Советы
Сове́ты — избираемые населением на определённый срок коллегиальные представительные органы народной власти в Российской империи (в 1905—1907 годах), в Российской республике, в РСФСР, в СССР, в Российской Федерации (до 4 октября 1993 года) и в других советских республиках.

Возникли как органы руководства стачками, а в дальнейшем и борьбой с правительством, в том числе и вооружённой[1]:129. На первоначальном этапе своего существования являлись классовым органом, призванным выражать интересы пролетариата[2]. По утверждениям составителей энциклопедии Терры советская форма государственного устройства явилась практическим воплощением марксистской теории о построении коммунизма путём установления власти диктатуры пролетариата, отличающейся от господствовавшей в капиталистическом обществе власти буржуазной демократии тем, что непролетарские классы отсекались от управления государством[1]:116.
В государствах и странах с советской системой правления советы формально считались полновластными органами на своей территории, одновременно являясь представительно-законодательными, распорядительными и контрольными органами. Свои полномочия они выполняли непосредственно или через создаваемые ими государственные органы, все административные и судебные органы в государстве или стране были подотчётны соответствующим советам. Советы составляли единую систему представительных органов власти, принципиальная разница между советами низшего и высшего уровней отсутствовала. Советы были связаны наказами избирателей и могли быть отозваны ими в любое время. Нижестоящие советы были подконтрольны вышестоящим. По мнению либералов, депутаты советов работали на непрофессиональной основе. На практике советы обычно исполняли решения правящей партии.
Как показывает профессор М. В. Попов, возможность отзыва депутата в любой момент, а также работа трудящихся в советах в свободное от профессиональной деятельности время (при сокращении рабочего времени до 6 часов и менее) — качественный показатель советов по содержанию[3]. По мнению С. Г. Кара-Мурзы, идейной основой советов был не марксизм, а «народная философия, тип военной, ремесленной и крестьянской демократии доиндустриального общества»[4].
Этимология
Слово «советы» имеет церковнославянское происхождение и впервые встречается в переводе Псалмов: «иже не иде на совет нечестивых» (Пс. 1:1).
В России XVIII века существовали Верховный тайный совет (1726—1730), Императорский совет (1762) и Совет при Высочайшем дворе (1768—1801). В России XIX века при императоре были учреждены Непременный совет (1801—1810), Военный совет Российской империи (1812—1918) и Государственный совет Российской империи (1810—1917). В начале XX века появился Совет министров Российской империи (1905—1917). В постсоветский период термин совет также сохранился в названиях некоторых государственных учреждений (Совет Федерации).
После установления советской власти за в некоторых республиках слово совет использовалось без перевода: пределами России были установлены аналоги Верховного Совета: Вярхоўны Савет в Белоруссии, Ali Soveti в Азербайджане, Олий Совети в Узбекистане, Sovietul Suprem в Молдавии. В других республиках подыскивались аналоги местных традиций представительной власти: Верховная рада на Украине, Шӯрои Олии (ср. Шура-и-Улема) в Таджикистане, Жоғарғы Кеңесі (ср. кенаса) в Казахстане, Жогорку Кенеш в Киргизии, Aukščiausioji Taryba в Литве, Augstākā padome в Латвии, Ülemnõukogu в Эстонии. В Польше аналогом совета был Сейм, а в ГДР Госсовет (Staatsrat).
Словом Совет также переводится английский Council (Совбез ООН), французский Conseil (Совет пятисот) и итальянский Consiglio (Совет министров Италии, ср. консилиум). В арабском языке у слова «совет» есть два эквивалента: меджлис (араб. مجلس: Совет революционного командования Ирака) и шура (араб. شورَى, в Афганистане сторонников советской власти называли шурави).
В период Первой русской революции
8 марта 1905 года в городе Алапаевске был создан первый в России Совет рабочих депутатов. Однако он действовал в пределах предприятия. Более известен Совет уполномоченных, организованный 15 мая 1905 года бастующими рабочими текстильных и ткацких предприятий в Иваново-Вознесенске (ныне Иваново) и действовавший в пределах целого города[5][6][7]. Это был собственно забастовочный комитет, управлявший стачечной борьбой по примеру заводских советов (а также рабочих советов) в Европе. Подробнее см. Иваново-Вознесенские стачки, Иваново-Вознесенский общегородской совет рабочих депутатов.
Осенью 1905 года Советы рабочих, солдатских, железнодорожных, казачьих, матросских, батрацких и крестьянских депутатов организуются трудящимися во многих городах и посёлках. Депутаты избирались по производственному принципу — от коллективов рабочих фабрик, заводов, на сельских сходах и т. д. Возникая как органы для руководства восстанием, с победой восстания над местной властью они начинали действовать как революционная власть. Пропагандистами идеи «власти Советов», как высшей формы демократии, первоначально были Парвус и Л. Д. Троцкий (фактические лидеры Петербургского совета), меньшевики, эсэры-максималисты. Большевики считали их зачаточными, разрозненными, стихийными, а потому бессильными органами революции. Позже В. И. Ленин выдвинул идею советов как форму политической организации трудящихся в борьбе за пролетарскую революцию и диктатуру пролетариата.

Эти органы создавались исключительно революционными слоями населения, они создавались вне всяких законов и норм всецело революционным путём, как продукт самобытного народного творчества, как проявление самодеятельности народа, избавившегося или избавляющегося от старых полицейских пут. Это были, наконец, именно органы власти, несмотря на всю их зачаточность, стихийность, неоформленность, расплывчатость в составе и в функционировании.
— Ленин «Победа кадетов и задачи рабочей партии». 1906 г.
В ходе первой русской революции возникли 62 совета рабочих, солдатских и крестьянских депутатов, 47 из которых возглавлялись большевиками или находились под их влиянием, а ещё 10 возглавляли меньшевики[8]. Во время Декабрьского восстания в Москве, возглавляемый большевиками Московский Совет рабочих депутатов и Советы окраин руководили восстанием рабочих, став революционными органами власти. Советы были ликвидированы правительством после поражения Революции 1905—1907 года, депутаты подверглись преследованию.
В период Февральской революции

