Ингибиторы ацетилхолинэстеразы
Ацетилхолинэстераза — это фермент, который является основным членом семейства ферментов холинэстеразы.[1] Ингибитор ацетилхолинэстеразы (AChEI) замедляет расщепление ацетилхолинэстеразой ацетилхолина на холин и ацетат, тем самым повышая уровень и продолжительность действия нейромедиатора ацетилхолина в центральной нервной системе, вегетативных ганглиях и нервно-мышечных соединениях, которые богаты рецепторами ацетилхолина.[2] Ингибиторы ацетилхолинэстеразы представляют собой один из двух типов ингибиторов холинэстеразы; другой тип — ингибиторы бутирилхолинэстеразы.[2]

Ингибиторы ацетилхолинэстеразы классифицируются как обратимые, необратимые или квазинеобратимые (также называемые псевдонеобратимые).[3][4]
Механизм действия
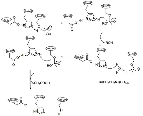
Органофосфаты, такие как ТЭПФ и зарин, ингибируют холинэстеразы, ферменты, которые гидролизуют нейромедиатор ацетилхолин. Активный центр холинэстераз имеет два важных участка, а именно анионный участок и эстеразный участок. После связывания ацетилхолина с анионным участком холинэстеразы ацетильная группа ацетилхолина может связываться с эстеразным участком. Важными аминокислотными остатками в эстеразном участке являются глутамат, гистидин и серин. Эти остатки опосредуют гидролиз ацетилхолина.

В эстеразном участке ацетилхолин расщепляется, что приводит к образованию свободной холиновой части и ацетилированной холинэстеразы. Это ацетилированное состояние требует гидролиза для собственной регенерации.[3][5] Ингибиторы, подобные ТЭПФ, изменяют остаток серина в эстеразном участке холинэстеразы.

Данное фосфорилирование ингибирует связывание ацетильной группы ацетилхолина с эстеразным участком холинэстеразы. Поскольку ацетильная группа не может связывать холинэстеразу, ацетилхолин не может расщепляться. Таким образом, ацетилхолин останется нетронутым и будет накапливаться в синапсах. Это приводит к постоянной активации рецепторов ацетилхолина, что приводит к острым симптомам отравления, например, ТЭПФ.[6] Фосфорилирование холинэстеразы ТЭПФ (или любым другим органофосфатом) необратимо. Это делает ингибирование холинэстеразы перманентным.[3][5]
Холинэстераза необратимо фосфорилируется по следующей схеме реакции
На этой схеме реакции E обозначает холинэстеразу, PX — молекулу ТЭПФ, E — PX — обратимую фосфорилированную холинэстеразу, k3 — скорость реакции второй стадии, EP — фосфорилированную холинэстеразу, а X — уходящую группу ТЭПФ.
Необратимое фосфорилирование холинэстеразы происходит в два этапа. На первом этапе холинэстераза обратимо фосфорилируется. Эта реакция очень быстрая. Затем происходит вторая стадия. Холинэстераза образует очень стабильный комплекс с ТЭПФ, в котором ТЭПФ ковалентно связан с холинэстеразой. Текущая стадия является медленной реакцией. Но после данной стадии холинэстераза необратимо подавляется.[3]
Зависящее от времени необратимое ингибирование холинэстеразы можно описать следующим уравнением.[3]
В этой формуле E — оставшаяся активность фермента, E0 — начальная активность фермента, t — временной интервал после смешивания холинэстеразы и ТЭПФ, KI — константа диссоциации комплекса холинэстераза-ТЭПФ (E-PX) и I — концентрация ТЭПФ.
Механизм реакции и приведенная выше формула также совместимы с другими органофосфатами. Процесс происходит точно так же.
