Глиоксаль
Глиоксаль — органическое соединение, диальдегид щавелевой кислоты, жёлтая жидкость с запахом формалина. Является простейшим диальдегидом.
| Глиоксаль | |||
|---|---|---|---|
| |||
| Общие | |||
| Систематическое наименование |
этандиаль | ||
| Традиционные названия | щавелевый альдегид | ||
| Хим. формула | OCHCHO | ||
| Рац. формула | C2H2O2 | ||
| Физические свойства | |||
| Состояние | жидкость | ||
| Молярная масса | 58,04 г/моль | ||
| Плотность | 1,27 г/см³ | ||
| Термические свойства | |||
| Температура | |||
| • плавления | 15 °C | ||
| • кипения | 51 °C | ||
| Химические свойства | |||
| Растворимость | |||
| • в воде | 600 г/100 мл | ||
| Оптические свойства | |||
| Показатель преломления | 1,3826 | ||
| Классификация | |||
| Рег. номер CAS | 107-22-2 | ||
| PubChem | 7860 | ||
| Рег. номер EINECS | 203-474-9 | ||
| SMILES | |||
| InChI | |||
| ChEBI | 34779 | ||
| ChemSpider | 7572 | ||
| Безопасность | |||
| NFPA 704 | |||
| Приведены данные для стандартных условий (25 °C, 100 кПа), если не указано иное. | |||
Производство
В лаборатории глиоксаль получают окислением ацетальдегида селенистой кислотой.[1]
В промышленности глиоксаль получают двумя путями. Либо окислением в газовой фазе этиленгликоля в присутствии серебряного или медного катализатора, либо окислением в жидкой фазе ацетальдегида азотной кислотой. Более распространенным является окисление в газовой фазе.
Объем ежегодного производства составляет ~220,000 тонн.
Первое коммерческое производство началось в Lamotte, Франция, в 1960 и сейчас принадлежит Clariant. Единый большой производитель — BASF в Людвигсхафен-на-Рейне, Германия, с производительностью 60,000 тонн/год. Только два производства глиоксаля есть в Америке (Geismer, LA and Charlotte, NC). Значительное производство недавно началось в Китае. Коммерческий глиоксаль поставляется в виде 40 % раствора.
В России глиоксаль производит единственная компания Новохим (Novochem), с производительностью 1500 тонн/год в Томске и с сентября 2012 г. в Бийске[2].
Получение безводного глиоксаля включает нагревание твёрдых глиоксаль гидратов с фосфора пентаоксидом и конденсация паров в охлаждаемой ловушке.
Химические свойства
Карбонильные группы глиоксаля обладают ярко выраженными электрофильными свойствами. С водой глиоксаль образует дигидрат, становясь из желтого бесцветным.
Под действием щелочи глиоксаль претерпевает внутримолекулярную реакцию Канниццаро, превращаясь в соответствующую соль гликолевой кислоты.
В присутствии поташа на воздухе окисляется до родизоновой кислоты

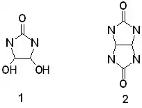
Кислым раствором перманганата калия или перекисью водорода окисляется до муравьиной кислоты. Щелочным раствором перманганата калия до щавелевой кислоты. Гидрирование на палладии (Pd/C) даёт этиленгликоль. Со спиртами в присутствии кислоты получается моно- или диацетали. С мочевиной образует 4,5-дигидроксиимидазолидин-2-он (1) и глиоксальуреид (2).
Применение
Он используется для придания нерастворимости и как агент кросс-сочетания в химии полимеров:
- белков (процесс дубления кожи)
- коллаген
- производные целлюлозы (текстиль)
- гидроколлоиды
- крахмал (мелование бумаги)
Глиоксаль — текстильно-вспомогательное вещество, придающее несминаемость хлопчатобумажным и вискозным материалам; гидрофобизирующий компонент составов для пропитки бумаги и кожи. Глиоксаль и глиоксальсульфат используются для получения кубовых красителей.[3]
Глиоксаль ценный строительный блок в органическом синтезе, особенно в синтезе гетероциклов таких как имидазол. Обычная форма этого реагента используемого в лабораториях — бис-полуацеталь с этиленгликолем 1,4-диоксан-2,3-диол. Он доступен коммерчески.
Поведение в растворе
Глиоксаль типично поставляется в виде 40 % водного раствора. Как и другие низшие альдегиды, глиоксаль образует гидраты. Более того, гидраты конденсируются, образуя серии олигомеров, структуры которых остаются неизвестными. Для большинства применений точное знание об этих олигомерах не имеет значения. По крайней два типа гидратов доступны коммерчески и являются твёрдыми веществами.
- глиоксаль димер, дигидрат: [(CHO)2]2(H2O)2, 1,4-диоксан-транс-2,3-diol (CAS# 4845-50-5, т.пл. 91—95 °C)
- глиоксаль тример, дигидрат: [(CHO)2]3(H2O)2 (CAS# 4405-13-4). Не гигроскопичен.
Установлено, что при концентрации меньшей 1М, глиоксаль существует в основном как мономер или его гидраты, OCHCHO, OCHCH(OH)2 или(HO)2CHCH(OH)2.
При концентрации >1М, димер доминирует. Эти димеры скорее всего диоксоланы с формулой [(HO)CH]2O2CHCHO. Димер и тример может выпасть в осадок из-за низкой растворимости ниже 15 °C.
Безопасность
Беречь от прямых солнечных лучей. Раздражает кожу. Операции проводить в вытяжном шкафу.
Примечания
- Методика в Organic Syntheses (недоступная ссылка). Дата обращения: 25 июня 2009. Архивировано 23 мая 2009 года.
- Бийский глиоксаль
- Химическая энциклопедия, Т1, 1988, «Сов. энциклопедия», стр. 583
Ссылки
- Колотов С. С., Менделеев Д. И. Глиоксаль // Энциклопедический словарь Брокгауза и Ефрона : в 86 т. (82 т. и 4 доп.). — СПб., 1890—1907.



