Реакции радикального замещения
Реакции радикального замещения (англ. substitution radical reaction) — реакции замещения, в которых атаку осуществляют свободные радикалы — частицы, содержащие один или несколько неспаренных электронов.
Реакции радикального замещения обозначают SR.
Механизм радикального замещения

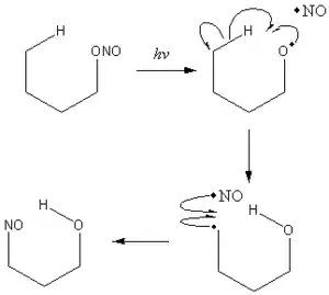
1. Первая (2,3) — инициирование цепи. Она может начаться спонтанно, фотохимически, электрохимически, посредством нагревания или путём химического иницирования[1].
2. Вторая стадия (4,5) — развитие цепи. На этой стадии радикалы реагируют с молекулами, образуя продукты реакции и новые радикалы.
3. Третья стадия (6,7) — обрыв цепи или рекомбинация свободных радикалов.
Реакции радикального замещения ускоряются в условиях генерирования свободных радикалов и замедляются в присутствии веществ, улавливающих свободные радикалы.
Типовые реакции радикального замещения
Радикальное галогенирование
Инициация галогенирования, обычно, происходит под действием облучения:
Развитие цепи:
Обрыв цепи:
Примечания
- Mарч Дж. Органическая химия, пер. с англ., т. 2, — M.: Мир, 1988
- Сайкс П. Механизмы реакций в органической химии, 4-е изд. / Пер. с англ.,под редакцией В.Ф.Травеня — M.: Химия, 1991 — ISBN 5-7245-0191-0

