Протеинфосфатаза 1
Протеинфосфатаза 1 (PP1, белковая фосфатаза 1) принадлежит к классу белковых серин/треониновых фосфатаз (шифр КФ 3.1.3.16). Было обнаружено, что PP1 важна для контроля метаболизма гликогена, сокращения мышц, клеточного развития, нейрональной активности, сплайсинга РНК, митоза,[1] деления клеток, апоптоза, синтеза белка и регуляции мембранных рецепторов и каналов.[2]

Структура
Каждый фермент PP1 содержит как каталитическую субъединицу, так и по крайней мере одну регуляторную субъединицу.[3][4] Каталитическая субъединица состоит из однодоменного белка массой 30 кДа, который может образовывать комплексы с другими регуляторными субъединицами. Каталитическая субъединица высоко консервативна у всех эукариот, что позволяет предположить наличие общего каталитического механизма. Каталитическая субъединица может образовывать комплексы с различными регуляторными субъединицами. Эти регуляторные субъединицы играют важную роль в субстратной специфичности, а также в компартментализации. Некоторые общие регуляторные субъединицы включают GM (PPP1R3A) и GL (PPP1R3B), названные по месту их действия в организме (мышцы и печень соответственно).[5] В то время как у дрожжей S. cerevisiae один ген кодируют одну каталитическую субъединицу PP1, у млекопитающих найдено четыре изоформы PP1, полученные из трех генов, дифференцированно экспрессирующихся в тканях. Чтобы регулировать эти четыре изоформы у млекопитающих существует более 100 PP1 взаимодействующих белков. Многие белки-регуляторы демонстрируют преимущественное связывание с отдельными изоформами PP1.[4]
Для каталитической субъединицы PP1 доступны рентгеноструктурные данные.[3] Каталитическая субъединица PP1 образует α / β складку с центральным β-сэндвичем, расположенным между двумя α-спиральными доменами. Взаимодействие трёх β-листов β-сэндвича создаёт канал для каталитической активности, поскольку он является местом координации ионов металлов.[6] Данные ионы металлов были идентифицированы как Mn и Fe, и их координация обеспечивается тремя гистидинами, двумя аспарагиновыми кислотами и одним аспарагином.[7]

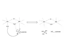
Механизм
Механизм включает связывание двух ионов металлов и активацию воды, которая инициирует нуклеофильную атаку на атом фосфора.[8]
Регуляция
Регуляция этих процессов осуществляется разными холоферментами PP1, которые облегчают комплексообразование каталитической субъединицы PP1 с различными регуляторными субъединицами.[4]
Потенциальные ингибиторы включают множество природных токсинов, включая окадаиновую кислоту, диарейный яд моллюсков, сильный промотор экспрессии генов опухоли и микроцистин.[9] Микроцистин представляет собой токсин печени, продуцируемый сине-зелеными водорослями, и содержит структуру циклического гептапептида, которая взаимодействует с тремя отдельными участками поверхности каталитической субъединицы PP1.[10] Структура MCLR не изменяется при образовании комплекса с PP1, но каталитическая субъединица PP1 изменяется, чтобы избежать стерических эффектов Tyr 276 PP1 и боковой цепи Mdha MCLR.[7]
Биологическая функция
PP1 играет решающую роль в регуляции уровня глюкозы в крови в печени и метаболизма гликогена. PP1 важен для реципрокной регуляции метаболизма гликогена, обеспечивая противоположную регуляцию распада гликогена и синтеза гликогена. Фосфорилаза а служит сенсором глюкозы в клетках печени.[11] Когда уровень глюкозы низкий, фосфорилаза а в активном состоянии R плотно связывает PP1. Данное связывание с фосфорилазой а предотвращает любую фосфатазную активность PP1 и поддерживает гликогенфосфорилазу в её активной фосфорилированной конфигурации. Таким образом, фосфорилаза a ускоряет расщепление гликогена до тех пор, пока не будет достигнут достаточный уровень глюкозы.[11] Когда концентрация глюкозы становится слишком высокой, фосфорилаза a переходит в неактивное, Т-состояние. Перемещая фосфорилазу а в её Т-состояние, PP1 диссоциирует от комплекса. Эта диссоциация активирует гликогенсинтазу и превращает фосфорилазу a в фосфорилазу b . Фосфорилаза b не связывает PP1, позволяя PP1 оставаться активированной.[11]
Когда мышцы тела сигнализируют о необходимости деградации гликогена и повышения концентрации глюкозы, PP1 будет регулироваться соответствующим образом. Протеинкиназа А может снижать активность PP1. Участок связывания гликогена, GM, фосфорилируется, что вызывает его диссоциацию от каталитического звена PP1.[11] Это разделение каталитической единицы PP1, гликогена и других субстратов вызывает значительное снижение дефосфорилирования. Кроме того, когда другие субстраты фосфорилируются протеинкиназой A, они могут связываться с каталитической субъединицей PP1 и напрямую ингибировать её.[11] В итоге фосфорилаза сохраняется в активной форме, а гликогенсинтаза — в неактивной.