Кроме того, некоторые органофосфаты могут вызывать OPIDN — отсроченную полинейропатию, индуцированную органофосфатами. Это заболевание, которое характеризуется дегенерацией аксонов в периферической и центральной нервной системе. Это заболевание проявится через несколько недель после заражения органофосфатами. Считается, что neuropathy target esterase(NTE) зависит от органофосфата, который вызывает заболевание. Однако не найдено никаких доказательств, которые указывают на то, что ТЭПФ является одним из органофосфатов, которые могут вызывать OPIDN.[7]
Использование
Ингибиторы ацетилхолинэстеразы:[3]
- Встречаются в естественной среде в виде ядов (например, онхидал)
- Используются в качестве оружия (нервно-паралитические вещества)
- Используются как инсектициды (например, малатион)
- В лечебных целях используются:
- Для лечения миастении. При миастении они используются для усиления нервно-мышечной передачи
- Для лечения глаукомы
- Для лечения синдрома постуральной тахикардии
- Как противоядие при холинолитических отравлениях
- Чтобы обратить эффект недеполяризующих миорелаксантов
- Для лечения психоневрологических симптомов таких заболеваний, как болезнь Альцгеймера, особенно апатии
- Для увеличения шансов на осознанные сновидения (путем продления фазы быстрого сна)[8]
- Для лечения деменции с тельцами Леви и болезни Паркинсона. При этих нейродегенеративных заболеваниях AChEI главным образом используются для лечения когнитивных (в основном, нарушений памяти и обучаемости) симптомов деменции. Эти симптомы ослабляются благодаря роли ацетилхолина в познавательной деятельности в ЦНС. Есть некоторые свидетельства того, что AChEI могут ослаблять психотические симптомы (особенно зрительные галлюцинации) при болезни Паркинсона[9]
- Для лечения когнитивных нарушений у больных шизофренией. Есть некоторые данные, свидетельствующие об эффективности лечения положительных, отрицательных и аффективных симптомов[10][11][12]
- Для лечения аутизма и для увеличения процента фазы быстрого сна у детей, больных аутизмом, в соответствии с механизмом, с помощью которого они стимулируют осознанные сновидения[13][14]
Руководства и рекомендации
В клинических рекомендациях по медикаментозному лечению людей с деменцией рекомендуется испытать AChE ингибитор у людей с ранней и средней стадиями деменции. Эти руководящие принципы, известные как Medication appropriateness tool for co‐morbid health conditions in dementia criteria (MATCH-D), предполагают, что эти лекарства, по крайней мере, рассматриваются к применению.[15]
Побочные эффекты
| Возможные побочные эффекты ингибиторов ацетилхолинэстеразы[16][17] | |||
|---|---|---|---|
| мягкие — обычно проходят | потенциально серьёзные | ||
| |||
Некоторые основные эффекты ингибиторов холинэстеразы:
- Воздействие на парасимпатическую нервную систему (парасимпатическая ветвь вегетативной нервной системы) может вызвать брадикардию, гипотензию, гиперсекрецию, бронхоспазм, диарею и снижение внутриглазного давления, повышение тонуса нижнего пищеводного сфинктера (НПС).
- Холинергический криз.
- Могут вызвать продолжительное сокращение мышц.[18]
- Эффекты неостигмина на послеоперационную тошноту и рвоту противоречивы, и в клинической практике нет четкой связи, однако есть убедительные доказательства, подтверждающие снижение риска при применении антихолинергических средств.[19]
Назначение обратимых ингибиторов холинэстеразы противопоказано тем, у кого есть задержка мочи из-за обструкции уретры.
Передозировка
Гиперстимуляция никотиновых и мускариновых рецепторов.[3]
Фаза титрования
При использовании в центральной нервной системе для облегчения неврологических симптомов, как при использовании ривастигмина при болезни Альцгеймера, все ингибиторы холинэстеразы требуют постепенного увеличения доз в течение нескольких недель, и это обычно называется фазой титрования. Многие другие виды медикаментозного лечения могут потребовать фазу титрования или повышения. Эта стратегия используется для формирования толерантности к побочным эффектам или для достижения желаемого клинического эффекта.[17] Это также предотвращает случайную передозировку и поэтому рекомендуется при начале лечения чрезвычайно сильнодействующими и/или токсичными препаратами (препаратами с низким терапевтическим индексом).
