Квантовое преобразование Фурье
Квантовое преобразование Фурье (сокр. КПФ) — линейное преобразование квантовых битов (кубитов), являющееся квантовым аналогом дискретного преобразования Фурье (ДПФ). КПФ входит во множество квантовых алгоритмов, в особенности в алгоритм Шора разложения числа на множители и вычисления дискретного логарифма, в квантовый алгоритм оценки фазы для нахождения собственных чисел унитарного оператора и алгоритмы для нахождения скрытой подгруппы.
Квантовое преобразование Фурье эффективно исполняется на квантовых компьютерах путём специального разложения матрицы в произведение более простых унитарных матриц. С помощью такого разложения, дискретное преобразование Фурье на входных амплитудах может быть осуществлено квантовой сетью, состоящей из вентилей Адамара и контролируемых квантовых вентилей, где — число кубитов[1]. По сравнению с классическим ДПФ, использующим элементов памяти ( — количество бит), что экспоненциально больше, чем квантовых вентилей КПФ.
Наилучшие из известных алгоритмов квантового преобразования Фурье (по состоянию на конец 2000) задействуют только вентилей для достижения желаемого приближения результата[2].
Определение
Квантовое преобразование Фурье — классическое дискретное преобразование Фурье, применённое к вектору амплитуд квантовых состояний. Обычно рассматривают такие вектора, имеющие длину . Классическое преобразование Фурье действует на вектор и отображает его в вектор по формуле:
где — Nый корень из единицы.
Аналогично, КПФ действует на квантовое состояние и отображает его в квантовое состояние по формуле:
где та же, что и раньше. Так как — вращение, обратное преобразование Фурье производится аналогично
Если — базисное квантовое состояние, квантовое преобразование Фурье может быть представлено в виде отображения[3]:
- .
КПФ может эквивалентно рассматриваться как унитарная матрица (чем являются квантовые вентили), действующая на векторы квантовых состояний[4]. Такая матрица имеет не произвольный, а строго определённый вид
- .
Поскольку и — простейший (наименьшая по модулю экспоненциальная часть) N-й корень из единицы, для случая и фазы получаем матрицу преобразования
- .
Свойства
Унитарность

Большинство свойств КПФ следует из того, что данное преобразование унитарно. Этот факт легко проверяется путём умножения матриц , где — эрмитово-сопряжённая матрица к .
Из унитарных свойств следует, что обратное к КПФ преобразование имеет матрицу, эрмитово-сопряжённую к матрице преобразования Фурье, поэтому . Если существует эффективная квантовая сеть, осуществляющая КПФ, то эта же сеть может быть запущена в обратную сторону для проведения обратного квантового преобразования Фурье. А это значит, что оба преобразования могут работать эффективно на квантовом компьютере.
Симуляции квантовых сетей двух возможных вариантов 2-кубитового КПФ, использующего и , показаны для демонстрации идентичного результата (используется Q-Kit).
Построение сетей
Квантовые вентили, используемые в сетях КПФ — вентиль Адамара и вентиль с контролируемой фазой. В терминах матриц
где — -й корень из единицы.

