Туркестерон
Туркестерон (англ. Turkesterone) — органическое вещество, экдистероид (фитоэкдистероид), получаемый из надземной части растения Живучка туркестанская (лат. Ajuga turkestanica).[1]. Применяется в составе биологически активных добавок к пище, не является лекарством.

Получение
Туркестерон выделяется из надземной части эндемического растения Живучка туркестанская (Ajuga turkestanica).
Физико-химические свойства
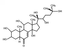
| Химическая формула | С27Н44О8 |
| Молекулярная масса | 496 |
| ИК (KBr) ν max (cm−1) | 3300-3500 (OH), 1660 (CO) |
| УФ (EtOH) λ max (log ε) | 244 (3.95) |
Свойства
Туркестерон по заявлениям производителей обладает тонизирующими и адаптогенными свойствами. Также заявляется анаболический эффект. Туркестерон проявляет тонизирующее действие, стимулирует работоспособность, предохраняет от негативного воздействия различных стрессорных факторов. Под действием Туркестерон усиливается биосинтез белка в организме, особенно в мышечной ткани, стимулируется эритропоэз и иммуногенез. Туркестерон гормоноподобными свойствами не обладает. Туркестерон вызывает благоприятные сдвиги в углеводном, липидном, и электролизном обменах, улучшает настроение, психическое и физическое состояние, повышает функциональные возможности организма.
Туркестерон корригирует[неизвестный термин] нарушенный метаболизм в органах и в тканях при различных патологических состояниях (миокардистрофия, токсические поражения печени и почек, анемия, деструктивные изменения слизистой желудка и наружных кожных покровов, переломы костей) и способствует восстановлению их функций, задерживает преждевременное старение организма.
Туркестерон нетоксичен, то есть его LD50>5000 мг/кг. Длительное введение туркестерона показало отсутствие каких-либо токсических эффектов как со стороны крови и мочи, так и со стороны патоморфологии различных органов и тканей.[1] Особый интерес это соединение вызывает своей анаболической активностью в организме. Так, прежде всего обращало на себя внимание увеличение прироста мышечной массы тела[2]. Наряду с уже описанными проявлениями белково-анаболического эффекта, следует отметить и повышение под действием туркестерона общего содержания белка в сыворотке крови, преимущественно за счет альбумина[2].
Туркестерон не проявляет андрогенного действия[1] , что характерно для всех стероидных анаболических препаратов, следовательно Туркестерон имеет перспективу использования в качестве анаболического средства у женщин и детей.
Туркестерон, по данным отдельных диссертаций середины 1990-х не является допингом[1] и может применяться в спортивно-медицинской практике без каких-либо ограничений с точки зрения антидопингового контроля[3]. Туркестерон рекомендован к широкому использованию, индивидуально или в виде комплексных препаратов в клинической и спортивно-медицинской практике[4].
Дозировка
Таблетки[какие?] содержат 200 мг экстракта Живучки туркестанской. Экстракт Живучки туркестанской стандартизован[кем?], содержит не менее 10 % вещества туркестерон, 10 % вещества экдистерон. Также, в экстракте содержатся Циастерон, Аюгастерон и другие фитоэкдистероиды.
Примечания
- Сыров, В. Н. Фармакологическое исследование фитоэкдистероидов растений родов Rhaponticum, Silene и Ajuga // Автореферат дис. доктора медицинских наук: 14.00.25 — Ташкент, 1996 — 38 с.: ил
- V. N. Syrov, A. G. Kurmukov, A. D. Sakhibov Effect of turkesterone and nerobol on the activity of the protein synthesizing system of mouse liver // Vopr Med Khim, Jul-Aug 1978, 24(4):456-60
- Ответ Российского антидопингового агентства «РУСАДА» о Туркестероне (недоступная ссылка), 02 февраля 2015
- A. U. Mamatkhanov, M. R. Yakubova, V. N. Syrov Isolation of turkesterone from the epigeal part of Ajuga turkestanica and its anabolic activity // Chemistry of Natural Compounds, March 1998, Volume 34, Issue 2, pp 150–154
Ссылки
- Биологически активные(диетические)добавки и их роль в повышении физической работоспособности
- Экспериментальная и клиническая фармакология, 2001
- Научные работы(рук. Сыров В. Н.) по теме фитоэкдистероиды(экдистерон и туркестерон) на анг. (недоступная ссылка с 04-08-2015 [2400 дней])
- ЛЕВЗЕЯ САФЛОРОВИДНАЯ ИЛИ “ЛЕГЕНДА ВОСТОЧНОЙ МЕДИЦИНЫ” – ИСТОЧНИК И БУДУЩЕЕ ЗДОРОВЬЯ ЧЕЛОВЕКА КХ “БИО”, 17 апреля 2001, SciTecLibrary.ru
- Сыров В. Н., Kypкумов А. Г., Об анаболических свойствах фитоэкдизона туркестерона и тетраацетата туркестерона в опытах на самцах крыс, «Проблемы эндокринологии» 1976, № 3, стр.107-112
- Хушбактова З. А., Сыров В. Н., Шахмурова Г. А., Иммуномодулирующая и стресс-протективная активность фитоэкдистероидов экдистерона и туркестерона при иммобилизационном стрессе у мышей, Химико-фармацевтический журнал, 2010.-№ 1, с.9-11