Комплементарность (биология)
Комплемента́рность (в химии, молекулярной биологии и генетике) — взаимное соответствие молекул биополимеров или их фрагментов, обеспечивающее образование связей между пространственно взаимодополняющими (комплементарными) фрагментами молекул или их структурных фрагментов вследствие супрамолекулярных взаимодействий (образование водородных связей, гидрофобных взаимодействий, электростатических взаимодействий заряженных функциональных групп и т. п.).
.PNG.webp)
Взаимодействие комплементарных фрагментов или биополимеров не сопровождается образованием ковалентной химической связи между комплементарными фрагментами, однако из-за пространственного взаимного соответствия комплементарных фрагментов приводит к образованию множества относительно слабых связей (водородных и ван-дер-ваальса) с достаточно большой суммарной энергией, что приводит к образованию устойчивых молекулярных комплексов.
Механизм каталитической активности ферментов определяется комплементарностью фермента и переходного состояния либо промежуточного продукта катализируемой реакции — и в этом случае может происходить обратимое образование химической связи.
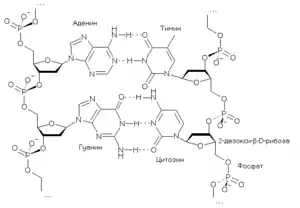
Комплементарность нуклеиновых кислот
В случае нуклеиновых кислот — как олиго- так и полинуклеотидов, азотистые основания нуклеотидов способны вследствие образования водородных связей формировать парные комплексы аденин—тимин (или урацил в РНК) и гуанин—цитозин при взаимодействии цепей нуклеиновых кислот. Такое взаимодействие играет ключевую роль в ряде фундаментальных процессов хранения и передачи генетической информации: репликации ДНК, обеспечивающей передачу генетической информации при делении клетки, транскрипции ДНК в РНК при синтезе белков, кодируемых ДНК гена, хранении генетической информации в двухцепочечной ДНК и процессах репарации ДНК при её повреждении.
Ферментативный катализ
Комплементарное связывание фермент-субстрат является ключевым фактором в механизме ферментативной активности и, в отличие от описанных выше ситуаций с образованием химически несвязанных комплексов может приводить к инициированию химической реакции — в случае связи фермента с субстратом комплементарность относительно невысока, однако при высокой комплементарности к переходному реакционному состоянию субстрата происходит стабилизация этого состояния, что приводит к эффекту каталитической активности ферментов: такая стабилизация переходного состояния эквивалентна снижению энергии активации и, соответственно, резкому увеличению скорости реакции.