Немедленно после восстания в Петрограде было избрано два петроградских Совета — рабочих и солдатских депутатов, которые 1 марта объединились в Петроградский совет рабочих и солдатских депутатов[9], осуществлявший власть в столице наряду с Временным правительством и вопреки ему, а кроме того, пытавшийся брать на себя полномочия всероссийского органа власти[10].
Вслед за тем Советы стали образовываться по всей стране, становясь органами диктатуры пролетариата и беднейшего крестьянства. Исполкомы Советов формируют рабочую милицию. Как правило создавались единые Советы рабочих и солдатских депутатов. Возникали Советы крестьянских депутатов (губернские, уездные, волостные). На фронте функции Советов выполняли солдатские комитеты (полковые, дивизионные, корпусные, армейские, фронтовые и прочие). На Всероссийском совещании Советов в марте-апреле 1917 г. была определена территориальная система Советов: областные, губернские, уездные, районные объединения (съезды) и Всероссийские объединения (съезды, совещания). В марте 1917 в городах и губерниях существовало около 600 Советов рабочих и солдатских депутатов.
На данном этапе развития советской власти нетрудовые классы (буржуазия, интеллигенция, служащие, учащиеся) на практике не имели возможности воспользоваться избирательным правом, хотя формально они не были лишены его, так как выборы в советы проходили не по территориальному, а по производственному принципу[1]:129.
Двоевластие
В марте 1917 года в Петрограде оформляется режим двоевластия: с одной стороны, власть Государственной думы и Временного правительства, с другой — власть Петроградского совета рабочих и солдатских депутатов (Петросовет). Первоначально у руководства Петросовета, большинство которого составляли меньшевики и эсеры, не было намерения создавать в лице Советов альтернативную структуру государственной власти. Противовесом Временному правительству Советы стали стихийно. В. И. Ленин, разглядев в советской системе власти инструмент, с помощью которого возможно полное разрушение буржуазного государства, в силу своего прагматизма, согласился следовать за спонтанным творчеством народных масс, хотя и выступал ранее против этой формы власти. Он выдвинул в «Апрельских тезисах» идею передачи Советам всей полноты власти и лозунг: «Вся власть Советам!», характеризуя систему Советов как новый тип государства. Ленину часто инкриминируют, что после перехода власти государства к советам, следующим этапом борьбы за власть для его партии станет захват и большевизация уже самих советов[11].
Однако меньшевики и эсеры, лидеры в большинстве Советов, расценили лозунг Ленина как экстремистский, будучи уверены в необходимости коалиции с буржуазией и преждевременности социалистических преобразований в России. Позднее советской исторической школой период с февраля по июль характеризовался как «возможность мирного перехода власти к Советам», так как буржуазия реальной силы не имела: даже буржуазную революцию совершили трудящиеся под руководством анархистов и эсеров. Союзники большевиков того времени — эсеры и меньшевики — считали Советы всего лишь способом поддержать новое правительство «снизу», временными общественными организациями с целью «добровольно передать власть буржуазии»[12].
В армии и на флоте Временное правительство опиралось на традиционное командование, Петросовет — на солдатские и матросские комитеты. Власть Государственной думы на местах опиралась на традиционные земства и городские думы, Петросовета — на Советы на местах. Реальная власть Петросовета фактически сосредоточилась в руках его Исполнительного комитета, невыборного органа, поголовно состоявшего из радикальной интеллигенции, представлявшей различные социалистические партии. Историк Ричард Пайпс характеризовал Петросовет как «слоистую структуру»: «сверху — выступающий от имени Совета орган, состоящий из социалистов-интеллигентов, оформленный в Исполнительный комитет, снизу — неуправляемый сельский сход».
В течение марта 1917 г. Исполнительный комитет Петросовета образовал ряд комиссий, параллельных соответствующим министерствам Временного правительства, и фактически превратился в теневое правительство. Были образованы комиссии по железным дорогам, почте и телеграфу, продовольствию, финансам, назначены комиссары в штаб Верховного Главнокомандующего и штабы Командующих фронтами и флотами. Также Исполнительный комитет по своему усмотрению занимался законодательной деятельностью, в частности, выпустив декрет о восьмичасовом рабочем дне.
Основным механизмом режима «двоевластия» стала Контактная Комиссия исполкома Петросовета, образованная 8 (21) марта 1917 года[13], и фактически осуществлявшая контроль Советов над Временным правительством «в целях осведомления Совета о намерениях и действиях Временного правительства, осведомления последнего о требованиях революционного народа, воздействия на правительство для удовлетворения этих требований и непрерывного контроля над их осуществлением». В состав Контактной комиссии входили Чхеидзе Н. С., Скобелев М. И., Стеклов Ю. М., Суханов Н. Н. и Филипповский В. Н.
Весной 1917 г. по инициативе Всероссийского совещания Советов (29 марта (11 апреля) — 3 (16) апреля) была начата подготовка к созыву высшего органа власти Советов — непостоянного Съезда Советов. 3-24 июня в Петрограде прошел I Всероссийский съезд Советов рабочих и солдатских депутатов. В течение 1917 года таких съездов было проведено два, в их отсутствие высшим органом считался ВЦИК в составе 320 человек (из них 123 меньшевика, 119 эсеров, 58 большевиков, 13 объединённых социал-демократов, 7 представителей остальных партий). В период между Февральской революцией и I Съездом Советов, сформировавшим первый состав ЦИК летом 1917 года, высшей властью фактически являлся Исполком Петросовета. Даже после появления ВЦИК, Исполком Петросовета не оставил попыток вмешиваться в решение всероссийских дел, конкурируя таким образом с ВЦИК[10].

