Азины (ациклические)
Азины — производные гидразина общей формулы RR1C=N-N=CRR1, где R и R1 — органические радикалы или атомы водорода. Формально являются продуктами конденсации одного моля гидразина с двумя эквивалентами карбонильного соединения[1]. Азины — продукты конденсации гидразина с альдегидами называются альдазинами[2], продукты конденсации кетонов с гидразином — кетазинами[3].

Свойства и реакционная способность
Низшие алифатические азины — жидкости, высшие, ароматические и гетероциклические — кристаллические вещества, нерастворимые в воде и растворимые в органических растворителях. Азиновая группа является слабой хромофорной группой, вследствие чего большинство азинов окрашены и многие способны к флуоресценции.
Азины являются слабыми основаниями и образуют окрашенные соли с сильными кислотами, которые могут циклизоваться в пиразолины и пирролы. Под действием избытка гидразина азины превращаются в гидразоны:
- RR1C=N-N=CRR1 + N2H4 → 2 RR1C=N-NH2
При нагревании азины отщепляют азот с образованием алкенов:
- RR1C=N-N=CRR1 → RR1C=CRR1 + N2
Кетазины присоединяют хлор с образованием α,α'-дихлоразосоединений:
- R1R2C=N-N=CR3R4 + Cl2 R1R2CCl-N=N-CClR3R4
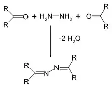
Синтез

Классическим методом синтеза азинов является конденсация карбонильных соединений с гидразином в водной или спиртовой среде:
- 2 RR1CO + N2H4 → RR1C=N-N=CRR1
Выходы в этом методе составляют 70-90 %, однако он пригоден только для синтеза симметричных азинов. Несимметрические азины могут быть синтезированы взаимодействием гидразонов с карбонильными соединениями либо иминами:
- RR1C=N-NH2 + R2R3C=NH → RR1C=N-N=CR2R3 + NH3
Применение
Образование этилметилкетазина (либо диметилкетазина) из гидразона и кетона является одной из стадий в промышленном процессе синтеза гидразина окислением аммиака перекисью водорода (en:Pechiney-Ugine-Kuhlmann process), в котором полученный аммонолизом оксазиридина гидразон конденсируется с кетоном с образованием азина, гидролизом которого регенерируется исходный кетон и получается целевой продукт — гидразин[4]:
Хлорирование кетазинов с дальнейшим замещением хлора в образующихся при хлорировании α,α'-дихлоразосоединениях различными нуклеофилами используется для синтеза функционализированных алифатических азосоединений:
- R1R2C=N-N=CR3R4 + Cl2 R1R2CCl-N=N-CClR3R4
- R1R2CCl-N=N-CClR3R4 + 2 X- R1R2CX-N=N-CCX3R4 + 2 Cl-
- X = RS-, CN-, CH3COO-, R53Al X = R5
Примечания
- azines // IUPAC Gold Book
- aldazines // IUPAC Gold Book
- ketazines // IUPAC Gold Book
- Maxwell, Gary R. (2004), Synthetic nitrogen products: a practical guide to the products and processes, Springer, с. 342–44, ISBN 0306482258.
