Аллозамидин
Аллозамиди́н — это природный псевдотрисахарид, который является ингибитором всех описанных ныне хитиназ семейства 18. Проявляет биологическую активность против насекомых, грибов, а также Plasmodium falciparum.

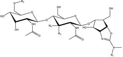
Впервые выделен из культур Streptomyces [1]. Молекула аллозамидина состоит из N-ацетилзаминовых сахаров, объединенных между собой (аллозамизолин), циклопентитольной группы и оксазолина, несущего диметиламин.
Ингибирует деление клеток грибов [2] [3], передачу малярийного паразита Plasmodium falciparum [4] [5] [6], развитие насекомых [7].
| Название вещества | R1 | R2 | R3 | R4 |
|---|---|---|---|---|
| Аллозамидин | CH3 | H | OH | H |
| Диметилаллозамидин | H | H | OH | H |
| Метилаллозамидин | CH3 | CH3 | OH | H |
| Глюкоаллозамидин B | H | CH3 | H | OH |
Механизм ингибирования аллозамидином хитиназ семейства 18 изучен для хевамина [9], хитиназы B (ChiB) из Serratia marcescens [10] и хитиназы I из Coccidioides immitis [11]. Ингибитор связывается с сайтами от −3 до −1, причём аллозамизолин занимает сайт −1. Несколько водородных связей и стекинг-взаимодействия с ароматическими остатками ответственны за прочное связывание аллозамидина с хитиназами семейства 18.
Необходимо отметить, что аллозамидин и его производные также способны прочно связываться с хитиназой макрофагов человека, что следует учитывать при изучении их фармакологических свойств [8].
См. также
Литература
- Sakuda S, Isogai A, Matsumoto S, Suzuki A. Search for microbial insect growth regulators. II. Allosamidin, a novel insect chitinase inhibitor. // J Antibiot (Tokyo). 1987 Mar;40(3):296-300.
- Kuranda, M. J., and Robbins, P. W. (1991) J. Biol. Chem. 266, 19758-19767
- Sakuda, S., Nishimoto, Y., Ohi, M., Watanabe, M., Takayama, S., Isogai, A., and Yamada, Y. (1990) Agr. Biol. Chem. Tokyo 54, 1333—1335
- Vinetz, J. M., Dave, S. K., Specht, C. A., Brameld, K. A., Xu, B., Hayward, R., and Fidock, D. A. (1999) Proc. Natl. Acad. Sci. U. S. A. 96, 14061-14066
- Vinetz, J. M., Valenzuela, J. G., Specht, C. A., Aravind, L., Langer, R. C., Ribeiro, J. M. C., and Kaslow, D. C. (2000) J. Biol. Chem. 275, 10331-10341
- Tsai, Y.-L., Hayward, R. E., Langer, R. C., Fidock, D. A., and Vinetz, J. M. (2001) Infect. Immun. 69, 4048-4054
- Sakuda, S. (1996) in Chitin Enzymology, Vol. 2, pp. 203—212, Atec Edizioni, Grottammare, Italy
- Francesco V. Rao, Douglas R. Houston, Rolf G. Boot, Johannes M. F. G. Aerts, Shohei Sakuda and Daan M. F. Van Aalten. Crystal Structures of Allosamidin Derivatives in Complex with Human Macrophage Chitinase // J. Biol. Chem., Vol. 278, Issue 22, 20110-20116, May 30, 2003
- Terwisscha van Scheltinga, A. C., Armand, S., Kalk, K. H., Isogai, A., Henrissat, B., and Dijkstra, B. W. (1995) Biochemistry 34, 15619-15623
- van Aalten, D. M. F., Komander, D., Synstad, B., Gåseidnes, S., Peter, M. G., and Eijsink, V. G. H. (2001) Proc. Natl. Acad. Sci. U. S. A. 98, 8979-8984
- Bortone, K., Monzingo, A. F., Ernst, S., and Robertus, J. D. (2002) J. Mol. Biol. 320, 293—302