Изменение активности PP1 при заболеваниях
При болезни Альцгеймера гиперфосфорилирование белка, ассоциированного с микротрубочками, ингибирует сборку микротрубочек в нейронах. Исследователи из Института фундаментальных исследований нарушений развития штата Нью-Йорк показали, что активность фосфатазы 1 в сером и белом веществах мозга при болезни Альцгеймера значительно ниже.[12] Это говорит о том, что дисфункциональные фосфатазы играют роль в болезни Альцгеймера.
Регулирование транскрипции ВИЧ-1 с помощью протеинфосфатазы 1 (PP1). Было признано, что протеинфосфатаза 1 (PP1) служит важным регулятором транскрипции ВИЧ-1. Исследователи из Университета Говарда показали, что белок Tat нацеливает PP1 на ядро, и последующее взаимодействие важно для транскрипции ВИЧ-1.[13] Белок также вносит вклад в патогенез эболавируса, дефосфорилируя активатор вирусной транскрипции VP30, позволяя ему продуцировать вирусные мРНК. Ингибирование PP1 предотвращает дефосфорилирование VP30, предотвращая, таким образом, производство вирусной мРНК и, следовательно, вирусного белка. Однако вирусная L-полимераза все ещё способна реплицировать вирусные геномы без дефосфорилирования VP30 с помощью PP1.[14]
Белок вируса простого герпеса ICP34.5 также активирует протеинфосфатазу 1, которая преодолевает клеточную стрессовую реакцию на вирусную инфекцию; протеинкиназа R активируется двухцепочечной РНК вируса, а протеинкиназа R затем фосфорилирует белок, называемый эукариотическим фактором инициации-2A (eIF-2A), который инактивирует eIF-2A. EIF-2A необходим для трансляции, поэтому, отключив eIF-2A, клетка не дает вирусу захватить свой собственный механизм, производящий белок. Герпесвирусы, в свою очередь, развили ICP34.5, чтобы победить защиту; ICP34.5 активирует протеинфосфатазу-1A, которая дефосфорилирует eIF-2A, позволяя трансляции происходить снова. ICP34.5 разделяет регуляторный домен С-конца (InterPro) с субъединицей 15A / B протеинфосфатазы 1.[15]
Субъединицы
| Протеинфосфатаза 1, каталитическая субъединица, изофермент альфа | |
|---|---|
| Обозначения | |
| Символы | PPP1CA; PP1, PP1a, MGC15877, MGC1674, PP-1A, PP1alpha, PPP1A |
| Entrez Gene | 5499 |
| HGNC | 9281 |
| OMIM | 176875 |
| RefSeq | NP_002699.1 |
| UniProt | P62136 |
| Другие данные | |
| Шифр КФ | 3.1.3.16 |
| Локус | 11-я хр. , 11q13 |
| Протеинфосфатаза 1, каталитическая субъединица, изофермент бета | |
|---|---|
| Обозначения | |
| Символы | PPP1CB; PP1, PP1b, PP1beta, PP-1B; PPP1CD; MGC3672; PP1beta; PPP1CB |
| Entrez Gene | 5500 |
| HGNC | 9282 |
| OMIM | 600590 |
| RefSeq | NP_002700.1 |
| UniProt | P62140 |
| Другие данные | |
| Шифр КФ | 3.1.3.16 |
| Локус | 2-я хр. , 2p23 |
| Протеинфосфатаза 1, каталитическая субъединица, изофермент гамма | |
|---|---|
| Обозначения | |
| Символы | PPP1CC; PP1gamma, PP1y, PP1gamma, PPP1G |
| Entrez Gene | 5501 |
| HGNC | 9283 |
| OMIM | 176914 |
| RefSeq | NP_002701.1 |
| UniProt | P36873 |
| Другие данные | |
| Шифр КФ | 3.1.3.16 |
| Локус | 12-я хр. , 12q24 |
Протеинфосфатаза 1 — мультимерный фермент, который может содержать следующие субъединицы:[16]
- каталитическая субъединица: PPP1CA, PPP1CB, PPP1CC
- регуляторная субъединица 1: PPP1R1A, PPP1R1B, PPP1R1C
- регуляторная субъединица 2: PPP1R2
- регуляторная субъединица 3: PPP1R3A, PPP1R3B, PPP1R3C, PPP1R3D, PPP1R3E, PPP1R3F, PPP1R3G
- регуляторная субъединица 7: PPP1R7
- регуляторная субъединица 8: PPP1R8
- регуляторная субъединица 9: PPP1R9A, PPP1R9B
- регуляторная субъединица 10: PPP1R10
- регуляторная субъединица 11: PPP1R11
- регуляторная субъединица 12: PPP1R12A, PPP1R12B, PPP1R12C
- регуляторная субъединица 13: PPP1R13B
- регуляторная субъединица 14: PPP1R14A, PPP1R14B, PPP1R14C, PPP1R14D
- регуляторная субъединица 15: PPP1R15A, PPP1R15B
- регуляторная субъединица 16: PPP1R16A, PPP1R16B
Как описано ранее, каталитическая субъединица всегда соединяется с одной или несколькими регуляторными субъединицами. Основным мотивом последовательности для связывания с каталитической субъединицей является «RVxF», но дополнительные мотивы позволяют использовать дополнительные сайты. В 2002 и 2007 годах сообщалось о некоторых комплексах с двумя присоединенными регуляторными субъединицами.[4]
Примечания
- “Distinct roles of PP1 and PP2A-like phosphatases in control of microtubule dynamics during mitosis”. The EMBO Journal. 16 (18): 5537—49. September 1997. DOI:10.1093/emboj/16.18.5537. PMID 9312013.
