Хризофенин
Хризофенин (от греческого «хризос», золото; действующий ГОСТ 5975-80; он же англ. Chrysophenine, Direct Yellow 12) — брутто-формула C30H23N4Na2O8S2, CAS-номер 2870-32-8 (динатриевая соль, по сульфогруппам) — прямой дис-азокраситель — производное диамина с разобщёнными азогруппами, на основе стильбена. Придаёт целлюлозным материалам (лён, хлопок, бумага, вискоза и др.) яркий золотисто-жёлтый цвет. Наличие сульфогрупп в молекулах позволяет применять краситель как кислотный, для крашения волокон из шерсти и шёлка.
Хризофенин | |
|---|---|
![]() | |
Общие | |
| Хим. формула | C₃₀H₂₆N₄Na₂O₈S₂ |
Классификация | |
| Номер CAS | 2870-32-8 |
| PubChem | 6364585 |
| ChemSpider | 21159733 |
| Номер EINECS | 220-698-2 |
CCOC1=CC=C(C=C1)N=NC2=CC(=C(C=C2)C=CC3=C(C=C(C=C3)N=NC4=CC=C(C=C4)OCC)S(=O)(=O)[O-])S(=O)(=O)[O-].[Na+].[Na+] | |
InChI=1S/C30H28N4O8S2.2Na/c1-3-41-27-15-11-23(12-16-27)31-33-25-9-7-21(29(19-25)43(35,36)37)5-6-22-8-10-26(20-30(22)44(38,39)40)34-32-24-13-17-28(18-14-24)42-4-2;;/h5-20H,3-4H2,1-2H3,(H,35,36,37)(H,38,39,40);;/q;2*+1/p-2/b6-5+,33-31?,34-32?;; | |
| Приводятся данные для стандартных условий (25 ℃, 100 кПа), если не указано иное. | |
Положение максимума поглощения полосы спектра, ответственной за окраску, λmax в водном растворе — 389 нм.[1]
Как и прочие прямые красители, окрашивает целлюлозное волокно непосредственно из водного раствора в присутствии электролитов. Субстантивность позволяет окрашенным анионам переходить на волокно в виде солей и удерживаться силами водородных связей и силами Ван-дер-Ваальса.
В случае шерсти и шёлка, анион красителя закрепляется за счёт ионного взаимодействия с замещёнными аммонийными группами субстрата.
Получение
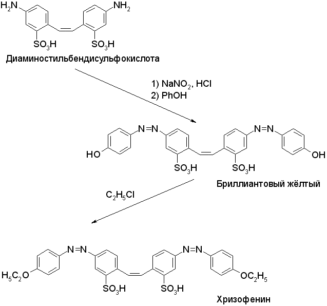
4,4'-диаминостильбен-2,2'-дисульфокислоту диазотируют нитритом натрия в избытке соляной кислоты при 20—25 °C, после чего при температуре ниже 10 °C сочетают с фенолом в присутствии соды.
Полученный Бриллиантовый жёлтый обрабатывают в спиртовом растворе этилхлоридом в присутствии NaOH и соды в футерованном кислотоупорными плитками или эмалированном автоклаве в течение 3 часов при 120—125 °C (давление 1,1—1,3 МПа).

Особенности строения
Виниленовая группа —CH=CH— обеспечивает значительное разобщение связываемых через неё систем сопряжённых двойных связей, поэтому оттенки стильбеновых красителей превосходят по чистоте и яркости красители на основе бензидина. В данном случае в симметричном красителе две идентичные независимые хромофорные системы отвечают за интенсивную жёлтую окраску.
Удвоение размера молекулы по сравнению с воображаемым красителем, характеризующимся аналогичной независимой хромофорной системой (полученного сочетанием диазотированной толуидинсульфокислоты с фенолом), обеспечивает повышенную стойкость красителя и получаемых с его помощью окрасок к свету и другим воздействиям.
Источники информации и внешние ссылки
- Б. И. Степанов «Введение в химию и технологию органических красителей», изд. 3-е, перераб. и доп., М., «Химия», 1984.
Примечания
- Спектральные характеристики Хризофенина Архивная копия от 30 ноября 2005 на Wayback Machine, на сайте Университета Айкена Южной Каролины.