К маю 1917 года было сформировано до 50 тыс. солдатских и матросских комитетов разных уровней, в которых состояло до 300 тыс. человек. Значительной революционной силой становится Центральный комитет Балтийского флота (Центробалт) во главе с П. Е. Дыбенко.
В российской промышленности шло стихийное формирование фабрично-заводских комитетов, выдвинувших лозунг рабочего контроля над производством. К июню 1917 года был сформирован Центральный совет фабрично-заводских комитетов, к октябрю 1917 такие комитеты были сформированы в 50 основных промышленных центрах.
В условиях России с её многовековыми сословными традициями Советы разделились на рабочие и солдатские секции, вплоть до 1918 года Съезды крестьянских депутатов проходили отдельно от Съездов рабочих и солдатских депутатов. Нормы представительства были не равными; так, при выборах первого в 1917 году состава Петросовета были приняты нормы: один делегат от тысячи рабочих и один от роты солдат (то есть примерно от ста человек).
На выборах I Съезда Советов крестьянских депутатов Организационным комитетом по созыву съезда была установлена норма: один делегат от 150 тыс. крестьян, в то же время на I Съезде Советов рабочих и солдатских депутатов норма составляла — один делегат от 25 тыс. человек. Фактически, представительство было перекошено, в первую очередь, в пользу солдат, во вторую — в пользу рабочих. Отличались также нормы представительства рабочих крупных (один делегат от тысячи рабочих) и мелких предприятий (один делегат от каждого предприятия), в результате в первых составах Петросовета в 1917 году рабочие крупных заводов, составлявшие 87 % всех рабочих, направили столько же делегатов, сколько и рабочие мелких заводов[14].
В целом система Советов в 1917 году отличалась значительным хаосом: кроме Советов рабочих и солдатских депутатов и Советов крестьянских депутатов на местах могли также существовать Советы военных депутатов, Советы матросских и офицерских депутатов, Советы безземельных крестьян, Советы казачьих депутатов, Советы студенческих депутатов[15], Советы рабочих старост, Советы депутатов трудовой интеллигенции и т. д. По данным исследователя Б. И. Колоницкого, в Прибалтике организовывались «Советы пасторских депутатов»[16]; по другим источникам[каким?], предпринимались даже безуспешные попытки организовать «Совет дворянских депутатов». Нормы представительства при выборах на местах советов уровня волости также назначались хаотично: в Роминской волости избиралось по 3-10 депутатов от селения, в Подбужской — 3 депутата от 1000 избирателей, в Будской — 1 от 200, в Яровщинской — по 5 от селения, Пупповской — по 1 депутату от 10 дворов[17]; как видно, не были унифицированы не только нормы представительства, но даже единицы измерения — в одних случаях это был двор, в других определённое количество жителей, в третьих — деревни в целом. Нормы представительства были унифицированы только большевистской конституцией 1918 года. При всей хаотичности власти Советов общим местом было то, что в Советах не был представлен буржуазный класс («цензовые элементы», «цензовая буржуазия»), составлявший большинство в Госдуме III созыва (см. Избирательная система 1907 года). Следствием этого стало резкое преобладание в Советах представителей социалистов и анархистов.
Сравнивая степень представительности Временного правительства и Советов, историк А. Е. Рабинович писал, что последние были более представительны. В поддержку этого вывода историк приводил следующие аргументы: депутаты IV Думы избирались по нормам, исключавшим, по мнению Рабиновича, участие большинства населения в выборах; Советы представляли собой «низовые демократические организации», которые возникли в городах и сельской местности по всей стране; в мае в столице был созван I Всероссийский съезд крестьянских депутатов, а в июне — I Всероссийский съезд рабочих и солдатских депутатов, которые избрали постоянно действующие органы — Центральный Исполнительный Комитет Советов рабочих и солдатских депутатов (ЦИК) и Исполнительный Комитет Всероссийского Совета крестьянских депутатов (ИВСКД), «которые вместе были более представительны и благодаря поддержке рабочих, крестьян и особенно солдат потенциально более сильны, чем Временное правительство»[18].
Июльское восстание
После поражения июльского восстания, возглавленного большевиками[19], двоевластие закончилось и власть перешла в руки Второго коалиционного правительства, большевики быстро теряли популярность, их влияние в советах резко сократилось. Ввиду этого Шестой съезд РСДРП(б) снял лозунг «Вся власть Советам!», нацелив рабочих на подготовку вооружённого восстания.
После Корниловского выступления
В дни корниловского выступления для защиты революции через попавшие под влияние большевиков Советы происходила организация вооружённых отрядов — «красной гвардии». После подавления выступления Корнилова популярность большевиков резко возросла. Прошедшие в сентябре перевыборы дали большинство во многих Советах большевикам. РСДРП(б) вновь выдвинула лозунг «Вся власть Советам!». При Советах создавались Военно-революционные комитеты.
Накануне Октябрьской революции действовало 1429 Советов рабочих, солдатских и крестьянских депутатов. Среди них 706 представляли собой объединенные Советы рабочих и солдатских депутатов, 235 являлись Советами рабочих, солдатских и крестьянских депутатов, 33 — Советами солдатских депутатов. Все эти 974 Совета составляли всероссийскую организацию, руководимую ЦИК Советов рабочих и солдатских депутатов первого созыва. Остальные 455 были крестьянскими Советами и объединялись Исполнительным комитетом Совета крестьянских депутатов, избранным на I Всероссийском съезде Советов крестьянских депутатов уже после октябрьского вооружённого восстания.
В период Октябрьской революции

После победы вооружённого восстания, 25 октября (7 ноября) 1917 года в Петрограде открылся II Всероссийский съезд Советов рабочих и солдатских депутатов, решением которого власть в стране перешла к Советам рабочих, солдатских и крестьянских депутатов.
|
По мнению А. А. Червен-Водали, российского политика-кадета и министра внутренних дел во Всероссийском правительстве А. В. Колчака, «Советы основывались на насильственном навязывании всему населению воли небольшой его части»[20].
Советы рабочих и солдатских депутатов исполняли функции власти в городе, а Советы крестьянских депутатов — на селе. Высшим органом власти в стране в период между Съездами Советов был Всероссийский центральный исполнительный комитет Советов (ВЦИК). Временным рабочим и крестьянским Правительством являлся Совет народных комиссаров (СНК), избранный II Всероссийским съездом Советов. Все три государственных органа имели законодательные полномочия. 24 ноября 1917 года СНК принял Декрет о праве отзыва, вводивший право избирателей отзывать своих депутатов.
Осенью 1917 года большинство крестьянских Советов находилось под влиянием эсеров, много эсеров было делегировано на Чрезвычайный Всероссийский съезд Советов крестьянских депутатов 10 (23) ноября — 25 ноября (8 декабря) и II Всероссийский съезд Советов крестьянских депутатов 26 ноября (9 декабря) — 10 (23) декабря. Большевиков поддержали левые эсеры, и Съезды признали все декреты Советской власти и необходимость объединения Советов рабочих, солдатских и крестьянских депутатов. Состоялось слияние Центральных исполнительных комитетов Советов крестьянских депутатов и Советов рабочих и солдатских депутатов, а затем слияние в январе 1918 года III Всероссийского съезда Советов крестьянских депутатов с III Всероссийским съездом Советов рабочих и солдатских депутатов. III Всероссийский съезд Советов рабочих, солдатских и крестьянских депутатов стал альтернативой разогнанному Учредительному собранию. Была утверждена Декларация прав трудящегося и эксплуатируемого народа, объявившая Россию Республикой Советов рабочих, солдатских и крестьянских депутатов. К марту 1918 года в основном завершился процесс объединения Советов на местах. Возникла единая система Советов. Местные советы самостоятельно решали местные вопросы, но должны были действовать в соответствии с нормативными актами центральных органов и вышестоящих Советов. 15 (28) января 1918 года был принят Декрет о создании Рабоче-крестьянской Красной армии и Советы стали называться Советами рабочих, крестьянских и красноармейских депутатов (от слова «солдат» в Советской России отказались, как от «контрреволюционного»[1]:129).
По Конституции РСФСР 1918 года

