Первичный нуклеосинтез
Первичный нуклеосинтез — совокупность процессов, которые привели к образованию химического состава вещества во Вселенной до появления первых звёзд.

К началу первичного нуклеосинтеза, через 3 минуты после Большого взрыва, соотношение нейтронов и протонов составляло 1 к 7. Через 20 минут после Большого взрыва первичный нуклеосинтез завершился: в барионной массе Вселенной стали доминировать водород (75% массы) и гелий (25% массы). В меньшем количестве образовались дейтерий, гелий-3 и литий-7, другие же элементы сформировались в незначительном количестве. Наблюдаемое содержание различных элементов достаточно хорошо сходится с теоретически предсказанным, за исключением содержания лития-7. Несмотря на это исключение, считается, что реальная распространённость химических элементов хорошо описывается существующей теорией и свидетельствует о правильности современных представлений о Большом взрыве.
Описание
Первичный нуклеосинтез — совокупность процессов, которые привели к образованию химического состава вещества во Вселенной до появления первых звёзд[1].
Предшествующие события
В момент времени 0,1 с после Большого взрыва температура Вселенной составляла около 3⋅1010 K, а её вещество представляло собой электрон-позитрон-нейтринную плазму, в которой в небольшом количестве имелись нуклоны: протоны и нейтроны. В таких условиях происходили постоянные превращения протонов в нейтроны и обратно в следующих реакциях[2][3][комм. 1]:
Первоначально прямые и обратные реакции уравновешивали друг друга, и равновесная доля нейтронов от всех нуклонов зависела от температуры [3][4]:
где — разность энергий покоя нейтрона и протона, равная 1,29 МэВ, а — постоянная Больцмана. Когда температура снизилась до 3⋅109 K, что соответствует возрасту Вселенной в 10 секунд, эти реакции практически прекратились, а равновесие перестало сохраняться — в этот момент значение составило около 0,17. Превращение нейтронов в протоны стало идти посредством бета-распада нейтрона со временем жизни около 880 секунд, и стало убывать экспоненциально: к моменту начала первичного нуклеосинтеза, через 3 минуты после Большого взрыва, снизилось до приблизительно 0,125, то есть на 1 нейтрон приходилось 7 протонов[2][5][6].
Процесс

.png.webp)
Когда с момента Большого взрыва прошло около 3 минут, температура Вселенной стала ниже 109 K. После этого стало возможно образование стабильных ядер дейтерия (дейтронов) при столкновении протона и нейтрона, практически все из которых в цепочке реакций превращались в более стабильные ядра гелия. Таким образом, практически все нейтроны в результате нуклеосинтеза оказались в ядрах гелия путём следующих реакций[5][7][8][комм. 2]:
Образование дейтронов было возможно и при более высоких температурах, но в таких условиях они были нестабильны и быстро распадались, а из-за невысокой плотности вещества столкновение двух ядер дейтерия с образованием более стабильного ядра было маловероятно. Тем не менее, возможны реакции с участием одного ядра дейтерия и одного нуклона, хотя их характерные сечения малы[7]:
Некоторая часть ядер гелия-4 сформировала литий. К образованию лития-7 приводили следующие реакции[9][10]:
Формирование этих химических элементов завершилось, когда после Большого взрыва прошло 20 минут. Кроме этих элементов, при первичном нуклеосинтезе образовались и более тяжёлые ядра, однако из-за отсутствия стабильных ядер с атомным весом 5 или 8[11] доля этих элементов оказалась ничтожной (см. ниже)[6][12].
Результаты
Когда первичный нуклеосинтез завершился, большая часть протонов — ядер водорода — осталась в свободном состоянии, составив 75% барионной массы Вселенной. Ядра гелия-4 составили около 25% барионной массы — эта величина зависит от доли нейтронов среди всех нуклонов и с хорошей точностью вдвое превышает её, поскольку ядро гелия содержит 2 протона и 2 нейтрона[5][8][13].
Менее распространёнными изотопами оказались дейтерий, гелий-3 и литий-7. По наблюдательным данным относительное содержание[комм. 3] дейтерия составило 2,5⋅10−5, гелия-3 — 0,9—1,3⋅10−5, лития-7 — 1,6⋅10−10, что в целом сходится с теоретическими предсказаниями (см. ниже)[6][12][14]. Также образовалось сопоставимое количество трития и бериллия-7, но эти изотопы нестабильны и после завершения первичного нуклеосинтеза распались: тритий превратился в гелий-3 путём бета-распада, а бериллий-7 — в литий-7 путём электронного захвата[15][16][17]:
Доли других элементов в веществе, которое образовалось при первичном нуклеосинтезе, оказались незначительными: например, относительное содержание бора-11 составило около 3⋅10−16, а углерода, азота и кислорода в сумме ― 10−15. Эти элементы в таком малом количестве не могли как-либо повлиять на параметры и эволюцию первых звёзд, которые сформировались из этого вещества[6][12].
Проверка космологических параметров

