Перегруппировка Фаворского
Перегруппировка Фаворского — перегруппировка α-галогенкетонов в карбоновые кислоты или их производные под действием оснований. Продукт реакции зависит от природы основания: в случае гидроксидов щелочных металлов образуются карбоновые кислоты, при взаимодействии с алкоголятами — сложные эфиры, в случае аминов — амиды карбоновых кислот.
Выходы перегруппировки по данным разных источников разнятся: от 15 до 94%.[1][2]
В случае циклических галогенкетонов происходит сужение цикла:


Классический вариант перегруппировки идет через образование циклопропанонового интермедиата, поэтому перегруппировку циклопропанонов в карбоновые кислоты также называют перегруппировкой Фаворского.
Реакция открыта в 1894 г. А. Фаворским[3]
Механизм реакции
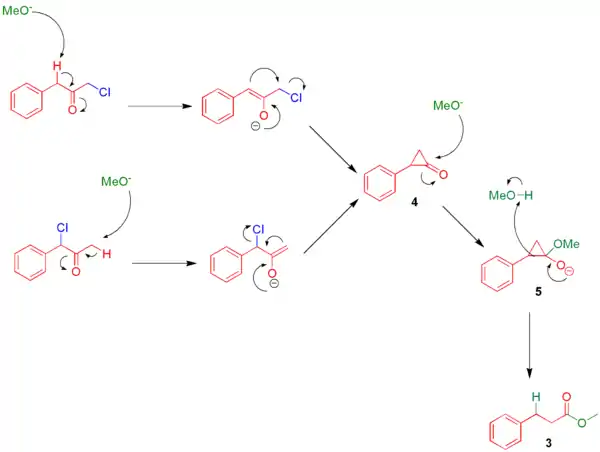
Перегруппировке Фаворского подвержены галогенкетоны различной структуры и разной степени замещености галогенами, при этом в случае моногалогенкетонов с атомами водорода в α'- и α,α'-положениях по отношению к галогену перегруппировка «симметрична»: изомерные галогенкетоны дают одну и ту же карбоновую кислоту.
В случае галогенкетонов с атомами водорода только в α-положении или вообще без водородов в α- и α'-положениях ситуация иная - перегруппировка в этом случае «асимметрична»
Классическая перегруппировка Фаворского
Начальная стадия перегруппировки Фаворского - депротонирование галогенкетона с образованием енолят-аниона, после чего


Примечания
- A A Akhrem, T K Ustynyuk, Yu A Titov. The Favorskii Rearrangement // Russian Chemical Reviews. — Т. 39, вып. 9. — С. 732–746. — doi:10.1070/rc1970v039n09abeh002019.
- Gilbert Stork, Irving J. Borowitz. The Synthesis of Substituted 1-Methylcyclohexanecarboxylic Acids and the Stereochemistry of the Favorski[UNKi Rearrangement] (EN) // Journal of the American Chemical Society. — 2002-05-01. — Т. 82, вып. 16. — С. 4307–4315. — doi:10.1021/ja01501a047.
- Favorskii, A. E. J. Russ. Phys. Chem. Soc. 1894, 26, 590.
Литература
- Зефиров Н. С. и др. Химическая энциклопедия. — М.: Большая Российская Энциклопедия, 1998. — Т. 5 (Три — Ятр). — 783 с. — ISBN 5-85270-310-9.