10 июля 1918 года V Всероссийский съезд Советов принял первую Конституцию РСФСР, определившую конструкцию Советской власти. Большевистская конституция унифицировала систему Советов, которая до этого была организована хаотично в силу стихийности своего формирования.
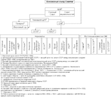
На высшем уровне Советы представлял Всероссийский съезд Советов рабочих, крестьянских, красноармейских и казачьих депутатов — высший орган власти в РСФСР. Таким образом, Съезды Советов рабочих и солдатских депутатов окончательно объединялись со Съездами Советов крестьянских депутатов, в 1917 году проходившими раздельно.
При этом сами выборы в высший орган власти оставались, как и в Российской империи, непрямыми и неравными (дискриминационными)[21]: корпус его депутатов составлялся из представителей городских советов «по расчету 1 депутат на 25.000 избирателей, и представителей губернских Съездов Советов, по расчету 1 депутат на 125.000 жителей»[22]:Ст.25. Таким образом городской пролетариат получал преимущество перед сельским населением, имеющим право голоса. Сделано это было специально в интересах правящей партии большевиков, так как деревенские избиратели имели меньше склонности к большевизму, чем городские избиратели[10]. С другой стороны, подобное неравное представительство возникло ещё в феврале — марте 1917 года.
Всероссийский Съезд созывался Всероссийским Центральным Исполнительным Комитетом Советов (ВЦИК) не реже двух раз в год. Всероссийский Съезд Советов избирал свой постоянный орган — ВЦИК Советов в числе не свыше 200 человек, несущий перед ним ответственность и являвшийся высшим законодательным, распорядительным и контролирующим органом в период между Съездами. ВЦИК Советов образовывал подотчетное правительство — Совет Народных Комиссаров РСФСР.
Разделения властей на законодательную и исполнительную Конституцией не предусматривалось: ст. 41 обязывала Совнарком представлять на «рассмотрение и утверждение» ВЦИК решения, «имеющие крупное общеполитическое значение», с правом «непосредственно» осуществлять мероприятия, требующие «неотложного выполнения». С другой стороны, ст. 33 уполномочивала ВЦИК рассматривать «проекты декретов и иных предложений» СНК и отдельных ведомств, и выпускать собственные декреты.
В советских республиках (Украина, Белоруссия и пр.) во главе системы Советов стояли Республиканские съезды Советов, избиравшие ЦИК республик.
Властью на местах были областные, губернские (окружные), уездные (районные), волостные Съезды Советов, состоявшие из представителей городских и сельских Советов депутатов (Совдепов), избиравшихся населением прямым открытым голосованием на избирательных собраниях. Кандидатские списки или отдельные кандидатуры могли предлагаться общественными, партийными, профессиональными организациями и отдельными гражданами. Съезды Советов и Советы депутатов формировали свои исполнительные органы для текущей работы — исполнительные комитеты (исполкомы). Попытки отдельных местных Советов учредить собственные Совнаркомы и даже «наркоматы иностранных дел» стали незаконными: ст. 48 Конституции устанавливала, что «звание Народного Комиссара принадлежит исключительно членам Совета Народных Комиссаров, ведающего общими делами Российской Социалистической Федеративной Советской Республики, и никаким иным представителям Советской власти, как в центре, так и на местах присвоено быть не может».
Конституция сохранила сложившуюся в 1917 году многоступенчатость выборов. Так, ст. 25 определяла, что Всероссийский Съезд избирается не напрямую, а городскими Советами и губернскими Съездами Советов. В свою очередь, согласно ст. 53 губернские Съезды Советов составлялись из представителей городских Советов и волостных Съездов Советов, а волостные Съезды — из представителей отдельных сельсоветов. Нормы представительства, численность Советов и сроки полномочий депутатов впервые с февраля 1917 года были унифицированы (см. ст. 53, 54, 57 и т. д.)
Правом избирать и быть избранным пользовались независимо от вероисповедания, национальности, оседлости и т. п. все граждане РСФСР обоего пола, достигшие 18 лет (или даже младше — если решение о понижении возрастной нормы примет местный Совет) и добывающие средства к жизни «производительным и общественно полезным трудом, а также лица, занятые домашним хозяйством, обеспечивающим для первых возможность производительного труда»: рабочие, земледельцы, служащие (вышеперечисленные категории — только при условии, что они не пользуются наёмным трудом с целью извлечения прибыли), солдаты и матросы «Советской армии» и все вышеперечисленные категории граждан, если они в какой-то мере лишились своей трудоспособности. Правом избирать и быть избранными наделялись также и иностранцы, проживающие на территории Российской Советской республики и удовлетворяющие вышеперечисленным требованиям — норма невиданная ещё в практике избирательного права[10].
Для осуществления принципа диктатуры пролетариата избирательных прав были лишены лица:
65. Не избирают и не могут быть избранными…:
а) лица, прибегающие к наемному труду с целью извлечения прибыли;
б) лица, живущие на нетрудовой доход, как-то проценты с капитала, доходы с предприятий, поступления с имущества и т. п.;
в) частные торговцы, торговые и коммерческие посредники;
г) монахи и духовные служители церквей и религиозных культов;
д) служащие и агенты бывшей полиции, особого корпуса жандармов и охранных отделений, а также члены царствовавшего в России дома;
е) лица, признанные в установленном порядке душевнобольными или умалишенными, а равно лица, состоящие под опекой:
ж) лица, осужденные за корыстные и порочащие преступления на срок, установленный законом или судебным приговором.
Через четыре дня после принятия конституции ВЦИК аннулировал мандаты небольшевистских депутатов Советов всех уровней[23][24].
В период Гражданской войны
В период Гражданской войны продолжали созываться Всероссийские съезды Советов, осуществлялась дальнейшая организация и развитие системы местных Советов на подконтрольных большевикам территориях. В декабре 1919 года был установлен сессионный порядок работы ВЦИК Советов, сессии созывались каждые два месяца. В декабре 1920 года Президиум ВЦИК, проводивший заседания ВЦИК, наблюдавший за выполнением его постановлений, назначавший наркомов и пр., был наделён законодательными полномочиями.
Органом управления, сосредоточившим всю власть в области обороны, в ноябре 1918 года стал Совет Рабочей и Крестьянской обороны (СРКО), преобразованный в апреле 1920 в Совет Труда и Обороны (СТО) на правах комиссии при СНК. Возникли чрезвычайные органы власти — Революционные комитеты (Ревкомы) для организации обороны, поддержания порядка, проведения мобилизации и прочее. 2 сентября 1918 для осуществления руководства вооруженными силами страны постановлением ВЦИК был образован Революционный военный совет Республики (Реввоенсовет).
На первоначальном этапе в Советах, особенно в сельской местности, существовала многопартийность (был представлен спектр левых партий). Однако уже в то время партия большевиков заявила претензию на монопольное руководство деятельностью Советов через партийные фракции. Не всегда подобные стремления большевистской партии к контролю над Советами осуществлялись демократическим путём. 14 июня 1918 года ВЦИК исключил социал-демократов (меньшевиков) и правых эсеров из советов, мотивируя это решение участием этих партий в вооружённой борьбе против «советской власти» (а на деле против власти большевиков). После разгрома июльского восстания левых эсеров в том же году и запрета их партии, из Советов исключили и их. После этого Советы де-факто превратились в чисто-большевистские органы, которые руководствовались в своих решениях инструкциями ЦК РКП(б)[1]:130. Повсеместно по советской стране большевики разгоняли те Советы, в которых в результате выборов преобладание получали иные партии[10]. К примеру, в Одессе, одном из крупнейших центров советской Украины, большевики при помощи ревкомов изгоняли из советов неугодных им депутатов (избранных, тем не менее, согласно действующей системе выборов), добиваясь таким образом безусловного подчинения Советов местным ячейкам большевистской партии[25][26]. Как было заявлено в постановлении VIII съезда РКП(б), «коммунистическая партия особенно добивается проведения своей программы и своего полного господства в современных государственных организациях, какими являются Советы»[27].
В конце мая и в конце июня 1918 большевики потерпели поражение на выборах в Ижевский совет, после чего разогнали его, и власть в городе перешла сначала к новому исполкому, в котором большинство было у большевиков и их союзников эсеров-максималистов, а затем к Ижевскому военно-революционному штабу, возглавлявшемуся большевиком. Разгон Совета и последовавшие за ним аресты лидеров оппозиционных партий усилили недовольство ижевцев и привели к успеху Ижевско-Воткинское восстание. После победы восстания политическая власть Советов была отменена, но признавалось, что «Советы могут существовать лишь как добровольные классовые организации пролетариата и трудового крестьянства». Восстанавливалась власть органов городского и земского самоуправления на основе всеобщего, прямого, равного и тайного избирательного права.
Вооружённое сопротивление сибирского крестьянства коммунистическому режиму в начале 1920-х годов по своей численности, территории, продолжительности и упорству превосходило антиколчаковское партизанское движение (самым крупным из восстаний было Западно-Сибирское). Основная масса его участников поднялась на борьбу под лозунгом «За советы без коммунистов». Во многих районах повстанцы, уничтожив большевистские ячейки, на практике приступали к созданию беспартийных советов. Если же советы состояли из людей, пользовавшихся доверием местного населения, они не подвергались реорганизации[28].
Во время Кронштадтского восстания восставшие выдвинули лозунги: «Советы — без коммунистов!», «Власть Советам, а не партиям!» и потребовали перевыборов Советов и изгнания из них большевиков. Подавив восстание, большевики ради сохранения власти в своих руках начали проведение Новой экономической политики, нацеленной на удовлетворение требований основной массы населения — крестьянства[29].
По Конституции СССР 1924 года

