Меркузал
Меркузал[1] -- мощнейший диуретик. В настоящее время не применяют из-за общей токсичности. Бесцветная или слабо окрашенная прозрачная жидкость щелочной реакции. Химическая формула - C21H26O8N3HgNa.
| Меркузал | |
|---|---|
| Mercusalum | |
| |
| Химическое соединение | |
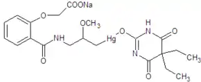
| ИЮПАК | мононатриевая соль соединения ангидроформы карбоксиметилового эфира 2-метокси-3-ртутьоксипропиламида салициловой кислоты с 5,5-диэтилбарбитуровой кислотой |
| Брутто-формула | C21H26N3O8Na |
| Состав | |
| Классификация | |
| Фармакол. группа | Мочегонные средства |
| Лекарственные формы | |
| ампулы | |
| Другие названия | |
| Mersalin, Mersalyl, Salyrgan | |
Механизм действия
Меркузал является одним из наиболее сильных диуретических средств. Повышение диуреза под влиянием меркузала в основном зависит от его прямого действия на почки. По этому поводу имеются убедительные экспериментальные данные. Во-первых, как показал Govarts, при трансплантации почки собаки, предварительно получавшей препарат типа меркузала, на шею нормальной собаки, не получавшей его, пересаженная почка продолжает выделять повышенное количество мочи, а при трансплантации почки нормальной собаки на шею собаки, которой введен препарат, пересаженная почка повышенного диуреза не дает. Во-вторых, как показал Bertram, при инъекции меркузала в почечную артерию с одной стороны диурез повышается только в соответствующей почке, а другая почка повышенного диуреза не дает.
Усиление диуреза при действии меркузала происходит за счет уменьшения реабсорбции в канальцевом аппарате почек. Опыты на человеке с креатиновой пробой полностью подтверждают такой принцип в действии меркузала.
Меркузал связывает сульфгидрильные (SH) группы ферментных систем почек, в частности сукциндегидраз, вследствие чего процесс реабсорбции в канальцах ослабевает. Доказательством этого служит тот факт, что димеркаптопурины, способные отщеплять SH-группы, резко ослабляют диуретическое действие меркузала. Понижение канальцевой реабсорбции приводит к значительному увеличению выделения ионов хлора и натрия, что влечет за собой усиление диуреза.
Диуретическое действие меркузала в некоторой степени зависит от экстраренальных факторов. Так, путём понижения гидрофильности тканей меркузал способствует выделению воды из организма.
Фармакокинетика
Диуретический эффект под влиянием меркузала наступает через 1—2 часа после внутривенного или через 2—4 часа после внутримышечного введения и продолжается 24—48 часов.
Применение
Меркузал применяют при нефрозах с выраженными отеками, при отеках на почве хронической недостаточности сердца, при застое в системе воротной вены на почве цирроза печени.
Вводят препарат внутримышечно в утренние часы по 0,5—1 мл 1 раз в 4—5 дней. Высшая разовая доза в мышцу 1 мл.
Для усиления диуретического действия меркузала можно пользоваться хлоридом аммония, который назначают по 1—2 г 5 раз в день в облатках или в водном растворе. Хлорид аммония способствует диурезу при действии меркузала, вызывая сдвиг буферной системы организма в кислую сторону. При отеках сердечного происхождения, кроме меркузала, целесообразно назначать сердечные гликозиды.
Токсичность и противопоказания
Токсическое действие меркузала определяется ионами ртути, и отравление им протекает так же, как отравление другими соединениями ртути. Меркузал противопоказан при острых и хронических нефритах, нефросклерозе, амилоидозе почки, острых колитах.
Примечания
- Закусов В.В. Фармакология. М., Медицина, 1966
