Магдебургские полушария
Магдебургские полушария — эксперимент немецкого физика Отто фон Герике для демонстрации силы давления воздуха и изобретённого им воздушного насоса[1][2].

В эксперименте использовались «два медных полушария около 14 дюймов (35,5 см) в диаметре, полые внутри и прижатые друг к другу». Из собранной сферы выкачивался воздух, и полушария удерживались давлением внешней атмосферы.
_1969%252C_MiNr_1514.jpg.webp)
В 1654 году в Регенсбурге фон Герике продемонстрировал эксперимент Рейхстагу в присутствии императора Фердинанда III. После выкачивания из сферы воздуха 16 лошадей, по 8 с каждой стороны, не смогли разорвать полушария. Неизвестно, использовались ли лошади с обеих сторон для большей зрелищности или по незнанию самого физика, ведь можно было заменить половину лошадей неподвижным креплением, без потери силы воздействия на полушария[3].
В 1656 году Герике повторял эксперимент в Магдебурге, а в 1663-м — в Берлине с 24 лошадьми.

Оригинальные полушария хранятся в Немецком музее в Мюнхене.
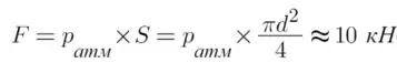
Вычисление силы, сдавливающей два полушария
По определению p = , тогда

Здесь за атмосферное давление принимается величина 100кП( примерно 760 мм. рт. ст.)
Примечания
- Культура Германии, 2006.
- ПЕРИОД ПРЕОБЛАДАНИЯ ЭКСПЕРИМЕНТАЛЬНОЙ ФИЗИКИ. ЧАСТЬ I. alexandr4784.narod.ru. Дата обращения: 6 апреля 2021.
- Я. И. Перельман, Занимательная механика, с. 25-26
Литература
- Маркина Л. Г. MAGDEBURGER HALBKUGELN МАГДЕБУРГСКИЕ ПОЛУШАРИЯ // Культура Германии: лингвострановедческий словарь / под общей редакцией проф. Н. В. Муравлёвой. — М.: АСТ, 2006. — С. 604—605. — 1181 с. — 3000 экз. — ISBN 5-17-038383-5.
Ссылки
- Магдебургские полушария // Энциклопедический словарь Брокгауза и Ефрона : в 86 т. (82 т. и 4 доп.). — СПб., 1890—1907.