30 декабря 1922 года был образован Союз Советских Социалистических Республик. В Конституции СССР и Конституциях союзных республик отразились изменения в системе Советов. Съезд Советов СССР стал верховным органом власти, созывался один раз в год, по требованию — созывался чрезвычайный Съезд. Он составлялся из представителей городских Советов и Советов городских поселений — по 1 депутату на 25 тыс. жителей (рабочих) и из представителей губернских съездов Советов — по 1 депутату на 125 тыс. жителей (крестьян).
Для руководства страной в период между Съездами избирался Центральный исполнительный комитет СССР, в свою очередь избиравший Президиум ЦИК СССР из 21 члена. Президиум созывал очередные сессии ЦИК не реже 3 раз в год. ЦИК состоял из двух равноправных палат: Союзного Совета и Совета Национальностей. Съезд Советов СССР избирал Союзный Совет из представителей союзных республик, пропорционально населению каждой, в составе 414 человек. Совет Национальностей образовывался из представителей союзных и автономных республик (по 5 человек от каждой), автономных областей РСФСР (по одному от каждой) и утверждался Съездом Советов СССР.
ЦИК СССР образовывал исполнительный и распорядительный орган — Совет Народных Комиссаров СССР во главе с Председателем СНК СССР.
В союзных и автономных республиках власть осуществляли Съезды Советов. На период между съездами они избирали ЦИКи республик, которые образовывали свои исполнительные органы — СНК республик. Краевые, областные, губернские, окружные, уездные, районные и волостные Съезды Советов, избираемые Советами депутатов городов и селений, избирали свои исполнительные органы — Исполнительные Комитеты и их Президиумы. С изменением административно-территориального деления менялись и советские органы.
Депутаты избирались трудящимися прямым открытым голосованием на избирательных собраниях из кандидатов коммунистов и беспартийных. Устанавливался перечень лиц, лишённых избирательных прав (лишенцев), аналогичный Конституции РСФСР 1918 года. Количество лишённых избирательных прав уменьшалось: в городах в 1923 году — 8,2 %, в 1934 году — 2,4 %.
По Конституции СССР 1936 года

Конституция СССР 1936 года создала новую единую систему органов государственной власти в центре и на местах, преобразовав Советы рабочих, крестьянских, казачьих и красноармейских депутатов в Советы депутатов трудящихся. Это стало следствием диктатуры пролетариата — победы над классами эксплуататоров двух дружественных классов: рабочих и крестьян. Все ограничения избирательных прав были отменены, введены всеобщие, равные и прямые выборы при тайном голосовании во все Советы. Избирательное право предоставлялось гражданам СССР, достигшим 18-летнего возраста, за исключением умалишённых и осуждённых судом с лишением избирательных прав. Кандидаты выставлялись по избирательным округам общественными организациями и обществами трудящихся.
Высшим органом государственной власти в СССР являлся Верховный Совет СССР, избиравшийся на 4 года. Он состоял из двух палат: Совета Союза и Совета Национальностей. Совет Союза избирался гражданами СССР по избирательным округам по норме: 1 депутат на 300 тысяч жителей. Совет Национальностей избирался гражданами СССР по норме: 25 депутатов от союзной республики, 11 от автономной республики, 5 от автономной области и 1 от каждого национального округа. Верховный Совет СССР избирал Президиум Верховного Совета СССР — высший орган власти Союза ССР в период между сессиями Верховного Совета. Также Верховный Совет СССР избирал правительство СССР — Совет Народных Комиссаров СССР (после 1946 г. — Совет Министров СССР), высший исполнительный и распорядительный орган.
Аналогично формировалась система органов власти и управления союзных и автономных республик. Местными органами власти в краях, областях, автономных областях, округах, районах, городах, селах были Советы депутатов трудящихся, избиравшиеся гражданами СССР на 2 года. Исполнительными и распорядительными органами местных Советов являлись Исполнительные Комитеты. Все Советы избирались гражданами по установленной Конституцией и Положением о выборах в Советы норме представительства.

Положение о выборах в Верховный Совет СССР, как и принятая Конституция, не исключали проведения выборов на альтернативной основе. Однако в речах лидеров государства все еще проявлялась озабоченность наличием в стране сил, не полностью контролируемых руководством. К ним относились, в частности, различные религиозные конфессии. Так, А.А. Жданов в своем докладе о подготовке выборов на февральско-мартовском пленуме ЦК ВКП(б) отметил, что, несмотря на активную атеистическую пропаганду, церковь пользуется немалым влиянием в массах. Несмотря на высокие шансы кандидатов от ВКП(б) на победу, докладчик предложил идею о выдвижении в каждом избирательном округе одного кандидата как представителя блока коммунистов и беспартийных. Эту идею поддержал в своей речи И.В. Сталин[30]:
«Выставлять кандидатов от коммунистов отдельно от беспартийных нет необходимости, так как у компартии единственной и главной целью являются интересы всех трудящихся, и поэтому кандидаты от партии и беспартийных будут совпадать, потому что совпадают их интересы».
Есть также точка зрения Юрия Жукова, которая заключается в том, что при разработке проекта Конституции в 1936 году планировалось сделать выборы альтернативными, то есть с несколькими кандидатами при голосовании за каждый депутатский мандат. Он считает, что выборы были безальтернативными до 1989 года из-за боязни партаппарата лишиться монополии на власть[31].
Из пропагандистского издания «СССР: 100 вопросов и ответов», вышедшего в 1983 году (в этой книге были собраны вопросы иностранных читателей)[32].
«Прошу пояснить, почему на выборах в Советы у вас выставляется только один кандидат?»
— Это не требование закона (он не ограничивает числа баллотирующихся кандидатов), а сложившаяся традиция. Отметим, что и в буржуазных государствах от каждой партии в избирательном округе обычно баллотируются не два и не три, а всего лишь один кандидат. Общее количество кандидатов на каждое депутатское место там, как правило, соответствует количеству партий, принимающих участие в выборах. У нас же одна партия — Коммунистическая, и если она выставляет своего кандидата, то тоже одного на место.
На XIX съезде ВКП(б) в 1952 году партийные органы были отграничены от Советской власти, однако быстро вернулись к прямому руководству после смерти И. В. Сталина[33].
После того, как в январе 1957 года было принято постановление ЦК КПСС «Об улучшении деятельности Советов депутатов трудящихся и усилении их связи с массами», на местном уровне была поставлена задача по усилению роли местных Советов в хозяйственном и культурном строительстве, расширении их прав в планировании народного хозяйства, производстве и распределении продукции предприятий местной промышленности, организации жилищно-бытового и дорожного строительства, развитии производства строительных материалов и топлива, а также в решении финансово-бюджетных вопросов. В результате в 1961 году возникла новая форма работы депутатов местных Советов в своих избирательных округах — депутатские группы и депутатские посты, что позволило оперативнее решать вопросы населения[34].
По Конституции СССР 1977 года

