Жасмоновая кислота
Жасмо́новая кислота́ (распространённое международное обозначение JA — от англ. jasmonic acid) — растительный гормон из класса жасмонатов.
| Жасмоновая кислота | |
|---|---|
| |
| Общие | |
| Систематическое наименование |
(1R,2R)-3-оксо-2-(2Z)-пент-2-енилциклопентанэтановая кислота |
| Хим. формула | C12H18O3 |
| Физические свойства | |
| Молярная масса | 210.27 г/моль г/моль |
| Термические свойства | |
| Температура | |
| • кипения | 160 °C |
| Классификация | |
| Рег. номер CAS | [6894-38-8] |
| PubChem | 5281166 |
| SMILES | |
| InChI | |
| ChEBI | 18292 |
| ChemSpider | 4444606 |
| Приведены данные для стандартных условий (25 °C, 100 кПа), если не указано иное. | |
Сложные эфиры и соли жасмоновой кислоты называют жасмонаты, например, биологически важный метиловый эфир — метилжасмонат.
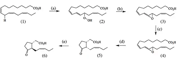
Биосинтез жасмоновой кислоты в растениях осуществляется из α-линоленовой кислоты.
Жасмоновая кислота принимает участие в регуляции таких процессов роста растений, как замедление роста, старение и опадание листьев. Также жасмоновая кислота способствует формированию клубней, корнеклубней и луковиц, например, у картофеля, батата и лука.
Один из регуляторов закрытия ловушек насекомых у хищных растений, например, у венериной мухоловки (Dionaea muscipula).
Жасмоновая кислота у растений играет важную роль в заживлении повреждений тканей.
Жасмоновая кислота в биохимических реакциях превращается в различные производные, например, эфиры — метилжасмонат, которые далее могут химически соединяться с аминокислотами.
Схема биосинтеза жасмоновой кислоты из α-линоленовой кислоты[1]

Примечания
- Dewick, Paul. Medicinal Natural Products: A Biosynthetic Approach (англ.). — United Kingdom: John Wiley & Sons, Ltd, 2009. — P. 42—53. — ISBN 978-0-470-74168-9.
Ссылки
- Comprehensive Natural Products Chemistry : Polyketides and Other Secondary Metabolites Including Fatty Acids and Their Derivatives by Ushio Sankawa (Editor), Derek H. R. Barton (Editor), Koji Nakanishi (Editor) and Otto Meth-Cohn (Editor). ISBN 0-08-043153-4
