Реакция Торпа
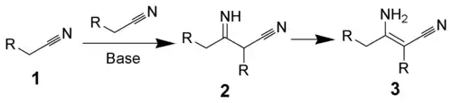
Реакция Торпа — химическая реакция самоконденсации алифатических и ароматических нитрилов, катализируемая основаниями. В результате реакции образуется соответствующий енамин.[1][2][3] Реакция была открыта Ф. Торпом.

Реакция Торпа
Реакция Торпа-Циглера
Реакция Торпа-Циглера или метод Циглера являются внутримолекулярной модификацией реакции Торпа, исходным веществом которой является динитрил, а продуктом — циклический кетон, который образуется после кислотного гидролиза промежуточного енамина.
Ссылки
- Thorpe-Ziegler reaction: 4-Phosphorinanone, 1-phenyl- Organic Syntheses, Coll. Vol. 6, p.932 (1988); Vol. 53, p.98 (1973) Один из примеров применения реакции Торпа-Циглера в органическом синтезе (англ.)
Источники
- Baron, H.; Remfry, F. G. P.; Thorpe, Y. F. {{{заглавие}}} (англ.) // Journal of the Chemical Society : journal. — Chemical Society, 1904. — Vol. 85. — P. 1726.
- Karl Ziegler. {{{заглавие}}} (нем.) // Ann. : magazin. — 1933. — Bd. 94. — S. 504.
- Schaefer, J. P.; Bloomfield, J. J. {{{заглавие}}} (неопр.) // Org. React.. — 1967. — Т. 1. — С. 15.
This article is issued from Wikipedia. The text is licensed under Creative Commons - Attribution - Sharealike. Additional terms may apply for the media files.