Карбодиимиды
Карбодиими́ды — органические соединения с общей формулой RN=C=NR'. Наиболее изученным представителем является 1,3-дициклогексилкарбодиимид.

Физические свойства
Карбодиимиды — жидкие или твёрдые вещества, при перегонке частично разлагаются и полимеризуются. Стабильность их возрастает с удлинением алкильных радикалов в молекуле, а также при наличии вторичных, третичных и ароматических радикалов.
Методы синтеза
Карбодиимиды могут быть получены дегидратацией N,N'-дизамещенных мочевин под действием фосфорного ангидрида либо толуолсульфохлорида или отщеплением сероводорода от N,N'-дизамещенных тиомочевин при воздействии HgO, PbO либо фосгена либо тионилхлорида.
Карбодиимиды также могут быть синтезированы из изоцианатов взаимодействием с иминофосфоранами (имидирование по Штаудингеру), реакция идет по типу реакции Виттига:
- R-N=PPh3 + R'-NCO R'-N=C=N-R + Ph3P=O
либо димеризацией изоцианатов по механизму 1,2-циклоприсоединения с последующим отщеплением CO2, протекающей при катализе фосфиноксидами или карбонилами железа, вольфрама и молибдена: 2ArN=C=O ArN=С=NAr + СО2
Реакционная способность
Карбодиимиды являются гетерокумуленами и их реакционная способность определяется высокой электрофильностью sp-гибридизованного атома углерода. Они очень легко реагируют с различными нуклеофилами, образуя разнообразные продукты присоединения.
С аминами карбодиимиды образуют замещенные гуанидины:
- R-N=C=N-R1 + R2NH2 R-N=C(NHR1)NHR2
Вода и сероводород присоединяются к карбодиимидам с образованием замещенных мочевин и тиомочевин:
- R-N=C=N-R1 + H2X RNHC(=X)NHR1,
спирты и тиолы — с образованием O-алкилизомочевин и S-алкилизотиомочевин:
- R-N=C=N-R1 + R2XH RNHC(=NR1)XR2
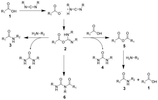
Карбодиимиды также реагируют с карбоновыми кислотами с образованием О-ацилизомочевин — высокореакционноспособных соединений, реагирующих с различными нуклеофилами с отщеплением мочевины и образованием ацилпроизводного, эта реакция нашла широкое применение в органическом синтезе:
- R-N=C=N-R1 + R2COOH RNHC(=NR1)OCOR2
- RNHC(=NR1)OCOR2 + NuH RNHCONHR1 + R2 CONu
Взаимодействие карбодиимидов с щавелевой кислотой ведет к её дегидратации с образованием соответствующей мочевины и выделением оксида и диоксида углерода, эта реакция используется при количественном определении карбодиимидов по количеству выделившейся оксида углерода:
- RN=C=NR1 + (СООН)2 RNHCONHR1 + СО + СО2
Применение в органическом синтезе
Водорастворимые карбодиимиды используют в синтезах амидов для активации карбоксильных групп (-COOH).

Активированный карбоксильный компонент способен легко взаимодействовать с аминами, в результате чего образуется амид и соответствующее производное мочевины.
Реакцию обычно проводят при pH 4,5-5.

Этот метод нашёл широкое применение в синтезе пептидов.
Литература
- Досон Р., Эллиот Д., Эллиот У., Джонс К. Справочник биохимика. — М.: Мир, 1991. — С. 326.
Ссылки
- [www.xumuk.ru/encyklopedia/1877.html Статья о карбодиимидах на "XuMuK.ru"]. Дата обращения: 20 января 2009.
- Герцюк М. Н., Сергеев В. Н., Цытович А. В., Долинная Н. Г., Кухарь В. П. Синтез и реакционная способность новых растворимых карбодиимидов (pdf). Журнал "Биоорганическая химия", ISSN 1998-2860 (Online). Российская академия наук, Институт Биоорганической Химии им. академиков М.М. Шемякина и Ю.А. Овчинникова. — Онлайн-версия журнала "Биоорганическая химия" (ISSN 0132-3423 (Print), номер 9, 1990 г. - опубликовано с 2006 года). Дата обращения: 20 января 2009. Архивировано 18 февраля 2012 года.