Нерол
Нерол — спирт, представитель терпеноидов, родственный мирцену. Является цис-изомером гераниола.
| Нерол | |||
|---|---|---|---|
| |||
| Общие | |||
| Хим. формула | C10H18O | ||
| Физические свойства | |||
| Молярная масса | 154,24 г/моль | ||
| Плотность | 0,8796 г/см³ | ||
| Термические свойства | |||
| Температура | |||
| • кипения | 229-230 °C | ||
| • вспышки | 93 °C | ||
| Оптические свойства | |||
| Показатель преломления | 1,4746 | ||
| Классификация | |||
| Рег. номер CAS | 106-25-2 | ||
| PubChem | 643820 | ||
| Рег. номер EINECS | 203-378-7 | ||
| SMILES | |||
| InChI | |||
| ChEBI | 29452 | ||
| ChemSpider | 558917 | ||
| Безопасность | |||
| ЛД50 | >4500 мг/кг | ||
| Приведены данные для стандартных условий (25 °C, 100 кПа), если не указано иное. | |||
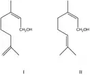
Нерол C10H18O состоит из двух форм:
- I — α-форма: α-(цис-3,7-диметил-2,7-октадиен-1-ол)
- II — β-форма: β-(цис-3,7-диметил-2,6-октадиен-1-ол)
Свойства
Бесцветная жидкость с нежным запахом розы. Растворяется в этаноле, малорастворим в воде. Пороговая концентрация в атмосфере 1,45⋅10−9 г/л
Химические свойства обусловлены наличием двойной связи и первичной спиртовой группы и не отличаются от свойств аналогичных соединений (алкенов и первичных спиртов).
Нахождение в природе
Нерол содержится в неролиевом, розовом, бергамотном, иланг-иланговом эфирных маслах.
Способы получения
Нерол в основном получают из эфирных масел, а также химическим способом:
- изомеризацией гераниола в присутствии щелочи или триизопропилалюминия
- селективным гидрированием цитраля
- изомеризацией линалоола в присутствии ванадиевых катализаторов
- стереоселективной теломеризацией изопрена в присутствии металлоорганических соединений (например, бутиллития). Синтез проходдит в 4 стадии: 1) получение N,N-диэтилнериламина реакцией изопрена с диэтиламином в присутствии бутиллития; 2) замена диэтиламиногруппы на хлор (получение нерилхлорида) действием этилового эфира хлормуравьиной кислоты; 3) нуклеофильный обмен хлора на ацетокси-группу - получение уксуснокислого эфира нерола действием ацетата калия в присутствии 18-крауна-6; 4) омыление нерилацетата спиртовой щёлочью. Такой способ синтеза интересен тем, что на первой стадии связывание остатков изопрена происходит аналогично биогенезу изопреноидов.
От гераниола отделяется обработкой хлоридом кальция, с которым только гераниол образует кристаллическое соединение.
Применение
Нерол принадлежит к душистым веществам, используется для составления парфюмерных композиций, ароматизации мыла и моющих средств. Используется также в синтезе других душистых веществ (цитраля, сложных эфиров).
Литература
- Абляционные материалы-Дарзана //Химическая энциклопедия в 5 томах. — М.: Большая Российская Энциклопедия, 1988. — Т.1. — 623с.
- Племенков, В. В. Введение в химию природных соединений. — Казань: 2001. — 376 с.
- Титце Л., Айхер Т. Препаративная органическая химия. — М.: «Мир», 1999. — С. 236—239. — ISBN 5-03-002940-0.

