например, пировиноградная кислота и другие α-кетокислоты реагируют с тиаминпирофосфатом, образуя соответствующие карбинолы — продукты присоединения, которые затем быстро декарбоксилируются и расщепляются, образуя альдегиды и исходный тиаминпирофосфат:

Ферменты
КФ 1.2.1.58 фенилглиоксалатдегидрогеназа (ацилирующая)
- фенилглиоксалат + NAD+ + CoA-SH = бензоил-S-CoA + CO2 + NADH
КФ 1.2.2.2 пируватдегидрогеназа (цитохром)
- пируват + феррицитохром b1 + H20 = ацетат + CO2 + феррицитохром b1
КФ 1.2.3.3 пируватоксидаза
- пируват + фосфат + O2 = ацетилфосфат + CO2 + H2O2
КФ 1.2.4.1 пируватдегидрогеназа (липоамид)
- Компонент пируватдегидрогназного комплекса
КФ 1.2.4.2 оксиглутаратдегидрогеназа (липоамид)
- Компонент пируватдегидрогназного комплекса
КФ 1.2.4.4 3-метил-2-оксобутират дегидрогеназа (липоамид)
КФ 1.2.7.1 пируватсинтаза
КФ 1.2.7.7 2-оксоизовалерат ферредоксин редуктаза:
КФ 1.2.7.8 индолилпируват ферредоксин оксидоредуктаза:
КФ 1.2.7.9 2-оксоглутарат ферредоксин оксидоредуктаза
КФ 2.2.1.1 транскетолаза
- sedoheptulose 7-фосфат + D-глицеральдегид 3-фосфат = D-рибозо 5-фосфат + D-ксилулозо 5-фосфат
КФ 2.2.1.3 формальдегид транскетолаза
- D-ксилулозо-5-фосфат + формальдегид = глицеральдегид 3-фосфат + глицерон
КФ 2.2.1.4 ацетоин—рибозо-5-фосфат трансальдолаза
- 3-гидроксибутан-2-он + D-рибозо-5-фосфат = ацетальдегид + 1-дезокси-D-альтро-гептулозо-7-фосфат
КФ 2.2.1.5 2-гидрокси-3-оксоадипат синтаза
- 2-оксоглутарат + глиоксилат = 2-гидрокси-3-оксоадипат + CO2
КФ 2.2.1.6 ацетолактат синтаза
- 2 пируват = 2-ацетолактат + CO2
КФ 2.2.1.7 1-дезокси-D-ксилулозо-5-фосфат синтаза
- пируват + D-глицеральдегид-3-фосфат = 1-дезокси-D-ксилулозо-5-фосфат + CO2
КФ 2.5.1.64 6-гидрокси-2-сукцинилциклогекса-2,4-диен-1-карбоксилат синтаза
- 2-оксоглутарат + изохоризмат (1S,6R)-6-гидрокси-2-сукцинилциклогекса-2,4-диен-1-карбоксилат + пируват + CO
КФ 2.7.4.15 тиамин-дифосфат киназа
- ATP + тиамин дифосфат = ADP + тиамин трифосфат
КФ 2.7.4.16 тиамин-фосфат киназа
- ATP + тиамин фосфат = ADP + тиамин дифосфат
КФ 2.7.6.2 тиамин дифосфокиназа
- ATP + тиамин = AMP + тиамин дифосфат
КФ 3.6.1.15 нуклеозид-трифосфатаза
- NTP + H20 = NDP + фосфат
КФ 3.6.1.28 тиамин-трифосфатаза
- тиамин трифосфат + H20 = тиамин дифосфат + фосфат
КФ 4.1.1.1 пируват декарбоксилаза
- 2-оксокислота = альдегид + CO2
- также катализирует образование ацилоинов из альдегидов
КФ 4.1.1.7 бензоилформиат декарбоксилаза
- бензилформиат = бенегидзальд + CO2
КФ 4.1.1.8 оксалил-CoA декарбоксилаза
- оксалил-CoA = формил-CoA + CO2
КФ 4.1.1.71 2-оксоглутарат декарбоксилаза
- 2-оксоглутарат =полуальдегид янтарной кислоты + CO2
КФ 4.1.1.74 индолилпируват декарбоксилаза
- 3-(индол-3-ил)пируват = 2-(индол-3-ил)ацетальдегид + CO2
КФ 4.1.1.75 5-гуанидино-2-оксопентаноат декарбоксилаза
