Трет-бутоксикарбонильная группа
Трет-бутоксикарбонильная группа или трет-бутилоксикарбонильная группа (БОК-группа, англ. tert-Butoxycarbonyl protecting group[1], англ. Boc) — защитная органильная группа[2], участвующая в органическом синтезе; имеет химическую формулу (CH3)3C−O−C(=O)−[2].
| Трет-бутоксикарбонильная группа | |
|---|---|
| |
| Общие | |
| Хим. формула | (CH3)3C−O−C(=O)− |
| Классификация | |
| ChEBI | 48502 |
| Приведены данные для стандартных условий (25 °C, 100 кПа), если не указано иное. | |


Является одной из наиболее часто используемых групп для защиты аминов[3], в частности, в синтезе пептидов[4]. Используется в твердофазном синтезе методом Роберта Меррифилда, в котором присоединяемую к полимеру аминогруппу аминокислоты защищают добавлением трет-бутоксикарбонильной группы[5][6].
Впервые была представлена в 1957 в целях синтеза пептидов[4].
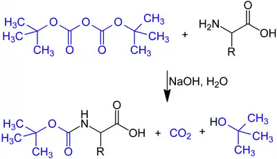
Добавление БОК-группы
БОК-группа может быть добавлена к амину при наличии воды с использованием ди-трет-бутилдикарбоната в присутствии такого основания как гидрокарбонат натрия:

Также защита амина может быть достигнута в растворе ацетонитрила с использованием 4-диметиламинопиридина в качестве основания.
Удаление БОК-группы
Удаление БОК-группы в аминокислотах может быть осуществлено с использованием сильных кислот, таких как трифторуксусная кислота в чистом виде[7], или в дихлорметане. При наличии других защитных групп выборочное удаление с помощью кислот может быть затруднено, например, в присутствии бензилоксикарбонильных групп[8]. По методу Меррфилда удаление может осуществляться через реакцию бок-аминокислоты с хлорметилированным полимером путём ацидолиза хлороводородом в уксусной кислоте[6]. Сложность может оказаться в тенденции промежуточного трет-бутилового катиона к алкилированию других нуклеофилов; могут использоваться поглотители, такие как анизол или тиоанизол. Избирательное расщепление N-бок-группы в присутствии других защитных групп возможно при использовании хлорида алюминия.
Последовательная обработка триметилсилил-йодидом, а затем метанолом также может быть использована для снятия защиты БОК, особенно в тех случаях, когда другие методы снятия защиты слишком суровы для субстрата. Механизм включает силилирование карбонильного кислорода и удаление трет-бутилиодида (1), метанолиз силилового эфира до карбаминовой кислоты (2) и, наконец, декарбоксилирование до аминогруппы (3).
| R2NCO2tBu + Me3SiI → R2NCO2SiMe3 + tBuI | (1) |
| R2NCO2SiMe3 + MeOH → R2NCO2H + MeOSiMe3 | (2) |
| R2NCO2H → R2NH + CO2 | (3) |
Примечания
- Rules for abbreviation of protecting groups (англ.) // Pure and Applied Chemistry : журнал. — Международный союз теоретической и прикладной химии, 2013. — Vol. 1, no. 85. — P. 307–313.
- EBI Web Team. tert-butoxycarbonyl group (CHEBI:48502) (англ.). www.ebi.ac.uk. Дата обращения: 12 октября 2018.
- Ulf Ragnarsson, Leif Grehn. Dual protection of amino functions involving Boc (англ.) // RSC Advances. — 2013. — Vol. 3, iss. 41. — P. 18691. — ISSN 2046-2069. — doi:10.1039/C3RA42956C.
- Amino Acids, Peptides and Proteins in Organic Chemistry, Protection Reactions, Medicinal Chemistry, Combinatorial Synthesis. — John Wiley & Sons, 2011-06-03. — 582 с. — ISBN 9783527641574.
- C. Birr. Aspects of the Merrifield Peptide Synthesis. — Springer Science & Business Media, 2012-12-06. — 111 с. — ISBN 9783642670046.
- N. Leo Benoiton. Chemistry of Peptide Synthesis. — CRC Press, 2016-04-19. — 308 с. — ISBN 9781420027693.
- Stephen A. Lawrence. Amines: Synthesis, Properties and Applications. — Cambridge University Press, 2004-09-30. — 386 с. — ISBN 9780521782845.
- Hans Neurath. The Proteins. — Elsevier, 2012-12-02. — 603 с. — ISBN 9780323162104.
