Реакция Вильсмейера — Хаака
Реакция Вильсмейера — Хаака — реакция, используемая для введения альдегидной группы -CHO в ароматическое кольцо, активированное диалкиламино-, гидрокси- или алкоксигруппой. Была открыта в 1927 году Антоном Вильсмейером и Альбрехтом Хааком[1][2][3].
Общая информация
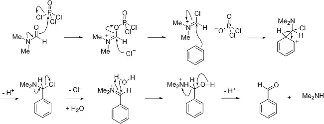
Представляет собой химическое взаимодействие замещённого амида (1) с оксихлоридом фосфора и ареном (3) для получения ароматического альдегида или кетона (5). Промежуточный продукт — хлориминиевая соль (также называемая реагентом Вильсмейера) при необходимости может быть выделена в индивидуальном виде, например, при взаимодействии диметилформамида с фосгеном. Однако обычно её не выделяют и используют непосредственно после образования. N-Алкиламиды муравьиной кислоты -диметилформамид и N-метилформамид — в присутствии хлорокиси фосфора являются превосходными региоселективными формилирующими агентами. С помощью этих реагентов альдегидная группа вводится в пара-положение по отношению к активирующей группе. Эту реакцию можно также рассматривать как ацилирование, где роль катализатора (кислоты Льюиса) выполняют хлорокись фосфора POCl3, тионилхлорид SOCl2, фосген COCl2. Наиболее эффективна система ДМФА—POCl3, в которой ДМФА служит и реагентом, и растворителем. Электрофильным агентом в реакции Вильсмейера — Хаака является иминиевая соль[4].

Механизм
При реакции амида с оксихлоридом фосфора образуется электрофил — катион иминия. Последующее электрофильное ароматическое замещения приводит к иону иминия (промежуточное соединение), который подвергается гидролизу с получением целевого ароматического кетона или альдегида[5].

Применение
Реакция Вильсмейера — Хаака проста в экспериментальном отношении и обеспечивает очень высокие выходы ароматических альдегидов, содержащих NR2-, OR- и ОН-группы. Она оказывается практически ценной при формилировании конденсированных ароматических углеводородов — антрацена, азулена, пирена и др., а также разнообразных гетероциклических соединений ряда фурана, тиофена, пиррола, индола[4].
Примечания
- Vilsmeier A., Haack A. Über die Einwirkung von Halogenphosphor auf Alkyl-formanilide. Eine neue Methode zur Darstellung sekundärer und tertiärer p-Alkylamino-benzaldehyde (нем.) // Chemische Berichte. — 1927. — Bd. 60, Nr. 1. — S. 119-122. — doi:10.1002/cber.19270600118.
- Campaigne E., Archer W. L. Formylation of dimethylaniline (англ.) // Org. Syn.. — 1953. — No. 33. — P. 27.
- Meth-Cohn O., Stanforth S. P. Comp. (англ.) // Org. Syn.. — 1991. — No. 2. — P. 777–794.
- Курц А Л., Ливанцов М.В., Ливанцова Л.И. 3.5.6б. Реакция Вильсмейера — Хаака. Дата обращения: 27 июня 2013.
- Jones, G.; Stanforth. (англ.) // Organic Reactions. — 2000. — No. 56. — P. 355. — doi:10.1002/0471264180.or056.02.