Реакция Перкина
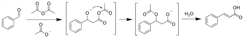
Перкина реакция — метод синтеза β-арилакриловых кислот (коричной кислоты, её производных и аналогов) взаимодействием ароматических альдегидов с ангидридами карбоновых кислот в присутствии катализаторов основного характера (щелочных солей карбоновых кислот, третичных аминов и т. п.). Разработана Уильямом Перкином в 1868 году.

The Perkin reaction
Реакция протекает по механизму:

The Perkin reaction
Литература
- Perkin, W. H.; J. Chem. Soc. 1868, 21, 53, 181.
- Perkin, W. H.; J. Chem. Soc. 1877, 31, 388.
- Johnson, J. R.; Org. React. 1942, 1, 210; Органические реакции, пер. с англ., сб. 1. M., 1948, с. 267—344.
- House, H. O. Modern Synthetic Reactions (W. A. Benjamin, Menlo Park, California, 2nd ed, 1972) pp 660–663.
- Rosen, T.; Comp. Org. Syn. 1991, 2, 395—408.
This article is issued from Wikipedia. The text is licensed under Creative Commons - Attribution - Sharealike. Additional terms may apply for the media files.