Реакция Нефа
Реакция Нефа — реакция кислотного гидролиза нитросоединений с образованием карбонильных соединений. Открыта в 1892 г. российским химиком М. И. Коноваловым и Дж. Нефом в 1894 г.
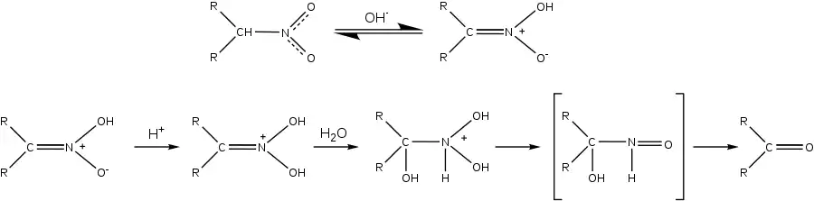
Механизм
Реакция Нефа заключается в гидролизе ацильных форм нитросоединений (нитроновых кислот), и поэтому в неё могут вступать первичные и вторичные алифатические и алициклические нитросоединения.
На первой стадии нитросоединение взаимодействует с водными или спиртовыми растворами оснований (гидроксид натрия, метанолят натрия, диметиламин), переходя в таутомерную ацильную форму:
Затем полученное соединение прибавляют к раствору минеральной кислоты (серной или соляной) с нуклеофильным присоединением молекулы воды и последующим отщеплением нитрогруппы в виде оксида азота(I):
Общая схема реакции:

Реакция Нефа позволяет получить карбонильные соединения с выходом до 80-85 %. Для этого реакция проводится при pH=0,1-1, так как в менее кислой среде нитроновые кислоты изомеризуются обратно в нитросоединение со снижением конверсии нитросоединения, а в более кислой — повышается образование побочных продуктов (оксимов, гидроксамовых и карбоновых кислот).
Реакцию Нефа используют для препаративного синтеза альдегидов и кетонов, содержащих другие функциональные группы.
Литература
- Химическая энциклопедия / Редкол.: Кнунянц И.Л. и др.. — М.: Советская энциклопедия, 1992. — Т. 3 (Мед-Пол). — 639 с. — ISBN 5-82270-039-8.
- Дж. Дж. Ли. Именные реакции. Механизмы органических реакций = Jie Jack Lee - Name Reacions. — М.: БИНОМ. Лаборатория знаний, 2006. — 456 с. — 2000 экз. — ISBN 5-94774-368-X.