В соответствии с Конституцией СССР 1977 года, все Советы народных депутатов (закреплённое в Конституции новое название Советов) избирались на основе всеобщего, равного и прямого избирательного права при тайном голосовании: Верховный Совет СССР и Верховные Советы союзных и автономных республик — на 4 года, местные Советы — на 2 года. Советы образовывали систему, низовым уровнем которой были сельские и поселковые Советы, высшим — Верховный Совет СССР. Советы были обязаны систематически отчитываться перед населением в своей работе.
Верховный Совет СССР был высшим представительным и единственным законодательным органом в СССР. Верховные Советы союзных и автономных республик — высшими органами власти на территории республик. Местные Советы — органами власти на территории административно-территориальных единиц (краев, областей, автономных областей, округов, районов, городов, сёл, станиц, деревень, хуторов, кишлаков, аулов). Полномочия каждого уровня системы местных Советов подробно определялись Указами Президиума Верховного Совета СССР, законами союзных и автономных республик. Указы Президиума Верховного Совета СССР «Об основных правах и об основных обязанностях сельских и поселковых Советов депутатов трудящихся» (1968), «Об основных правах и обязанностях городских и районных в городах Советов депутатов трудящихся» (1971), «Об основных правах и обязанностях районных советов депутатов трудящихся» (1971), Закон СССР о статусе депутатов Советов депутатов трудящихся в СССР (1971).

Верховный Совет избирал Совет Министров СССР, а Советы республик избирали Советы Министров союзных и автономных республик. Местные Советы избирали из числа депутатов Исполнительные Комитеты (Исполкомы) — исполнительные и распорядительные органы Советов, подотчетные им и вышестоящим исполкомам.
Исполкомы созывали Сессии Совета (общее собрание депутатов) не реже 4 раз в год (для областных, краевых и городских Советов городов, имеющих районное деление); для районных, городских (в городах без районного деления), районных в городах, сельских и поселковых Советов — не реже 6 раз в год. На сессиях решались вопросы, отнесённые законом к полномочиям данного Совета. По инициативе депутатов совета и вышестоящих Советов созывались внеочередные Сессии. Решения принимались простым большинством голосов присутствующих депутатов. Советы образовывали отраслевые депутатские комиссии.
Фактическая роль Советов в СССР
По мнению ряда исследователей, Советы всех уровней в СССР не обладали никакой реальной властью и служили лишь декорацией, скрывавшей реальное положение вещей: бесконтрольную власть номенклатуры[35][36][37]. Видный исследователь политической системы СССР М. С. Восленский писал[35]:
Центрами принятия решений являются не Советы, столь щедро перечисленные в Конституции СССР, а органы, которые в ней не названы. Это партийные комитеты разных уровней: от ЦК до райкома КПСС. Они и только они принимали все до единого политические решения любого масштаба в СССР.
По мнению российского историка С. А. Павлюченкова, превращение Советов в идеологическую декорацию централизованной власти фактически началось весной 1918 года в ходе проведения большевиками непопулярных мер военного коммунизма[38]:
В марте — мае Советы Саратовской, Самарской, Симбирской, Астраханской, Вятской, Казанской, Тамбовской и других губерний, где подавляющее большинство делегатов представляли интересы крестьянства, при поддержке большинства рабочих делегатов приняли постановления об отмене старых твёрдых цен на хлеб и фактически восстановили свободную торговлю. Это был бунт против экономической политики большевиков. Реакция из Москвы последовала в виде известного декрета от 13 мая о введении продовольственной диктатуры и особенно декрета ВЦИК и СНК от 27 мая о реорганизации Наркомпрода и местных продовольственных органов. Последним устанавливалось подчинение всех губернских и уездных продовольственных органов не местным Советам, а непосредственно наркому продовольствия, который также получал право в случае необходимости отменять постановления Совдепов и входить во ВЦИК с предложением о предании их суду.
Тем самым был сделан первый шаг по упразднению советской власти на местах и концентрации властных функций в Центре. Вскоре по пути, проложенному Наркомпродом, двинулись ВСНХ, военное и другие ведомства, установившие свою вертикальную систему подчинения и ограничившие роль органов советской власти до минимума.
Оппоненты большевиков назвали декрет 27 мая «банкротством идеи Советов». При обсуждении его проекта во ВЦИКе меньшевик Абрамович произнёс пророческие слова о тех, кто отправился в великий поход за свободой и справедливостью, но пришёл к изначальной точке:
«Вам (большевикам) приходится возвращаться к старой, испытанной бюрократизации, вам приходится передать всю страну в руки центральной бюрократии, то есть, другими словами, вы доказываете этим новым проектом только то, что Россия сейчас не способна управляться методом обыкновенной человеческой демократии, что она не способна управляться путём вашей советской демократии и что, следовательно, она и может управляться только как встарь, бюрократическим аппаратом».
В 1989—1991 гг


