Циклен
Циклен (англ. cyclen; 1,4,7,10-тетраазациклододекан) — макроциклическое соединение, лиганд, способный связывать металлы, аза-аналог краун-эфира 12-краун-4. Существуют высшие циклические производные циклена с бо́льшим количеством повторов.

| Циклен | |
|---|---|
| |
| Общие | |
| Систематическое наименование |
1,4,7,10-тетраазациклододекан |
| Хим. формула | C8H20N4 |
| Физические свойства | |
| Состояние | твёрдое, белое вещество |
| Молярная масса | 172.271 г/моль |
| Классификация | |
| Рег. номер CAS | 294-90-6 |
| PubChem | 64963 |
| Рег. номер EINECS | 425-450-9 |
| SMILES | |
| InChI | |
| ChEBI | 37391 |
| ChemSpider | 58488 |
| Приведены данные для стандартных условий (25 °C, 100 кПа), если не указано иное. | |
Синтез
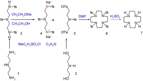
Циклен может быть синтезирован комбинированием двух отдельных компонентов в реакции нуклеофильного замещения.[1] При этом концевые амино-группы в диэтилентриамине (1) активируются как аминные анионные нуклеофилы в реакции с тозил хлоридом в пиридине с образованием защищённой N-тозильной группы с последующим замещением протонов в реакции с этоксидом натрия. Спиртовые концевые группы диэтаноламина (2) активируются как электрофилы замещением на тозильные уходящие группы. Полученные таким образом компоненты соединяются в диметилформамиде при сильном разведении компонентов. Однако, если концентрация компонентов недостаточно низкая, возможна реакция простой полимеризации с образованием длинных цепей и без циклизации. В последней синтетической реакции после образования циклического соединения (6) тозильные группы удаляются в присутствии серной кислоты с образованием циклена (7).
Поскольку вышеописанная реакция требует высокого разведения компонентов, что приводит к низкому выходу, был предложен альтернативный синтез. Он начинается с триэтилентетраамина и дитиооксамида с образованием промежуточного амидина и последующей восстановительной реакции в присутствии гидрида диизобутилалюминия.[2]
Применение в медицине
Благодаря комплексообразующим свойствам циклен используется в магнитно-резонансной томографии в качестве контрастного вещества.
См. также
Примечания
- Organic Syntheses, Coll. Vol. 6, p.652 (1988); Vol. 58, p.86 (1978). (недоступная ссылка). Дата обращения: 12 апреля 2012. Архивировано 6 июня 2011 года.
- Organic Syntheses, Coll. Vol. 10, p.667 (2004); Vol. 78, p.73 (2002). (недоступная ссылка). Дата обращения: 12 апреля 2012. Архивировано 4 февраля 2012 года.
Библиография
- Suchý, M.; Hudson, R. H. E. Synthetic Strategies Toward N-Functionalized Cyclens (англ.) // Eur. J. Org. Chem. : journal. — 2008. — Vol. 2008, no. 29. — P. 4847—4865. — doi:10.1002/ejoc.200800636.