- 5-гуанидино-2-оксо-пентаноат = 4-гуанидинобутаналь + CO2
КФ 4.1.1.79 сульфопируват декарбоксилаза
- 3-сульфоопируват = 2-сульфоацетальдегид + CO2
КФ 4.1.2.9 фосфокетолаза
- D-ксилулозо-5-фосфат + фосфат = ацетилфосфат + D-глицеральдегид-3-фосфат + H20
КФ 4.1.2.38 бензоин альдолаза
- 2-гидрокси-1,2-дифенилэтанон = 2 бензальдегид
Медицинское применение
Применяется в медицине под названием «кокарбоксилаза». Синонимы: Berolase, Bioxilasi, B-Neuran, Cobilasi, Cocarbil, Cocarbosyl, Cocarboxylase, Coenzyme B, Cothiamine, Diphosphothiamin, Pyruvodehydrase и др.
Обычно кокарбоксилаза применяется как компонент комплексной терапии. Вводят её внутримышечно, иногда под кожу или внутривенно.[2]
Кокарбоксилаза уменьшает боли при стенокардии, оказывает антиаритмическое действие, уменьшает ацидоз при диабете.[1] Оказывает регулирующее воздействие на обменные процессы; снижает в организме уровень молочной и пировиноградной кислоты, улучшает усвоение глюкозы; улучшает трофику нервной ткани, способствует нормализации функции сердечно-сосудистой системы.[6]
По биологическому действию кокарбоксилаза отличается от тиамина, так, например, она неэффективна при бери-бери (В1-авитаминозе).[7]
Применяется в следующих случаях:[2][6][7]
- гипергликемическая кома, прекоматозное состояние и ацидоз при сахарном диабете
- ацидоз метаболический, дыхательный при хроническом сердечно-лёгочном синдроме
- дыхательная недостаточность
- нарушение сердечного ритма (экстрасистолия, бигеминия, пароксизмальная тахикардия, мерцательная аритмия)
- недостаточность печени или почек
- недостаточность коронарного кровообращения
- инфаркт миокарда
- легкие формы рассеянного склероза
- преэклампсические состояния
- эклампсия
- отравление алкоголем и хронический алкоголизм
- отравление наперстянкой, барбитуратами и другими метаболитами путём оксидации
- вспомогательно при дифтерите, скарлатине, тифе и паратифах
Для медицинского применения кокарбоксилаза выпускается в виде кокарбоксилазы гидрохлорида (0,05 г) для инъекций (Сocarboxylasi hydrochlridum 0,05 pro injectionibus). Представляет собой лиофилизированную сухую пористую массу белого цвета со слабым специфическим запахом. Препарат гигроскопичен, легко растворим в воде (рН 2,5 % раствора 1,2 — 1,9). Растворы готовят асептически непосредственно перед употреблением.[2]
Примечания
- Кокарбоксилаза — статья из Большой советской энциклопедии (3-е издание)
- Кокарбоксилаза
- Neuberg C., Karezag L. Biochemische Zeitschrift, 1911, 37, 170—176
- Jansen, B.C.P. and Donath, W.F. On the isolation of antiberiberi vitamin. Proc. Kon. Ned. Akad. Wet. 29: 1390—1400 (1926).
- Lohmann, K. and Schuster, P. Untersuchungen über die Cocarboxylase. Biochem. Z., 1937, 294, 188—214.
- HELP med медицинский портал (недоступная ссылка)
- Кокарбоксилаза
