Азтреонам
Азтреонам — моноциклический синтетический бактерицидный бета-лактамный антибиотик, обладающий избирательным спектром действия против аэробных грамотрицательных бактерий и предназначенный для парентерального применения. Выделен из культуры Chromobacterium violaceum.
| Азтреонам | |
|---|---|
| Aztreonam | |
| |
| Химическое соединение | |
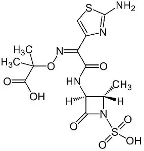
| ИЮПАК | [2S-[2α,3β(Z)]]-2-[[[1-(2-Амино-4-тиазолил)-2-[(2-метил-4-оксо- 1-сульфо-3-азетидинил)амино]-2-оксоэтилиден]амино]окси]-2-метилпропановая кислота ([2S-[2α,3β(Z)]]-2-[[[1-(2-Amino-4-thiazolyl)-2-[(2-methyl-4-oxo-1-sulfo-3-azetidinyl)amino]-2-oxoethylidene]amino]oxy]-2-methylpropanoic acid) |
| Брутто-формула | C13H17N5O8S2 |
| Молярная масса | 435.43 г/моль |
| CAS | 78110-38-0 |
| PubChem | 5742832 |
| DrugBank | 00355 |
| Состав | |
| Классификация | |
| АТХ | J01DF01 |
| Фармакокинетика | |
| Биодоступн. | высокая |
| Период полувывед. | 1,7 часа |
| Экскреция | почки: 60-70 % |
| Лекарственные формы | |
| порошок для приготовления инъекционного раствора для в/в введении | |
| Способы введения | |
| внутривенно, ингаляция | |
Описание
Азтреонам относится к антибиотикам группы монобактамов, обладает узким спектром действия, активен преимущественно в отношении некоторых штаммов аэробных грамотрицательных бактерий. Препарат обладает выраженным бактерицидным действием, приводит к гибели микроорганизмов. Механизм действия азтреонама основан на его способности связываться с пенициллин-связывающим белком 3 и угнетать образование пептидогликана, который является основой клеточной стенки бактерий. Вследствие нарушения целостности и структуры клеточной оболочки происходит гибель микроорганизмов, чувствительных к действию препарата. Бактерицидные свойства азтреонама отмечаются в отношении Citrobacter spp. (в том числе Citrobacter freundii), Enterobacter spp. (в том числе Enterobacter сloacae), Escherichia coli, Klebsiella oxytoca, Klebsiella pneumoniae, Serratia species (в том числе Serratia marcescens), а также Proteus mirabilis и Pseudomonas aeruginosa. Кроме того, к его действию чувствительны штаммы Haemophilus influenzae, в том числе штаммы, продуцирующие пенициллиназы. Есть данные об эффективности применения препарата при заболеваниях, вызванных штаммами Aeromonas hydrophila, Morganella morganii, Pasteurella multocida, Proteus vulgaris, Providencia stuartii, Providencia rettgeri, Yersinia enterocolitica и Neisseria gonorrhoeae, в том числе штаммами Neisseria gonorrhoeae, которые продуцируют пенициллиназы. Препарат обладает узким спектром действия и практически не влияет на микрофлору организма и не вызывает дисбактериоз. Отмечено развитие перекрёстной устойчивости азтреонама и противомикробных средств группы аминогликозидов.
Показания к применению
Препарат применяется для терапии пациентов, страдающих инфекционными заболеваниями, вызванными микроорганизмами, чувствительными к действию азтреонама, в частности:
- Инфекционные заболевания нижних дыхательных путей: бронхит, пневмония, абсцесс лёгких.
- Инфекционные заболевания кожи и мягких тканей: рожа, инфицированные дерматиты.
- Инфекционные заболевания почек и мочевыводящих путей: острый и хронический цистит, пиелит, пиелонефрит, простатит.
- Внутрибольничные инфекции, вызванные синегнойной палочкой.
Кроме того, препарат применяется для лечения менингита, септицемии, перитонита и других интраабдоминальных инфекций, а также в гинекологической практике при эндометрите и параметрите. Препарат может быть назначен в качестве профилактического средства при проведении оперативных вмешательств.
Побочное действие
Со стороны нервной системы и органов чувств: головокружение, головная боль, бессонница, парестезия, судороги, диплопия, недомогание, спутанность сознания, слабость, шум в ушах, изъязвление слизистой оболочки полости рта, извращение вкуса, онемение языка, чиханье, заложенность носа, неприятный запах изо рта.
Со стороны ССС и крови (кроветворение, гемостаз): снижение АД, транзиторные изменения на ЭКГ (желудочковая бигемения и преждевременное сокращение желудочков), приливы крови, панцитопения, нейтропения, тромбоцитопения, анемия, эозинофилия, лейкоцитоз, тромбоцитоз.
Со стороны респираторной системы: свистящее дыхание, одышка, боль в грудной клетке.
Со стороны органов ЖКТ: спастические боли в животе, гепатит, желтуха; редкие случаи диареи, вызванной С. difficile, включая псевдомембранозный колит или кровотечения из ЖКТ. Возникновение симптомов псевдомембранозного колита возможно как во время, так и после лечения препаратом.
Со стороны кожных покровов: токсический эпидермальный некролиз, петехии, пурпура, многоформная эритема, эксфолиативный дерматит, крапивница, зуд, обильное потоотделение.
Аллергические реакции: анафилаксия, ангионевротический отёк, бронхоспазм.
Прочие: боль в мышцах, вагинальный кандидоз, вагинит, болезненность молочных желез, лихорадка, повышение активности АСТ, АЛТ, ЩФ, увеличение ПВ и АЧТВ, положительная проба Кумбса, гиперкреатининемия; местные реакции: при в/в введении — флебит, тромбофлебит, неприятные ощущения в месте в/м введения[1].
Примечания
- Terico, AT; Gallagher, JC (Декабрь 2014). “Beta-lactam hypersensitivity and cross-reactivity”. Journal of Pharmacy Practice. 27 (6): 530—44. DOI:10.1177/0897190014546109. PMID 25124380. Неизвестный параметр
|s2cid=(справка)