В 1986 году было принято Постановление ЦК КПСС «О дальнейшем совершенствовании партийного руководства Советами народных депутатов». В нем указывалось на «необходимость проведения курса на повышение самостоятельности, активности и инициативы Советов, на избавление представительных органов от мелочной опеки партийных органов, на недопустимость принятия решений, входящих в компетенцию Советов партийными комитетами, на создание условий для более полной реализации демократических принципов деятельности Советов». Согласно постановлению ЦК КПСС «О проведении выборов в местные Советы народных депутатов, народных судей и народных заседателей районных (городских) народных судов» от 17 февраля 1987 года предполагалось выcтавлять нескольких кандидатов по одному округу, рекомендовалось отказаться от практики обязательного избрания депутатами Совета работников исполкома, а также тех, кто был депутатом более двух- трех сроков подряд. В ходе проводимого в 1987 году эксперимента по многомандатным округам в местные Советы должны были избрать 94 тысячи депутатов, при этом кандидатов было выдвинуто 120 тысяч. Этот эксперимент касался только 5 % Советов СССР, но был очень важен для создания прецедента альтернативных выборов.
26 марта 1989 г. состоялись первые выборы народных депутатов СССР на альтернативной основе, а 28 мая начал свою работу I Съезд народных депутатов СССР, ставший катализатором политического самосознания всего населения СССР благодаря прямой трансляции его работы по телевидению. В результате проведения альтернативных выборов в 1990 году значительно обновился состав местных Советов, возросла активность их депутатов. Поскольку они состояли из нескольких сотен избранников (250—300 депутатов в областных и краевых советах, 400 — в Ленсовете, 500 — в Моссовете), а традиция фракционности ещё не была выработана, то когда каждый желающий стал получать слово для выступления, прежде короткие и хорошо отрепетированные сессии Советов превратились в нескончаемые дебаты и митинги[39].
Б. Л. Вишневский вспоминал[39]:
Народные избранники впервые прошли через альтернативные выборы, которые вспоминают до сих пор как самые свободные и честные за все времена. Но могли ли люди, имевшие разные политические взгляды, разное представление о том, как надо действовать, и в большинстве своем весьма слабо представляющие систему управления городом, в одночасье организоваться и взять власть в свои руки? У них не было опыта коллегиального вырабатывания решений, и позаимствовать его было не у кого, потому что все их предшественники послушно голосовали за то решение, которое им спускали из обкома КПСС…
У населения находили безошибочный отклик демагогические призывы к депутатам «заниматься конкретными делами», а не просиживать штаны на сессиях. Хорошо помню, как ринулись мои коллеги-депутаты «заниматься конкретными делами» под аплодисменты работников исполкомов, получавших конкретную зарплату за то, чтобы данные вопросы решались.
Система Советов в России после распада СССР (1991—1993)

После Августовского путча 1991 года исполнительно-распорядительные органы Советов — исполкомы, были заменены администрациями, председателей исполкомов заменили главами администраций, причём главы областных администраций назначались на должность Президентом РСФСР. К концу 1991 года президиумы Советов были повсеместно упразднены, советы народных депутатов были разделены на малые и большие советы. Происходило усиление исполнительной ветви власти и повсеместное оттеснение Советов на второй план. Осенью 1993 года в ходе политического кризиса система Советов была ликвидирована президентом Б. Н. Ельциным, сначала разогнан Съезд народных депутатов и Верховный Совет, затем распущены Советы всех уровней[40].
После роспуска Советов в России с 1993 года начали создаваться новые представительные органы на местах: муниципальные и региональные законодательные собрания, часто именуемые думами.

Вместе с тем многие представительные органы муниципальных образований и некоторых регионов России сохранили в названии термин «Совет», например: Совет депутатов N -ского городского округа, Совет депутатов N -ского муниципального округа (района). Этот же термин используется в названии верхней палаты Федерального Собрания — «Совет Федерации».
Отличия Советов в СССР от классических парламентов

