Нокодазол
Нокодазол — органическое соединение, обладающее антимитогенной и антинеопластической активностью, достигаемой за счёт деполимеризации микротрубочек в цитоплазме клеток[1]. Применяется при экспериментальной химиотерапии злокачественных опухолей in vitro и in vivo [2][3][4].
| Нокодазол | |
|---|---|
| |
| Общие | |
| Систематическое наименование |
Метил (5-[2-тиенилкарбонил]-1H-бензимидазол-2-ил |
| Хим. формула | C14H11N3O3S |
| Физические свойства | |
| Состояние | твёрдое, белый порошок с желтоватым оттенком |
| Молярная масса | 301,3 г/моль |
| Термические свойства | |
| Температура | |
| • плавления | 256 °C |
| Классификация | |
| Рег. номер CAS | 31430-18-9 |
| PubChem | 4122 |
| Рег. номер EINECS | 250-626-5 |
| SMILES | |
| InChI | |
| ChEBI | 34892 |
| ChemSpider | 3979 |
| Приведены данные для стандартных условий (25 °C, 100 кПа), если не указано иное. | |
Сходным действием обладают некоторые другие вещества, например винкристин и колцемид. Нокодазол широко применяется в медицинских и биологических исследованиях, например для синхронизации клеточного цикла и фрагментацию комплекса Гольджи[5].
Механизм действия
Вызывает остановку клеточного цикла в G2 или М фазе. Механизм действия связан с нарушением полимеризации микротрубочек, в результате чего они теряют способность прикрепиться к кинетохорам и деление клетки останавливается. Для исследовательских целей нокодазол обычно применяется в концентрации 40—100 нг/мл в течение 12 — 18 часов. Длительная остановка клеточного цикла в митозе обычно приводит к запуску процесса апоптоза в клетке.
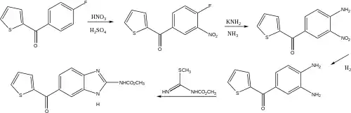
Синтез
Нокодазол может быть синтезирован из (4-фторфенил)(тиофен-2-ил)метанона.
Примечания
- R J Vasquez, B Howell, A M Yvon, P Wadsworth, and L Cassimeris. Nanomolar concentrations of nocodazole alter microtubule dynamic instability in vivo and in vitro (англ.) // Mol Biol Cell.. — 1997. — Iss. June; 8(6):. — P. 973–985..
- Hye Joung Choi, Masayuki Fukui, and Bao Ting Zhu. Role of Cyclin B1/Cdc2 Up-Regulation in the Development of Mitotic Prometaphase Arrest in Human Breast Cancer Cells Treated with Nocodazole // PLoS One.. — 2011; 6(8): e24312..
- Jordan MA, Wilson L. Microtubules and actin filaments: dynamic targets for cancer chemotherapy. // Curr Opin Cell Biol.. — 1998 Feb;10(1):123-130.. — PMID PMID: 9484604.
- Ghanem Atassi, H.J. Tagnon. R17934-NSC 238159: A new antitumor drug—I. Effect on experimental tumors and factors influencing effectiveness // European Journal of Cancer.. — 1975; 11 : 599-607..
- 10. Storrie B., Yang W. Dynamics of the interphase mammalian Golgi complex as revealed through drugs producing reversible Golgi disassembly (англ.) // Biochim. Biophys. Acta.. — 1998. — Iss. Aug 14; 1404(1-2):. — P. 127-137..