Примеры
Обратимый ингибитор
Соединения, которые действуют как обратимые конкурентные или неконкурентные ингибиторы холинэстеразы, наиболее вероятно найдут терапевтическое применение. Они включают в себя:
- Некоторые органофосфаты, не перечисленные ниже в разделе «Необратимые»
- Карбаматы
- Физостигмин
- Неостигмин
- Пиридостигмин
- Амбеноний
- Демекариум
- Ривастигмин
- Производные фенантрена
- Кофеин — неконкурентный (также антагонист аденозиновых рецепторов)[20]
- Розмариновая кислота — эфир кофейной кислоты. Встречается в растениях видов семейства Lamiaceae.[21]
- Альфа-пинен — неконкурентный обратимый[22][23]
- Пиперидины
- Такрин, также известный как тетрагидроаминоакридин (THA')
- Эдрофониум
- Гуперзин А[24][25]
- Ладостигил
- Унгеремин[26]
- Лактукопикрин
- Акотиамид
- Гибридные/битопные лиганды[27]
Сравнительная таблица
| Ингибитор | Продолжительность | Главное место воздействия | Клиническое использование | Побочные эффекты |
|---|---|---|---|---|
| Эдрофониум | короткая (10 мин.)[28] | нервномышечное соединение[28] | диагностика миастении[28] | |
| Неостигмин | средняя (1–2 ч.)[28] | нервномышечное соединение[28] | нейтрализация нервно-мышечного блока (внутривенно)[28];
лечение миастении (перорально)[28] |
висцеральные[28] |
| Физостигмин | средняя (0.5–5 ч.)[28] | постганглионарные волокна парасимпатической системы[28] | лечение глаукомы (глазные капли)[28] | |
| Пиридостигмин | средняя (2–3 ч.)[28] | нервномышечное соединение[28] | лечение миастении (перорально)[28] | |
| Дифлос | длительная[28] | постганглионарные волокна парасимпатической системы[28] | исторически им лечили глаукому (глазные капли)[28] | токсичен[28] |
| Эхотиофат (обратимый) | длительная[28] | постганглионарные волокна парасимпатической системы[28] | лечение глаукомы (глазные капли)[28] | системные эффекты[28] |
| Паратион (обратимый) | длительная[28] | нет[28] | токсичен[28] |
Квазинеобратимый ингибитор
Соединения, которые действуют как квазинеобратимые ингибиторы холинэстеразы, наиболее вероятно могут быть использованы в качестве химического оружия или пестицидов.
- Органофосфаты
- Уретаны
- Алдикарб
- Бендиокарб
- Буфенкарб
- Карбарил
- Карбендазим
- Карбетамид
- Карбофуран
- Карбосульфан
- Хлорбуфам
- Хлорпрофам
- Этиофенкарб
- Форметанат
- Метиокарб
- Метомил
- Оксамил
- Фенмедифам
- Пинмикарб
- Пиримикарб
- Пропамокарб
- Propham
- Пропоксур
- Атипичные ингибиторы
- Онхидал
- Кумарины
См. также
Примечания
- Seth. 23 // Textbook of pharmacology. — Third edition. — New Delhi, 2009. — С. III.87. — 1 volume (various pagings) с. — ISBN 8131211584.
- Brett A. English, Andrew A. Webster. Acetylcholinesterase and its Inhibitors (англ.) // Primer on the Autonomic Nervous System. — Elsevier, 2012. — P. 631–633. — ISBN 978-0-12-386525-0. — doi:10.1016/b978-0-12-386525-0.00132-3.
- Colović MB, Krstić DZ, Lazarević-Pašti TD, Bondžić AM, Vasić VM. Acetylcholinesterase inhibitors: pharmacology and toxicology (англ.) // Current Neuropharmacology. — 2013. — May (vol. 11, no. 3). — P. 315—335. — doi:10.2174/1570159X11311030006. — PMID 24179466.
- McGleenon, Dynan, Passmore. Acetylcholinesterase inhibitors in Alzheimer’s disease (англ.) // British Journal of Clinical Pharmacology. — 2001. — 24 December (vol. 48, iss. 4). — P. 471–480. — doi:10.1046/j.1365-2125.1999.00026.x. — PMID 10583015.
- Richard D. O'Brien. Toxic Phosphorus Esters: Chemistry, Metabolism, and Biological Effects. — Elsevier, 2016-07-29. — 447 с. — ISBN 978-1-4832-7093-7.
- Stephen M. Roberts, Robert C. James, Phillip L. Williams. Principles of Toxicology: Environmental and Industrial Applications. — John Wiley & Sons, 2014-12-08. — 499 с. — ISBN 978-1-118-98248-8.