- “Identification of binding sites on protein targeting to glycogen for enzymes of glycogen metabolism”. The Journal of Biological Chemistry. 275 (45): 35034—9. November 2000. DOI:10.1074/jbc.M005541200. PMID 10938087.
- “Three-dimensional structure of the catalytic subunit of protein serine/threonine phosphatase-1”. Nature. 376 (6543): 745—53. August 1995. Bibcode:1995Natur.376..745G. DOI:10.1038/376745a0. PMID 7651533.
- “From promiscuity to precision: protein phosphatases get a makeover”. Molecular Cell. 33 (5): 537—45. March 2009. DOI:10.1016/j.molcel.2009.02.015. PMID 19285938.
- “PPP1R6, a novel member of the family of glycogen-targetting subunits of protein phosphatase 1”. FEBS Letters. 418 (1—2): 210—4. November 1997. DOI:10.1016/S0014-5793(97)01385-9. PMID 9414128.
- “Structural basis for the recognition of regulatory subunits by the catalytic subunit of protein phosphatase 1”. The EMBO Journal. 16 (8): 1876—87. April 1997. DOI:10.1093/emboj/16.8.1876. PMID 9155014.
- “The structure and mechanism of protein phosphatases: insights into catalysis and regulation”. Annual Review of Biophysics and Biomolecular Structure. 27: 133—64. 1998. DOI:10.1146/annurev.biophys.27.1.133. PMID 9646865.
- “Crystal structure of Ssu72, an essential eukaryotic phosphatase specific for the C-terminal domain of RNA polymerase II, in complex with a transition state analogue”. The Biochemical Journal. 434 (3): 435—44. March 2011. DOI:10.1042/BJ20101471. PMID 21204787.
- “Serine/threonine protein phosphatases”. The Biochemical Journal. 311 ( Pt 1) (1): 17—29. October 1995. DOI:10.1042/bj3110017. PMID 7575450.
- “Cyanobacterial microcystin-LR is a potent and specific inhibitor of protein phosphatases 1 and 2A from both mammals and higher plants”. FEBS Letters. 264 (2): 187—92. May 1990. DOI:10.1016/0014-5793(90)80245-E. PMID 2162782.
- Jeremy M. Berg. Biochemistry. — 7th ed. — New York: W.H. Freeman, 2012. — xxxii, 1054, 43, 41, 48 pages с. — ISBN 978-1-4292-2936-4, 1-4292-2936-5, 978-1-4292-7635-1, 1-4292-7635-5, 978-1-4292-7396-1, 1-4292-7396-8.
- “Phosphoprotein phosphatase activities in Alzheimer disease brain”. Journal of Neurochemistry. 61 (3): 921—7. September 1993. DOI:10.1111/j.1471-4159.1993.tb03603.x. PMID 8395566.
- “Regulation of HIV-1 transcription by protein phosphatase 1”. Current HIV Research. 5 (1): 3—9. January 2007. DOI:10.2174/157016207779316279. PMID 17266553.
- “Role of protein phosphatase 1 in dephosphorylation of Ebola virus VP30 protein and its targeting for the inhibition of viral transcription”. The Journal of Biological Chemistry. 289 (33): 22723—38. August 2014. DOI:10.1074/jbc.M114.575050. PMID 24936058.
- Oncolytic Viruses. — 2012. — Vol. 797. — P. 1–19. — ISBN 978-1-61779-339-4.
- “Protein phosphatase 1--targeted in many directions”. Journal of Cell Science. 115 (Pt 2): 241—56. January 2002. PMID 11839776.