Ментон (вещество)
Ментон — два изомерных вещества, относящиеся к терпеноидам. Существуют в виде двух изомеров:
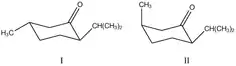
- I — транс-изомер (собственно ментон)
- II — цис-ментон (изоментон)
Ментон | |
|---|---|
![]() | |
Общие | |
| Хим. формула | C₁₀H₁₈O |
Термические свойства | |
| Т. всп. | 77 ℃ |
| Т. воспл. | 391 ℃ |
Классификация | |
| Номер CAS | 89-80-5 |
| Номер EINECS | 201-941-1 |
| ChEBI | 36503 |
| DrugBank | DB15920 |
Безопасность | |
| ЛД50 | 2,18 мг/кг |
| Приводятся данные для стандартных условий (25 ℃, 100 кПа), если не указано иное. | |
Свойства
Оба изомера являются бесцветными вязкими жидкостями с запахом мяты и горьким вкусом. Хорошо растворимы в органических растворителях, в воде растворяются плохо.
Свойства изомеров ментона:
| Показатель | Ментон | Изоментон | ||
|---|---|---|---|---|
| Оптически активный* | Рацемат | Оптически активный** | Рацемат | |
| Tпл, °C | — | |||
| Tкип, °C/мм.рт.ст. | ||||
| d420 | — | |||
| nD20 | ||||
- * [α]D20 +24,8° и −29,6°
- **[α]D20 +95° и −94,3°
Температурные пределы взрываемости 71-96 °C
Ментон и изоментон способны взаимно превращаться друг в друга под действием кислот и оснований. Преобладающей формой (около 70 %) является ментон.
Оба соединения являются типичными кетонами и вступают во все характерные для кетонов реакции. При нагревании над медью при 300 °C превращаются в тимол.
Нахождение в природе
Оба изомера содержатся в эфирном масле перечной мяты, а также гераниевом и буковом, из которых их получают ректификацией (фракция с температурой кипения 204—212oC).
Синтез ментона может быть осуществлён восстановлением пулегона или пиперитона; окислением или дегидрированием ментола; гидрированием тимола в присутствии палладия.
Применение
Ментон применяется для ароматизации средств ухода за зубами; как сырьё для получения ментола. Изоментон используют для получения его оксима, относящегося к душистым веществам.
Литература
- Меди — Полимерные// Химическая энциклопедия в 5 томах. — М.: Большая Российская Энциклопедия, 1992. — Т. 3. — 639 с.
