Репинотан
Репинотан (BAYx3702) — химическое соединение, аминометилхромановое производное, является высокопотентным селективным полным агонистом 5-HT1A рецепторов с высокой эффективностью[1][2] Он имеет нейропротективные эффекты в экспериментах на животных[3][4][5] и исследовался у человека с целью уменьшения повреждений мозга при травмах черепа[6]. Затем он исследовался вплоть до фазы II с целью лечения ишемического инсульта, но, хотя побочные эффекты были невелики и состояли в основном в тошноте, репинотан показал недостаточную клиническую эффективность для того, чтобы оправдать затраты на дальнейшие исследования.[7][8][9]. Однако репинотан продолжает исследоваться в других целях. В частности, было обнаружено, что он может быть эффективен в уменьшении депрессии дыхания, вызываемой морфином, хотя при этом немного уменьшает его анальгетический эффект[10].
| Репинотан | |
|---|---|
| |
| Химическое соединение | |
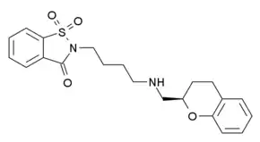
| ИЮПАК | (R)-(−)-2-[4-[(chroman-2-ylmethyl)-amino]-butyl]-1,1-dioxo-benzo[d]isothiazolone |
| Брутто-формула | C21H24N2O4S |
| Молярная масса | 400.491 г/моль |
| CAS | 144980-29-0 |
| PubChem | 198757 |
| DrugBank | 06506 |
| Состав | |
| Способы введения | |
| Oral | |

См. также
- Робалзотан
- Пиклозотан
- Налузотан
Примечания
- De Vry J., Schohe-Loop R., Heine H. G., Greuel J. M., Mauler F., Schmidt B., Sommermeyer H., Glaser T. Characterization of the aminomethylchroman derivative BAY x 3702 as a highly potent 5-hydroxytryptamine1A receptor agonist. (англ.) // The Journal of pharmacology and experimental therapeutics. — 1998. — Vol. 284, no. 3. — P. 1082—1094. — PMID 9495870.
- Dong J., de Montigny C., Blier P. Full agonistic properties of BAY x 3702 on presynaptic and postsynaptic 5-HT1A receptors electrophysiological studies in the rat hippocampus and dorsal raphe. (англ.) // The Journal of pharmacology and experimental therapeutics. — 1998. — Vol. 286, no. 3. — P. 1239—1247. — PMID 9732384.
- Alessandri B., Tsuchida E., Bullock R. M. The neuroprotective effect of a new serotonin receptor agonist, BAY X3702, upon focal ischemic brain damage caused by acute subdural hematoma in the rat. (англ.) // Brain research. — 1999. — Vol. 845, no. 2. — P. 232—235. — PMID 10536203.
- Kline A. E., Yu J., Horváth E., Marion D. W., Dixon C. E. The selective 5-HT(1A) receptor agonist repinotan HCl attenuates histopathology and spatial learning deficits following traumatic brain injury in rats. (англ.) // Neuroscience. — 2001. — Vol. 106, no. 3. — P. 547—555. — PMID 11591455.
- Mauler F., Horváth E. Neuroprotective efficacy of repinotan HCl, a 5-HT1A receptor agonist, in animal models of stroke and traumatic brain injury. (англ.) // Journal of cerebral blood flow and metabolism : official journal of the International Society of Cerebral Blood Flow and Metabolism. — 2005. — Vol. 25, no. 4. — P. 451—459. — doi:10.1038/sj.jcbfm.9600038. — PMID 15674237.
- Ohman J., Braakman R., Legout V. Repinotan (BAY x 3702): a 5HT1A agonist in traumatically brain injured patients. (англ.) // Journal of neurotrauma. — 2001. — Vol. 18, no. 12. — P. 1313—1321. — doi:10.1089/08977150152725614. — PMID 11780862.
- Lutsep H. L. Repinotan, A 5-HT1A agonist, in the treatment of acute ischemic stroke. (англ.) // Current drug targets. CNS and neurological disorders. — 2005. — Vol. 4, no. 2. — P. 119—120. — PMID 15857296.
- Berends A. C., Luiten P. G., Nyakas C. A review of the neuroprotective properties of the 5-HT1A receptor agonist repinotan HCl (BAYx3702) in ischemic stroke. (англ.) // CNS drug reviews. — 2005. — Vol. 11, no. 4. — P. 379—402. — PMID 16614737.
- Teal P., Davis S., Hacke W., Kaste M., Lyden P. D., Fierus M. A randomized, double-blind, placebo-controlled trial to evaluate the efficacy, safety, tolerability, and pharmacokinetic/pharmacodynamic effects of a targeted exposure of intravenous repinotan in patients with acute ischemic stroke: modified Randomized Exposure Controlled Trial (mRECT). (англ.) // Stroke; a journal of cerebral circulation. — 2009. — Vol. 40, no. 11. — P. 3518—3525. — doi:10.1161/STROKEAHA.109.551382. — PMID 19745176.
- Guenther U., Wrigge H., Theuerkauf N., Boettcher M.F., Wensing G., Zinserling J., Putensen C., Hoeft A. Repinotan, a selective 5-HT1A-R-agonist, antagonizes morphine-induced ventilatory depression in anesthetized rats (англ.) // Anesthesia and Analgesia : journal. — 2010. — October (vol. 111, no. 4). — P. 901—907. — doi:10.1213/ANE.0b013e3181eac011. — PMID 20802053.