- Marcello Lotti, Angelo Moretto. Organophosphate-Induced Delayed Polyneuropathy: (англ.) // Toxicological Reviews. — 2005. — 1 January (vol. 24, iss. 1). — P. 37–49. — ISSN 1176-2551. — doi:10.2165/00139709-200524010-00003. — PMID 16042503.
- Yuschak, Thomas. Advanced lucid dreaming : the power of supplements : how to induce high level lucid dreams & out of body experiences. — [United States?]: Lulu Enterprises, 2006. — 183 pages с. — ISBN 978-1-4303-0542-2, 1-4303-0542-8.
- Taylor, David, 1946 November 28-. The Maudsley prescribing guidelines in psychiatry. — 11th edition. — Chichester, West Sussex. — 1 online resource (682 pages) с. — ISBN 978-0-470-97969-3, 0-470-97969-0, 978-1-118-32325-0, 1-118-32325-4, 9786613497017, 6613497010.
- Salma R.I. Ribeiz, Débora P. Bassitt, Jony A. Arrais, Renata Avila, David C. Steffens. Cholinesterase Inhibitors as Adjunctive Therapy in Patients with Schizophrenia and Schizoaffective Disorder: A Review and Meta-Analysis of the Literature (англ.) // CNS Drugs. — 2010. — April (vol. 24, iss. 4). — P. 303–317. — ISSN 1172-7047. — doi:10.2165/11530260-000000000-00000. — PMID 20297855.
- Kee-Hong Choi, Til Wykes, Matthew M. Kurtz. Adjunctive pharmacotherapy for cognitive deficits in schizophrenia: meta-analytical investigation of efficacy (англ.) // British Journal of Psychiatry. — 2013. — September (vol. 203, iss. 3). — P. 172–178. — ISSN 1472-1465 0007-1250, 1472-1465. — doi:10.1192/bjp.bp.111.107359. — PMID 23999481.
- Jasvinder Singh, Kamalpreet Kour, Mahesh B Jayaram. Acetylcholinesterase inhibitors for schizophrenia (англ.) // Cochrane Database of Systematic Reviews / Cochrane Schizophrenia Group. — 2012. — 18 January (vol. 1). — doi:10.1002/14651858.CD007967.pub2. — PMID 22258978.
- Benjamin L. Handen, Cynthia R. Johnson, Sarah McAuliffe-Bellin, Patricia Jo Murray, Antonio Y. Hardan. Safety and Efficacy of Donepezil in Children and Adolescents with Autism: Neuropsychological Measures (англ.) // Journal of Child and Adolescent Psychopharmacology. — 2011-02. — Vol. 21, iss. 1. — P. 43–50. — ISSN 1557-8992 1044-5463, 1557-8992. — doi:10.1089/cap.2010.0024. — PMID 21309696.
- Ashura Williams Buckley, Kenneth Sassower, Alcibiades J. Rodriguez, Kaitlin Jennison, Katherine Wingert. An Open Label Trial of Donepezil for Enhancement of Rapid Eye Movement Sleep in Young Children with Autism Spectrum Disorders (англ.) // Journal of Child and Adolescent Psychopharmacology. — 2011-08. — Vol. 21, iss. 4. — P. 353–357. — ISSN 1557-8992 1044-5463, 1557-8992. — doi:10.1089/cap.2010.0121. — PMID 21851192.
- A. T. Page, K. Potter, R. Clifford, A. J. McLachlan, C. Etherton‐Beer. Medication appropriateness tool for co‐morbid health conditions in dementia: consensus recommendations from a multidisciplinary expert panel (англ.) // Internal Medicine Journal. — 2016. — October (vol. 46, iss. 10). — P. 1189–1197. — ISSN 1444-0903. — doi:10.1111/imj.13215. — PMID 27527376.
- Kevin Loria. What Really Works to Preserve Brainpower (англ.) (PDF). Consumer Reports. Best Buy Drugs: 2 (май 2012). Дата обращения: 25 августа 2020. Архивировано 5 сентября 2012 года.