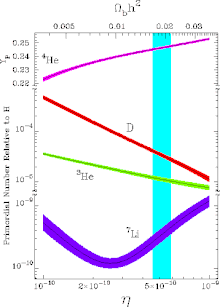
Наблюдаемые результаты первичного нуклеосинтеза дают возможность проверить, насколько правильными являются соответствующие теоретические модели. Так, например, стандартная модель первичного нуклеосинтеза — сценарий, где физика элементарных частиц описывается стандартной моделью, а космология — моделью ΛCDM[18], имеет лишь один свободный параметр : отношение числа барионов во Вселенной к числу фотонов. Поскольку число фотонов известно из наблюдений реликтового излучения, то зависит только от плотности барионов во Вселенной[19].
От параметра зависит содержание элементов первичного нуклеосинтеза. С ростом понижается конечное содержание дейтерия и гелия-3: чем больше барионная плотность, тем быстрее и эффективнее идут реакции превращения этих ядер в ядра гелия-4, и тем меньше их остаётся к завершению первичного нуклеосинтеза. Наоборот, содержание гелия-4 возрастает при увеличениии , хотя и довольно медленно: чем выше барионная плотность, тем раньше начинается первичный нуклеосинтез и тем большую долю от всех нуклонов составляют нейтроны, практически все из которых связываются в ядра гелия. Зависимость конечного содержания лития-7 от немонотонна и имеет минимум при около 2—3⋅10−10 — это связано с тем, что литий образуется в двух цепочках реакций, одна из которых идёт при малых , а другая — при больших, кроме того, вместе с образованием ядер лития шёл их распад[9].
Таким образом, если стандартная модель первичного нуклеосинтеза верна, то содержание различных химических элементов должно соответствовать одному и тому же . Эту величину возможно измерить и другими методами, например, по параметрам анизотропии реликтового излучения — такая оценка также должна согласовываться с распространённостью химических элементов. Оценка , полученная по данным WMAP, равна 6,2⋅10−10 и соответствует данным о содержании дейтерия, гелия-3 и гелия-4; для лития-7 теоретическая оценка в 4 раза превышает наблюдаемое значение. Для решения этой проблемы предлагаются различные решения, но в целом считается, что реальная распространённость химических элементов хорошо описывается существующей теорией и свидетельствует о правильности современных представлений о Большом взрыве[12][14].
Примечания
Комментарии
- — нейтрон, — протон, и — электрон и позитрон, и — электронное нейтрино и антинейтрино
- — дейтрон, — фотон
- Относительное содержание — отношение количества частиц данного изотопа к количеству частиц водорода
Источники
- Лукаш В. Н., Михеева Е. В. Первичный нуклеосинтез. Большая российская энциклопедия. Дата обращения: 21 августа 2021. Архивировано 27 февраля 2021 года.
- Вайнберг, 2013, с. 188—193.
- Сильченко, 2017, с. 107.
- Вайнберг, 2013, с. 191—192.
- Сильченко, 2017, с. 107—108.
- Pitrou C., Coc A., Uzan J-P., Vangioni E. Precision big bang nucleosynthesis with improved Helium-4 predictions (англ.) // Physics Reports. — N. Y.: Elsevier, 2018. — 1 September (vol. 754). — P. 1–66. — ISSN 0370-1573. — doi:10.1016/j.physrep.2018.04.005.
- Вайнберг, 2013, с. 195—196.
- Cosmology. Primordial nucleosynthesis (англ.). Encyclopedia Britannica. Дата обращения: 21 августа 2021. Архивировано 21 августа 2021 года.
- Сильченко, 2017, с. 108—109.
- Вайнберг, 2013, с. 202.
- Вайнберг, 2013, с. 196.
- Coc A., Vangioni E. Primordial nucleosynthesis (англ.) // International Journal of Modern Physics E. — Singapore: World Scientific, 2017. — Vol. 26. — P. 1741002. — ISSN 0218-3013. — doi:10.1142/S0218301317410026. Архивировано 19 августа 2019 года.
- Вайнберг, 2013, с. 196—199.
- Сильченко, 2017, с. 113—116.
- Вайнберг, 2013, с. 199.
- Yurchenko V. Yu., Ivanchik A. V. Spectral features of non-equilibrium antineutrinos of primordial nucleosynthesis (англ.) // Astroparticle Physics. — Amsterdam: Elsevier, 2021. — 1 January (vol. 127). — P. 102537. — ISSN 0927-6505. — doi:10.1016/j.astropartphys.2020.102537.
- Khatri R., Sunyaev R. A. Time of primordial 7Be conversion into 7Li, energy release and doublet of narrow cosmological neutrino lines (англ.) // Astronomy Letters. — М.: Science, 2011. — 1 June (vol. 37). — P. 367–373. — ISSN 1063-7737. — doi:10.1134/S1063773711060041.
- Fields B. D. The Primordial Lithium Problem. 2. Standard BBN in light of WMAP: the lithium problem emerges. Infrared Processing and Analysis Center. Дата обращения: 23 августа 2021. Архивировано 23 августа 2021 года.
- Сильченко, 2017, с. 106.
Литература
- Вайнберг С. Космология. — М.: УРСС, 2013. — 608 с. — ISBN 978-5-453-00040-1.
- Сильченко О. К. Происхождение и эволюция галактик / под редакцией В. Г. Сурдина. — Фрязино: Век 2, 2017. — 224 с. — 1500 экз. — ISBN 978-5-85099-196-8.
