Реакция Саретта
Реакция Саретта — реакция окисления спиртов комплексом пиридина с триоксидом хрома органических соединений, содержащих активированную метиленовую группу. Впервые предложена в 1953 г.
Механизм реакции
Комплекс C5H5N•CrO3 (реагент Саретта) был использован для окисления непредельных спиртов (гераниола, нерола, цитронеллола, коричного спирта, холестерина и др.) в соответствующие карбонильные соединения с высоким выходом. При этом кратные C-C связи не затрагиваются. В то же время в отсутствие пиридина триоксид хрома окисляет двойные связи непредельных спиртов с образованием оксиранов.
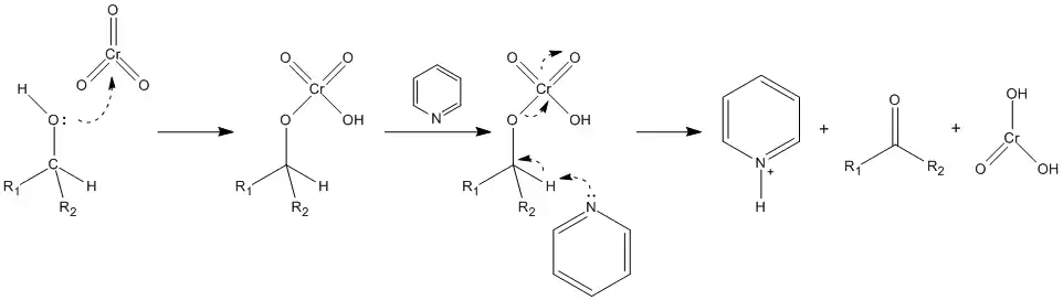
Механизм реакции Саретта:

Литература
- Дж. Дж. Ли. Именные реакции. Механизмы органических реакций = Jie Jack Lee - Name Reacions. — М.: БИНОМ. Лаборатория знаний, 2006. — 456 с. — 2000 экз. — ISBN 5-94774-368-X.
- Баданян Ш.О., Минасян Т.Т., Вардапетян С.К. Реакции непредельных систем с шестивалентным хромом // Успехи химии : журнал. — Российская академия наук, 1987. — Т. 56, № 8. — С. 1296—1323.
This article is issued from Wikipedia. The text is licensed under Creative Commons - Attribution - Sharealike. Additional terms may apply for the media files.