Основная теорема о рекуррентных соотношениях
Основная теорема о рекуррентных соотношениях (англ. Master theorem) используется в анализе алгоритмов для получения асимптотической оценки рекурсивных соотношений (рекуррентных уравнений), часто возникающих при анализе алгоритмов типа «разделяй и властвуй» (divide and conquer), например, при оценке времени их выполнения. Теорема была введена и доказана Джоном Бентли, Доротеном Хакеном и Джеймсом Хакеном в 1980 году. Теорема была популяризована в книге Алгоритмы: построение и анализ (Томас Кормен, Чарльз Лейзерстон, Рональд Ривест, Клиффорд Штайн), в которой она была приведена.
Не все рекурсивные соотношения могут быть решены с помощью основной теоремы. Существует несколько её обобщений, в том числе Akra-Bazzi method.
Описание
Рассмотрим задачу, которую можно решить рекурсивным алгоритмом:
function T(input n: размер задачи):
if n < некоторая константа k:
решить задачу относительно n нерекурсивно
else:
определить множество из a подзадач, каждая размера n/b
вызвать функцию T рекурсивно для каждой подзадачи
объединить решения
end

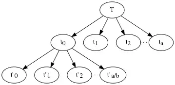
В приведённом примере алгоритм рекурсивно разделяет исходную задачу размера n на несколько новых подзадач, каждая размером n/b. Такое разбиение может быть представлено в виде дерева вызовов, в котором каждый узел соответствует рекурсивному вызову, а ветви, исходящие из узла — последующим вызовам для подзадач. Каждый узел будет иметь a ветвей. Также в каждом узле производится объём работы, соответствующий размеру текущей подзадачи n (переданному в данный вызов функции) согласно соотношению . Общий объём работы алгоритма определяется как сумма всех работ в узлах данного дерева.
Вычислительная сложность подобных алгоритмов может быть представлена в виде рекуррентного соотношения . Его можно решить путём многократных подстановок выражения .[1]
С помощью основной теоремы возможно быстрое вычисление подобных соотношений, что позволяет получить асимптотическую оценку времени работы рекурсивных алгоритмов в нотации O(n) (Θ-нотации), не производя подстановок.
Общая форма
Основная теорема рассматривает следующие рекуррентные соотношения:
В применении к анализу алгоритмов константы и функции обозначают:
- n — размер задачи.
- a — количество подзадач в рекурсии.
- n/b — размер каждой подзадачи. (Предполагается, что все подзадачи на каждом этапе имеют одинаковый размер.)
- f (n) — оценка сложности работы, производимой алгоритмом вне рекурсивных вызовов. В неё также включается вычислительная стоимость деления на подзадачи и объединения результатов решения подзадач.
Основная теорема позволяет получить асимптотическую оценку для следующих трёх случаев:
Общая форма
Если , и выполняется соотношение
тогда:
Пример
Согласно формуле, значения констант и сложности не рекурсивной части задачи:
- , где
Затем, проверяем, выполняется ли соотношение 1 варианта:
- .
Следовательно,
(Для данного примера точное решение рекуррентности даёт , при условии ).
Общая форма
Если для некоторой константы k ≥ 0 выполняется:
- где
тогда:
Пример
Согласно формуле, значения констант и сложности не рекурсивной части задачи:
- где
Проверяем соотношение варианта 2:
- , и следовательно,
В соответствии с 2 вариантом основной теоремы:
Таким образом, рекуррентное соотношение T(n) равно Θ(n log n).
(Этот результат может быть проверен точным решением соотношения, в котором , при условии .)
Общая форма
Если выполняется:
- где
а также верно, что:
- для некоторой константы и достаточно больших (так называемое условие regularity condition)
тогда:
Пример
Значения констант и функции:
- , где
Проверяем, что выполняется соотношение из варианта 3:
- , и, следовательно,
Также выполняется соотношение regularity condition:
- , при выборе
Следовательно, согласно 3 варианту основной теоремы:
Данное рекуррентное соотношение T(n) равно Θ(n2), что совпадает с f (n) в изначальной формуле.
(Этот результат подтверждается точным решением рекуррентности, в котором , при условии .)
Выражения, не решаемые основной теоремой
Следующие соотношения не могут быть решены с применением основной теоремы:[2]
-
- a не является константой, для основной теоремы требуется постоянное количество подзадач;
-
- между f(n) и существует неполиномиальная зависимость;
-
- a<1, но основная теорема требует наличия хотя бы одной подзадачи;
-
- f(n) является отрицательной величиной;
-
- близко к варианту 3, но не выполняется regularity condition.
Во втором примере разница между и может быть выражена соотношением . Из него видно, что для любой константы . Следовательно, разница не является полиномом и основная теорема неприменима.
Применение к некоторым алгоритмам
| Алгоритм | Рекуррентное соотношение | Время работы | Примечание |
|---|---|---|---|
| Двоичный поиск | Основная теорема, 2 вариант: , где [3] | ||
| Обход бинарного дерева | Основная теорема, 1 вариант: где [3] | ||
| Алгоритм Штрассена | Основная теорема, 1 вариант: , где [4] | ||
| Optimal Sorted Matrix Search | Теорема Akra-Bazzi для и для получения | ||
| Сортировка слиянием | Основная теорема, 2 вариант: , где |
См. также
Примечания
- Duke University, "Big-Oh for Recursive Functions: Recurrence Relations", http://www.cs.duke.edu/~ola/ap/recurrence.html
- Massachusetts Institute of Technology (MIT), "Master Theorem: Practice Problems and Solutions", http://www.csail.mit.edu/~thies/6.046-web/master.pdf (недоступная+ссылка)
- Dartmouth College, http://www.math.dartmouth.edu/archive/m19w03/public_html/Section5-2.pdf
- A Master Theorem for Discrete Divide and Conquer Recurrences
Литература
- Кормен, Т., Лейзерсон, Ч., Ривест, Р., Штайн, К. Алгоритмы: построение и анализ = Introduction to Algorithms. — 2-е. — М.: Вильямс, 2005. — 1296 с. — ISBN 5-8459-0857-4. Главы 4.3 (основная теорема) и 4.4 (доказательство)
- Cormen, Thomas H.; Leiserson, Charles E.; Rivest, Ronald L.; Stein, Clifford. Introduction to Algorithms. — 2nd. — MIT Press and McGraw-Hill, 2001. — ISBN 0-262-53196-8. Sections 4.3 (The master method) and 4.4 (Proof of the master theorem), pp. 73-90. (англ.)
- Michael T. Goodrich and Roberto Tamassia. Algorithm Design: Foundation, Analysis, and Internet Examples. Wiley, 2002. ISBN 0-471-38365-1. The master theorem (including the version of Case 2 included here, which is stronger than the one from CLRS) is on pp. 268—270. (англ.)
- CHAPTER 5. RECURSION AND RECURRENCES 5.2 The Master Theorem, CS 21/Math 19 — Course Notes, Ken Bogart and Cliff Stein: Discrete Math in Computer Science.