- Принцип «императивного мандата». Наказы — поручения избирателей своим депутатам, принимавшиеся открытым голосованием избирателей на встрече с кандидатом и исполнявшиеся Советами. Регулярные отчеты депутатов перед избирателями и право избирателей досрочно отзывать депутатов, не оправдавших доверия.
- Принцип «работающих корпораций». Советы являлись одновременно законодательными и исполнительными органами власти. Право формировать подотчетные исполнительные комитеты, самостоятельно решать любой вопрос, относящийся к ведению исполнительного органа, исполнять свои решения. Отрицание доктрины разделения властей.
- Принцип «непостоянной непрофессиональной основы». В состав Советов входят граждане, непосредственно занятые на производстве, то есть исполняющие общественные и государственные обязанности наряду со своей производственной деятельностью. Статус депутата не является профессией. Выборным должностным лицам, оторванным от производства, назначается зарплата не больше средней зарплаты рабочего.
- Принцип «демократического централизма». Сочетание демократических принципов выборности, сменяемости, подотчётности, инициативы, самоуправления, гласности и свободы критики с централизацией и дисциплиной — руководством из единого центра, учётом мнения меньшинства при выработке решения и безусловным подчинением меньшинства большинству после принятия решения, обязательность решений вышестоящих органов для нижестоящих.
- Принцип «общественной организации». Вокруг Советов группируются общественные организации и инициативные группы населения (домкомы, женсоветы и пр.), на которые Советы опираются в работе и откуда получают пополнение.
- Принцип развития народовластия. Движение Советов к неполитической демократии — форме общественного самоуправления при коммунизме.
- Принцип «диктатуры пролетариата» (до 1977 года). Классовый принцип формирования. До 1936 года классовые ограничения на участие в Советах и их выборах. Сталинская Конституция СССР 1936 года утвердила «власть трудового народа» с отменой ограничений. Конституция СССР 1977 года провозгласила «общенародность государства» и выполнение задач данного принципа.
- Принцип многоступенчатого формирования (до 1936 года). Советы вышестоящего уровня избирались не населением, а нижестоящими Советами. Отменен Сталинской Конституцией СССР 1936 года.
- Руководящая роль коммунистической партии. С 1918 (юридически с 1977) до 1989 года Советами в РСФСР-СССР фактически руководила коммунистическая партия, всё больше опираясь на класс советской бюрократии, так называемую партийную «номенклатуру»[41][42].
В зарубежных странах
В ходе революций в Западной Европе, трудящиеся Венгрии, Германии, Австрии, Чехословакии стали создавать организации по типу Советов, не копируя их точно. В 1930—1931 «Нгеан-Хатиньские советы» существовали во вьетнамских провинциях Французского Индокитая. В 1927—1937 Советы («Сувэйай») существовали в Китае. В итоге Советы пролетарской диктатуры заменялись представительными органами народной демократии.
См. также
Примечания
- Революция и гражданская война в России: 1917—1923 гг. Энциклопедия в 4 т. — М.: Терра, 2008. — Т. 4. — 560 с. — (Бол. энциклопедия). — 100 000 экз. — ISBN 978-5-273-00564-8.
- Мандель, Д. Революция, контрреволюция и рабочий класс России. Размышления в связи с 80-летием Октябрьской революции // Страницы истории : журнал. — 1998. — № 7—8. — С. 140.
- Лекции Фонда рабочей академии
- Кара-Мурза, С. Г. Советская власть / Советская цивилизация. — Т. I.
- Экземплярский П. М., История города Иванова, ч. 1, Иваново, 1958.
- История России с 1917 до 1945 гг. / Боброва С. П., Богородская О. Е., Будник Г. А., Королева Т. В., Сироткин А. С.; под общей ред. Будник Г. А. — Ив. : Иван. гос. ун-т, 2008.
- Балдин К. Е., Семененко А. М. Иваново-Вознесенск. Из прошлого в будущее / рец. Иванов Ю. А.. — Ив. : Издатель Епишева О. В., 2011. — С. 57-62. — 248 с.
- Первая русская революция 1905—1907 гг. и международное революционное движение, ч. I. — М., Госполитиздат, 1955. — с. 130.
- Кулегин А. М. Петроградский Совет рабочих и солдатских депутатов. Историко-культурный интернет-портал «Энциклопедия Санкт-Петербурга». Фонд имени Д. С. Лихачева. Дата обращения: 29 августа 2011.
- Оберучев, К. М. Советы и Советская власть в России.. — Нью-Йорк: Народоправство, 1919.
- Каррер д'Анкосс Э. Николай II: расстрелянная преемственность = Nicolas II, La Transition interrompue. Une Biographie Politique. — 1-е. — М.: ОЛМА-ПРЕСС Образование, 2006. — С. 346. — 446 с. — 1500 экз. — ISBN 5-373-00138-4.
- Кара-Мурза, С. Г. Глава 2. Государство и право после Февральской революции 1917 г.. История советского государства и права. Дата обращения: 29 августа 2011.
- Контактная комиссия // Большая советская энциклопедия : [в 30 т.] / гл. ред. А. М. Прохоров. — 3-е изд. — М. : Советская энциклопедия, 1969—1978.
- Под ред. Е. М. Жукова. Советы // Советская историческая энциклопедия. — М.: Советская энциклопедия. — 1973—1982.
- Пушкарёв С. Г. Воспоминания историка 1905 — 1945. — Посев, 1999. — 112 с. — (Библиотечка россиеведения №3. Журнал «Посев», специальный выпуск за 1999 г.).
- Колоницкий Б. И.Красные против красных // Нева. 2010. № 11.
- Глава V. Избирательное право // Чистяков О. И. Конституция РСФСР 1918 года. — 2-е, перераб.. — М.: ИКД «Зерцало-М», 2003.
- Предисловие // Рабинович А. Е. Большевики приходят к власти: Революция 1917 года в Петрограде.: Пер. с англ./ Общ. ред. и послесл. Г. З. Иоффе. — М.: Прогресс, 1989. — 416 с.
- Рабинович, А. Е. Кровавые дни. Июльское восстание 1917 года в Петрограде = Prelude to Revolution. The Petrograd Bolsheviks and July 1917 Uprising. — 1-е. — Москва: Республика, 1992. — 276 p. — ISBN 5250015255.
- Цветков В. Ж. Белое дело в России. 1919 г. (формирование и эволюция политических структур Белого движения в России). — М.: Посев, 2009. — С. 475. — 636 с. — 250 экз. — ISBN 978-5-85824-184-3.
- Кара-Мурза, С. Г. Глава 3. Создание Советского государства и права в первый период после Великой Октябрьской Социалистической революции (От Октября до окончания Гражданской войны) // История советского государства и права. — М.: Былина, 1998.
- Текст Конституции РСФСР 1918 года в «Викитеке»
- Декреты Советской власти. Том II. 17 марта – 10 июля 1918 г. М.: Гос. издат-во политической литературы, 1959.. Электронная библиотека исторического факультета МГУ. www.hist.msu.ru. Дата обращения: 4 декабря 2017.
- «40 лет брежневской конституции», BBC, 7.10.2017
- Малахов В. П., Степаненко Б. А. Одесса, 1920-1965:Люди…События…Факты. — 1-е. — Одесса: Наука и техника, 2008. — С. 19. — 504 с. — ISBN 978-966-8335-81-5.
- Файтельберг-Бланк В.Р., Савченко В.А. Одесса в эпоху войн и революций. 1914-1920. — 1-е. — Одесса: Оптимум, 2008. — С. 167, 282. — 336 с. — ISBN 978-966-344-247-1.
- Резолюции и постановления VIII съезда РКП(б) — 18-23 марта 1919 г. // КПСС в резолюциях и решениях съездов, конференций и Пленумов ЦК (1898-1986) / Под общей редакцией А. Г. Егорова и К. М. Боголюбова. — 9-e изд. — М.: Политиздат, 1983. — Т. 2. — С. 108.
- Шишкин В. И. Вооруженное сопротивление сибирского крестьянства коммунистическому режиму в начале 1920-х годов // История сталинизма: крестьянство и власть. Материалы международной научной конференции (Екатеринбург, 29 сентября—2 октября 2010 г.). М.: РОССПЭН, 2011. С. 129—142.
- Кронштадтский мятеж
- А.А. Макарцев, Э.С. Юсубов. Выборы в верховный совет СССР 1937 года как этап формирования отечественного избирательного права и процесса (на материалах Западно-Сибирского края) // Гражданин. Выборы. Власть. — 2018. — № 4. — С. 54 - 55. — ISSN 2587–6449.
- Жуков Ю. Н. Иной Сталин. — М.: Вагриус, 2005. — 512 с. — ISBN 5-9697-0043-6.
- СССР: 100 вопросов и ответов
- Мухин Ю. И. Убийство Сталина и Берия: Научно-историческое расследование. — М.: Крымский мост, 2002. — 731 с. — ISBN 5-89747-040-5
- Сизов С. Г. Омск в годы «оттепели»: жизнь города в контексте эпохи (март 1953—1964 гг.). — Омск: Изд-во СибАДИ, 2003. — С. 20. — ISBN 5-93204-126-9
- Восленский М. С. Номенклатура. Господствующий класс Советского Союза. 1990. Главы 1,3-5,9.
- Джилас, Милован. Новый класс. 1957.
- Авторханов А. Происхождение партократии. Т.1. ЦК и Ленин. Т.2. ЦК и Сталин. Франкфурт-на-Майне, 1973.
- Павлюченков С. А. Крестьянский Брест, или предыстория большевистского НЭПа.
- Власть и общество в системе Советов народных депутатов в 1977—1993 годах — ГЛАВА III
- Октябрьское восстание 1993 года
- Данилов В. П. Актуальность исследования советской бюрократии как нового класса // Куда идёт Россия?.. Социальная трансформация постсоветского пространства. Вып. III. Материалы международного симпозиума (12—14 января 1996 г.). М., 1996. С. 484—487.
- Гусев А. Неопознанный класс: Лев Троцкий о советской бюрократии // Альтернативы. 1998. № 2. С. 148—162.
Литература
- Владимир Ильич Ленин, Что такое Советская власть?
- Оберучев, К. М. Советы и Советская власть в России. — Нью-Йорк: Народоправство, 1919.
- Попов М. В., Казеннов А. С. Советы как форма власти. — СПб.: Изд-во Политехн. ун-та. 2013. — 129 с.
- Советы // Научный коммунизм: Словарь / Александров В. В., Амвросов А. А., Ануфриев Е. А. и др.; Под ред. А. М. Румянцева. — 4‑е изд., доп. — М.: Политиздат, 1983. — 352 с.
- Стрекалов И. Н. Народная тайна русской революции. Советы. 1905—1917 гг. М., Родина, 2020. — 478 с.

