Токоферолы
Токоферолы (от др.-греч. τόκος — «деторождение», и φέρειν — «приносить») — класс химических соединений, метилированные фенолы. Многие токоферолы, а также соответствующие им токотриенолы, являются биологически активными и в совокупности называются витамином E.
Токоферолы зарегистрированы в качестве пищевых добавок E306 (смесь токоферолов), E307 (α-токоферол), E308 (γ-токоферол) и E309 (δ-токоферол).
Структура

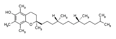
В основе всех токоферолов лежит хроманольное кольцо, к которому присоединены:
- гидроксильная группа, легко отдающая атом водорода в реакциях со свободными радикалами и этим восстанавливающая их, защищая другие органические вещества от окисления;
- гидрофобная углеводородная цепь, облегчающая проникновение сквозь биологические мембраны (в токотриенолах, в отличие от токоферолов, эта цепочка содержит двойную связь);
- ноль, две или три метильные группы, место присоединения которых сильно влияет на биологическую активность.
В соответствии с количеством и местом присоединения метильных групп различают α-токоферол, β-токоферол, γ-токоферол и δ-токоферол (см. рисунок).
Было документально подтверждено, что производное токоферола с укороченной боковой цепью индуцирует апоптоз опухолевых клеток, изменяет потенциал митохондриальной мембраны, а также регулирует определенные апоптотические белки, относящиеся к факторам роста. [1].

Стереоизомерия углеводородной цепи также сильно влияет на биологическую активность токоферолов. Наиболее активной является природная форма — (RRR)-α-токоферол.
Примечания
- Gok S, Kuzmenko O, Babinskyi A, Severcan F (January 2021). “Vitamin E Derivative with Modified Side Chain Induced Apoptosis by Modulating the Cellular Lipids and Membrane Dynamics in MCF7 Cells”. Cell Biochemistry and Biophysics. 79 (2): 271—87. DOI:10.1007/s12013-020-00961-y.