Пропанил
Пропанил — широко используемый контактный гербицид. Согласно оценкам им опрыскивается около 400 000 гектаров риса каждый год[3]. Был разработан фирмой Rohm and Haas и появился на рынке в 1962 году[4].
| Пропанил | |
|---|---|
![]() | |
| Общие | |
| Систематическое наименование |
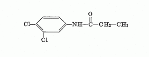
N-(3,4-дихлорфенил)пропанамид |
| Сокращения | ДХПА |
| Хим. формула | C9H9Cl2NO |
| Физические свойства | |
| Состояние | твёрдое вещества коричневого цвета с характерным запахом[1] |
| Молярная масса | 218,18 г/моль |
| Плотность | 1,41 г/см³ |
| Термические свойства | |
| Температура | |
| • плавления | 91–93 °C |
| • кипения | 351 °C |
| Давление пара | 0,0193 мПа |
| Химические свойства | |
| Растворимость | |
| • в этаноле и хлорбензоле[2] | очень плохо растворим (0,13 г·л−1 bei 20 °C)[1] |
| Классификация | |
| Рег. номер CAS | 709-98-8 |
| PubChem | 4933 |
| Рег. номер EINECS | 211-914-6 |
| SMILES | |
| InChI | |
| ChEBI | 34936 |
| ChemSpider | 4764 |
| Безопасность | |
| ЛД50 |
1384 мг·кг−1 (крыса, орально)
|
| Фразы риска (R) | R22, R50 |
| Фразы безопасности (S) | (S2), S22, S61 |
| Краткие характер. опасности (H) |
H302, H400 |
| Меры предостор. (P) |
P273 |
| Пиктограммы СГС |
|
| Приведены данные для стандартных условий (25 °C, 100 кПа), если не указано иное. | |
Механизм
Принцип действия пропанила основан на подавлении фотосинтеза и фиксации CО2. Пропанил ингибирует перенос электронов в фотосистеме II, что тормозит дальнейшее развитие сорняков и приводит к их смерти[5].
Рис относительно устойчивы к действию пропанила, но большинство сорняков чувствительны к нему. Причина избирательности заключается в том, что рис содержит высокий уровень фермента арилациламидазы, который быстро превращает пропанил в относительности нетоксиченый 3,4-дихлоранилин. Сорняки лишены гена, кодирующего арилациламидазу поддаваться propanil. Однако интенсивное использование propanil и естественный отбор привели к тому, что некоторые сорняки становятся устойчивыми к действию этого гербицида[6].
Синтез
Пропанил изготавливается в заводских условиях путем нитрования 1,2-дихлорбензола (1), с получением 1,2-дихлор-4-нитробензола (2) и последующим гидрированием нитро группы в присутствии никелевого катализатора с образованием 3,4-дихлоранилина (3). Ацилирование аминогруппы пропиониилхлоридом даёт пропанил(4)[7]. Полученный продукт представляет собой белые или коричневые кристаллы[8].

Патентные споры
Пропанил стал предметом нескольких патентных исков о нарушении авторских прав. В одном из таких дел, Monsanto company против rohm and haas co[9], апелляционный суд Соединенных Штатов для третьего округа постановил, что компания «Монсанто» совершил мошенничество по отношению к патентному ведомству в патентовании пропанила.

Монсанто получили патент предоставив в патентное ведомство данные, что пропанил «показал необычную и ценную гербицидную активность» и что эта активность была «удивительна», потому что «родственные соединения обладают небольшим или никаким эффективность гербицидного». Монсанто провела ряд тестовых данных, представленных в патентное ведомство, из которых следовало, что пропанил превосходил других подобные химическик вещества, в том числе и прямой гомолог, который отличался от пропанила на один метильный фрагмент (фото вверху справа).
Но Монсанто скрыли сведения о результатах тех тестов, которые показали, что другие подобные соединения также проявляют гербицидную активность аналогичную пропанилу. Суд постановил, что это равносильно искажению и Монсанто не имеет права на патент, так что патент был признан недействительным или не имеющим законной силы. В более раннем иске, однако, судья принял аргумент о том, что Монсанто «не сделала ничего больше, чем выставили свою лучшую ногу вперед»[10].
Примечания
- Record of CAS RN 709-98-8 in the GESTIS Substance Database of the IFA
- Poisons Information Monograph (PIM) für Propanil, abgerufen am 9. Dezember 2014.
- Management of Propanil Resistant Sedges, UC Rice Blog (June 19, 2014).
- Robert E. Hoagland, J. K. Norsworthy, F. Carey, R. E. Talbert. PDF Metabolically based resistance to the herbicide propanil in Echinochloa species (англ.). — Weed Science, 2004. — Vol. 52. — P. 475—486. — doi:10.1614/WS-03-039R.
- Irina V. Ustyugova, Propanil (3,4-DCPA)-induced alterations of macrophage function 2-3 (Ph.D. thesis 2007).
- Herbicide Resistance and World Grains 215-16 (Stephen B. Powles & Dale L Shaner eds. 2001).
- Wyatt, Stuart Warren, Paul. Organic synthesis : the disconnection approach (англ.). — 2nd. — Oxford: Wiley-Blackwell, 2008. — P. 25. — ISBN 978-0-470-71236-8.
- Propanil in PubChem Open Chemistry Database.
- 456 °F.2d 592 (3d Cir. 1972).
- See 456 °F.2d at 597 n.4.
Ссылки
- Пропанил in the Pesticide Properties DataBase (PPDB)

