Гадодиамид
Гадодиамид — парамагнитный контрастный препарат на основе гадолиния для МРТ-исследований кровеносных сосудов. Распространяется под торговой маркой «Омнискан».
| Гадодиамид | |
|---|---|
| |
| |
| Химическое соединение | |
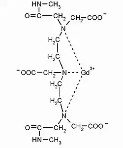
| ИЮПАК | гадолиния(III) 5,8-бис(карбоксилатометил)-2-[2-(метиламино)-2-оксоэтил]-10-оксо-2,5,8,11-тетраазододекан-1-карбоксилата гидрат |
| Брутто-формула | C16H28GdN5O9 |
| Молярная масса | 591.672 |
| CAS | 122795-43-1 |
| PubChem | 153921 |
| DrugBank | DB00225 |
| Состав | |
| Классификация | |
| АТХ | V08CA03 |
| Фармакокинетика | |
| Связывание с белками плазмы | не связывается |
| Метаболизм | не метаболизируется |
| Период полувывед. | 77,8 мин |
| Экскреция | почками |
| Лекарственные формы | |
| водный раствор концентрацией 0,5 ммоль/мл (28,7%) во флаконах по 5, 10, 15, 20, 40 и 50 мл | |
| Способы введения | |
| внутривенно | |
| Другие названия | |
| Омнискан | |
Входит в перечень жизненно необходимых и важнейших лекарственных препаратов.
Литература
- Машковский М. Д. Лекарственные средства. — 15-е изд. — М.: Новая Волна, 2005. — С. 1023. — 1200 с. — ISBN 5-7864-0203-7.
- Магнитно-резонансные контрастные средства и нефрогенные фиброзирующая дермопатия и системный фиброз (обзор литературы)
This article is issued from Wikipedia. The text is licensed under Creative Commons - Attribution - Sharealike. Additional terms may apply for the media files.

