Метальдегид
Метальдеги́д (метаацетальдегид) — органическое соединение, продукт полимеризации уксусного альдегида (СН3СНО)n, где n=4—6, один из видов так называемого твёрдого (сухого) спирта.
| Метальдегид | |
|---|---|
| |
| Общие | |
| Систематическое наименование |
2,4,6,8-тетраметил-1,3,5,7-тетрооксаметаацетальдегид |
| Традиционные названия | Метальдегид |
| Хим. формула | C8H16O4 |
| Рац. формула | C8H16O4 |
| Физические свойства | |
| Состояние | Твёрдое |
| Молярная масса | 176,2 г/моль |
| Плотность | 1270 кг/м3 г/см³ |
| Термические свойства | |
| Температура | |
| • плавления | 45,5 °C |
| • сублимации | 110-120 °C |
| Давление пара | 0,3 атм |
| Химические свойства | |
| Растворимость | |
| • в воде | нерастворим |
| • в спирте | нерастворим |
| Классификация | |
| Рег. номер CAS | 108-62-3 |
| PubChem | 61021 |
| Рег. номер EINECS | 203-600-2 |
| SMILES | |
| InChI | |
| ChEBI | 81931 |
| ChemSpider | 54981 и 21428295 |
| Безопасность | |
| Предельная концентрация | 0,2 мг/м3 |
| ЛД50 |
100 (мыши, внутрижелудочно), 90 (мыши, перорально), 91-129 (крысы, перорально) |
| Токсичность | токсичен, вызывает привыкание, ирритант |
| NFPA 704 | |
| Приведены данные для стандартных условий (25 °C, 100 кПа), если не указано иное. | |
Физические свойства
Метальдегид при нормальных условиях — твёрдое вещество без цвета и вкуса, со слабым характерным запахом, нерастворимое в воде и спиртах. Благодаря наличию метильных групп при 8-членном кольце он имеет изомеры (энантиомеры)
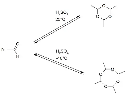
Получение
Уксусный альдегид при температуре ниже −10 °C полимеризуется в присутствии разбавленной серной кислоты (1:1) образуется метальдегид, при комнатной температуре образуется паральдегид.

Реакция обратима, так при кипячении при 80 °C в присутствии кислоты метальдегид распадается на уксусный альдегид.
Применение
Пестициды
Он продавался под разными марками как средство против моллюсков: Antimilice, Ariotox, Cekumeta, Deadline, Halizan, Limatox, Limeol, Meta, Metason, Mifaslug, Namekil, Slug Fest Colloidel 25 и Slugit. Метальдегид действует на вредителей контактно или при проглатывании, и в водном окружении внутри клетки вредителя легко гидролизуется до ацетальдегида, молекулы ассоциирующейся с похмельем.
Другие применения
Метальдегид также используется в виде «сухого горючего». До сих пор продаётся в форме таблеток для маленьких печек, и для предварительного разогрева примусов.
Безопасность
Метальдегид имеет характер токсичности аналогичную ацетальдегиду. ДСД (допустимая суточная доза, мг/кг массы тела человека)- 0,006. ПДК в воздухе рабочей зоны — 0,2 мг/м³. ПДК в атмосферном воздухе — 0,003 мг/м³.

