Таблица смертности
Таблица смертности (также таблица дожития) — упорядоченный по возрасту ряд чисел, характеризующий порядок вымирания поколения людей, один из важнейших инструментов демографической статистики, широко используется на практике в страховании (см. Актуарные расчёты).

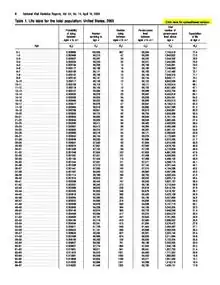
Пример таблицы смертности
Классификация таблиц смертности
- по полу;
- по типу поселения (таблицы смертности городского и сельского населения);
- полные (включающие все возраста) и краткие (включающие возраста 0, 1, 5, 10, 15,…) таблицы смертности;
- таблицы смертности условного и реального поколения (последние рассчитываются крайне редко и только в научных целях).
Показатели таблицы и их общепринятые обозначения

Графики функции дожития lx для мужского населения Швеции за разные годы (ось абсцисс — возраст, ось ординат — доля доживающих, l0=1).
- х — возраст (от 0 до 100 лет; встречаются и другие верхние границы, например, 80 или 85 лет);
- lx («эль малое икс») — точное число доживающих до возраста х лет (l0 обычно принимается за 100000);
- dx= lx -lx+1— число умирающих при переходе от возраста х к возрасту х+1 лет;
- qx=dx / lx — вероятность умереть при переходе от возраста х к возрасту х+1 лет;
- рx=1-qx — вероятность дожития до возраста х+1 лет для лиц в точном возрасте х лет;
- Lx («эль большое икс») — среднее число живущих в возрасте х (с точки зрения демографии, это число человеко-лет, прожитых поколением в возрасте х), обычно[1] рассчитывается как среднее арифметическое между lx и lx+1 для всех возрастов, кроме 0 (L0 рассчитывается по особой формуле ввиду крайней неравномерности распределения младенческой смертности);
- Тx — число человеко-лет, которое предстоит прожить совокупности людей, находящихся в возрасте х лет (сумма Lx от возраста х до верхнего возрастного предела таблицы);
- еx=Тx / lx — средняя ожидаемая продолжительность предстоящей жизни в возрасте х лет. Как правило, под ожидаемой продолжительностью жизни (ОПЖ) понимают ожидаемую продолжительность жизни при рождении, то есть е0, которая и является итоговым показателем таблицы смертности. ОПЖ — вовсе не средний возраст смерти, а число лет, которое в среднем предстоит прожить индивидам данного возраста, если на протяжении всей их жизни, до полного вымирания поколения, сохранится данный режим смертности[2], то есть повозрастные коэффициенты смертности останутся неизменными. Таким образом, ОПЖ при рождении является интегральным индикатором смертности в данный момент времени, не зависящим от возрастной структуры населения. Снижение или рост ОПЖ обуславливается динамикой смертности во всех возрастных группах населения.
Методы построения таблиц смертности
- Метод Бёка.
- Метод Буняковского.
Исторический очерк
Древнейшей дошедшей до нас таблицей смертности является таблица Ульпиана (II—III век н. э.)[3].
Первая[уточнить] попытка построения таблицы смертности (для населения Лондона) принадлежит Джону Граунту (1662 год), однако только в 1693 году Э. Галлей построил достаточно полную таблицу. В России первую таблицу в начале XIX века построил К. Ф. Герман.[4]
См. также
Примечания
- Это, вообще говоря, некорректно, так как функция дожития не является прямой, напоминая скорее кривую третьего порядка. Уточнить значение Lx можно, например, с помощью [demography.academic.ru/1419/%D0%91%D0%9E%D0%A0%D0%A2%D0%9AE%D0%92%D0%98%D0%A7%D0%90_%D0%9F%D0%9E%D0%9F%D0%A0%D0%90%D0%92%D0%9A%D0%90 поправки] Борткевича
- Вандескрик К. Демографический анализ. С. 135.
- В. И. Колесник. Таблица Ульпиана // Демографический энциклопедический словарь. — М.: Советская энциклопедия. Главный редактор Д. И. Валентей. 1985.
- Демографический энциклопедический словарь. С. 542.
Литература
- Демографический энциклопедический словарь. — М.: Советская энциклопедия. Главный редактор Д. И. Валентей. 1985.
- Вандескрик К. Демографический анализ. — М.: Академический проект; Гаудеамус, 2005. — 272 с. ISBN 5-8291-0500-4, 5-98426-024-7.
Ссылки
- Human Life Table Database (HLD)
- Human Mortality Database (HMD)
- Australian Human Mortality Database (AHMD)
- Canadian Human Mortality Database (CHMD)
- The Japanese Mortality Database (JMD)
- United States Mortality Database (USMDB)
- Latin American Human Mortality Database (LAHMD)
- Latin American Mortality Database (LAMBdA)
- UN Model Life Tables for Developing Countries
- UN Extended Model Life Tables
- WHO-Global Health Observatory Life Tables
- UK Government Actuary Department's Interim Life Tables
- Actuarial Life Table from the U.S. Social Security department
- US CDC Vital Statistics Reports
- Ehemu Database
- World Health Organisation Life Tables
This article is issued from Wikipedia. The text is licensed under Creative Commons - Attribution - Sharealike. Additional terms may apply for the media files.