- F. Inglis. The tolerability and safety of cholinesterase inhibitors in the treatment of dementia // International Journal of Clinical Practice. Supplement. — 2002. — Июнь (вып. 127). — С. 45–63. — ISSN 1368-504X.
- Ravneet Singh, Nazia M. Sadiq. Cholinesterase Inhibitors (англ.) // StatPearls. — Treasure Island (FL): StatPearls Publishing, 2020.
- Barash PG, Cullen BF, Stoelting RK, Cahalan MK, Stock MC. Clinical anesthesia. — [Seventh edition]. — Philadelphia, PA. — С. 552—554. — 1 online resource (1767 pages) с. — ISBN 978-1-4698-3027-8, 1-4698-3027-2.
- Naif Karadsheh, Paul Kussie, D.Scott Linthicum. Inhibition of acetylcholinesterase by caffeine, anabasine, methyl pyrrolidine and their derivatives (англ.) // Toxicology Letters. — 1991. — March (vol. 55, iss. 3). — P. 335–342. — doi:10.1016/0378-4274(91)90015-X. — PMID 2003276.
- Sanda Vladimir-Knežević, Biljana Blažeković, Marija Kindl, Jelena Vladić, Agnieszka D. Lower-Nedza. Acetylcholinesterase Inhibitory, Antioxidant and Phytochemical Properties of Selected Medicinal Plants of the Lamiaceae Family (англ.) // Molecules. — 2014. — 9 January (vol. 19, iss. 1). — P. 767–782. — ISSN 1420-3049. — doi:10.3390/molecules19010767. — PMID 24413832.
- Mitsuo Miyazawa, Chikako Yamafuji. Inhibition of Acetylcholinesterase Activity by Bicyclic Monoterpenoids (англ.) // Journal of Agricultural and Food Chemistry. — 2005. — March (vol. 53, iss. 5). — P. 1765–1768. — ISSN 1520-5118 0021-8561, 1520-5118. — doi:10.1021/jf040019b. — PMID 15740071.
- Nicolette S. L. Perry, Peter J. Houghton, Anthony Theobald, Peter Jenner, Elaine K. Perry. In-vitro Inhibition of Human Erythrocyte Acetylcholinesterase by Salvia lavandulaefolia Essential Oil and Constituent Terpenes (англ.) // Journal of Pharmacy and Pharmacology. — 2000. — July (vol. 52, iss. 7). — P. 895–902. — doi:10.1211/0022357001774598. — PMID 10933142.
- Bauer BA. Can Huperzine A treat Alzheimer's? (англ.). Mayo Clinic. Дата обращения: 25 августа 2020. Архивировано 19 августа 2012 года.
- Bai-song Wang, Hao Wang, Zhao-hui Wei, Yan-yan Song, Lu Zhang. Efficacy and safety of natural acetylcholinesterase inhibitor huperzine A in the treatment of Alzheimer’s disease: an updated meta-analysis (англ.) // Journal of Neural Transmission. — 2009. — April (vol. 116, iss. 4). — P. 457–465. — ISSN 1435-1463 0300-9564, 1435-1463. — doi:10.1007/s00702-009-0189-x. — PMID 19221692.
- In Kyung Rhee, Natalie Appels, Bertil Hofte, Bahadir Karabatak, Cornelis Erkelens. Isolation of the Acetylcholinesterase Inhibitor Ungeremine from Nerine bowdenii by Preparative HPLC Coupled On-Line to a Flow Assay System // Biological & Pharmaceutical Bulletin. — 2004. — Ноябрь (т. 27, вып. 11). — С. 1804–1809. — ISSN 1347-5215 0918-6158, 1347-5215. — doi:10.1248/bpb.27.1804. — PMID 15516727.
- Regina Messerer, Clelia Dallanoce, Carlo Matera, Sarah Wehle, Lisa Flammini. Novel bipharmacophoric inhibitors of the cholinesterases with affinity to the muscarinic receptors M1 and M2 (англ.) // MedChemComm. — 2017. — 27 April (vol. 8, iss. 6). — P. 1346–1359. — ISSN 2040-2503. — doi:10.1039/c7md00149e. — PMID 30108847.
- Pharmacology. — Edinburgh : Churchill Livingstone, 2003. — ISBN 978-0-443-07145-4. Page 156