В преобразовании используются только линейные квантовые операции, чтобы задание функции для каждого из базисных состояний позволяло определить смешанные состояния из линейности. Это отличается от определения состояний в обычном преобразовании Фурье. Задать преобразование Фурье в обычном смысле — описать то, как получается результат для произвольных входных данных. Но здесь, как и во многих других случаях, проще описать поведение конкретного базисного состояния и вычислять результат из линейности.
Сеть КПФ можно построить для любого числа входных амплитуд N; однако, это проще всего сделать в случае . Тогда получается Ортонормированная система из векторов
Базисные состояния перечисляют все возможные состояния кубитов:
где, по правилу тензорного суммирования , означает, что кубит находится в состоянии , с 0 либо 1. По соглашению, индекс базисного состояния указывает на возможные состояния этого кубита, то есть является двоичным разложением:
Также удобно использовать дробную двоичную нотацию:
Например, и
Используя эти обозначения, КПФ записывается коротко[5]:
или
Краткость налицо, представив двоичное разложение обратно в виде суммы
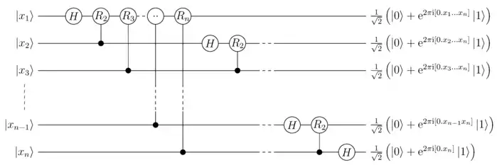
Видно, что выходной кубит 1 находится в суперпозиции состояний и , кубит 2 — в суперпозиции и и т. д. для остальных кубитов (см. схему-рисунок выше).
Другими словами, ДПФ, операция над n кубитами, может быть разложена в тензорное произведение n однокубитных операций, Действительно, каждая из таких однокубитных операций эффективным образом реализуется на вентилях с контролируемой фазой и вентилях Адамара. Первый кубит потребует один вентиль Адамара и (n-1) вентилей с контролируемой фазой, второй потребует два вентиля Адамара и (n-2) вентилей с контролируемой фазой, и так далее (см. схему выше). В итоге потребуется вентилей, что квадратично полиномиально по отношению к количеству кубитов.
Пример
Рассмотрим квантовое преобразование Фурье на трёх кубитах. Математически оно записывается
где — простейший восьмой корень из единицы, удовлетворяющий (поскольку ).
Для сокращения, установим , тогда матричное представление КПФ на трёх кубитах
Это можно упростить, заметив , , , , и .
3-кубитное квантовое преобразование Фурье перепишется в виде
или
Для использования сети составим разложение КПФ в обратном порядке, а именно
На рисунке ниже представлена сеть для (с обратным порядком выходных кубитов по отношению к прямому КПФ).


Как подсчитано выше, используется вентилей, что соответствует .
Кроме того, следующие сети осуществляют 1-, 2- и 3-кубитное КПФ: Схема и симуляция 1-, 2- и 3-кубитного КПФ
Рисунок демонстрирует два различных исполнения 3-кубитного КПФ, которые эквивалентны.
См. также
Примечания
- Michael A. Nielsen и Исаак Чуан. Quantum Computation and Quantum Information, p. 217 (англ.). — Cambridge: Cambridge University Press, 2000. — ISBN 0-521-63503-9.
- Hales, Hallgren, 2000.
- Weinstein, Havel, Emerson et al., 2004.
- Ronald de Wolf, The classical and quantum Fourier transform, 1.1 The discrete Fourier transform, p. 1, (pdf)
- Thomas G. Draper, Addition on a Quantum Computer, p. 5, September 1, 1998, (pdf)
Литература
- К. Р. Партасарати, Lectures on Quantum Computation and Quantum Error Correcting Codes (Indian Statistical Institute, Delhi Center, June 2001)
- Прескилл, Джон, Lecture Notes for Physics 229: Quantum Information and Computation (CIT, September 1998)
- Hales L. R., Hallgren S. An improved quantum Fourier transform algorithm and applications (англ.) // FOCS 2000: 41st Annual Symposium on Foundations of Computer Science, Redondo Beach, CA, USA, USA, 12-14 Nov. 2000. Proceedings — IEEE, 2000. — P. 515—525. — ISBN 978-0-7695-0850-4 — doi:10.1109/SFCS.2000.892005
- Weinstein Y. S., Havel T. F., Emerson J., Boulan N., Saraceno M., Lloyd S., Cory D. G. Quantum process tomography of the quantum Fourier transform (англ.) // J. Chem. Phys / H. Urey, J. E. Mayer, Clyde A. Hutchison, Jr., D. Levy, M. I. Lester — AIP, 2004. — Vol. 121, Iss. 13. — P. 6117—6133. — ISSN 0021-9606; 1089-7690; 1520-9032 — doi:10.1063/1.1785151 — PMID:15446906 — arXiv:quant-ph/0406239
