Реакция Раймера — Тимана
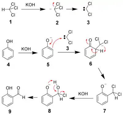
Реакция Раймера — Тимана — реакция орто-формилирования фенолов. Была открыта во второй половине XIX века[1]. Относится к классу реакций электрофильного замещения. В классическом варианте реакции в ней принимают участие фенол, хлороформ и основание, ключевым интермедиатом реакции является нейтральный дихлоркарбен, образующийся при элиминировании хлороводорода из хлороформа. Реакция Раймера — Тимана используется, в частности, для получения салицилового альдегида. В реакцию могут вступать многие производные бензола с электродонорными заместителями, однако наибольшие выходы достигаются именно в случае фенолов.

Механизм
При взаимодействии хлороформа (1) с сильным основанием образуется карбанион (2), который претерпевает быстрое альфа-элиминирование с образованием дихлоркарбена (3). Дихлоркарбен взаимодействует с орто положением фенолят-иона (5) с образованием дихлорметилзамещенного фенола (7). После щелочного гидролиза и соответствующей таутомеризации образуется продукт орто-формилирования (9).

Примечания
- Reimer, K.; Tiemann, F. {{{заглавие}}} (неопр.) // Ber.. — 1876. — Т. 9. — С. 824 & 1268 & 1285.
Литература
- Агрономов А.Е. Избранные главы органической химии. — 2-е. — Москва: Химия, 1990. — С. 395-396. — 560 с. — ISBN 5-7245-0387-5.