Азепин
Азепин (азациклогептатриен) — гетероциклическое азотсодержащее ненасыщенное органическое соединение. Теоретически возможны 4 изомера: 1H-, 2H-, 3H-, и 4H-азепин, однако ни один из них не выделен. Среди производных азепинов устойчивость уменьшается в ряду: 3H-азепин > 1H-азепин > 4H-азепин > 2H-азепин.
1H-азепин
2H-азепин
3H-азепин
4H-азепин
| Азепин | |
|---|---|
| |
| Общие | |
| Хим. формула | C6H7N |
| Физические свойства | |
| Молярная масса | 93,057849 г/моль |
| Классификация | |
| Рег. номер CAS | 291-69-0 |
| PubChem | 6451476 |
| SMILES | |
| InChI | |
| ChemSpider | 4953941 |
| Приведены данные для стандартных условий (25 °C, 100 кПа), если не указано иное. | |
Свойства
Производные 1Н-азепина устойчивы при наличии электроноакцепторного заместителя у атома азота. Они легко димеризуются, образуя аддукты в диеновом синтезе с тетрацианэтиленом, но не реагируют с малеиновым ангидридом и азодикарбоновым эфиром.
Методы получения
- Общий метод получения: взаимодействие 1,4-циклогексадиенов с иодоизоцианатом и спиртом с образованием производных азаноркарадиена, которые находятся в таутомерном равновесии с метоксикарбонил-1H-азепинами, равновесие обычно сдвинуто вправо (см. реакцию), например:
.png.webp)
- Их синтезируют также взаимодействием бензола или его замещенных с нитренами или термической перегруппировкой азаквадрицикленов, получаемых фотоизомеризацией аддуктов диенового синтеза пирролов с ацетиленами:

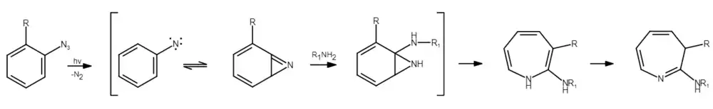
- Все известные производные 3H-Азепина имеют заместители в положении 2: присоединение к ним по двойной связи идет главным образом в положения 1 и 2. 2-Амино-3Н-Азепин получают разложением арилазидов в присутствии аминов:

- 4Н-Азепины синтезируют из аддуктов ненасыщенных тиазинов с дифенилциклопропенами, образующихся в реакции Дильса — Альдера. Однако при нагревании они превращаются в более устойчивые производные 3Н-Азепины.
Применение
Некоторые производные азепинов, главным образом частично гидрированные N-замещенные дибензазепины, используют в медицине как антидепрессанты.
Литература
- Химическая энциклопедия / Редкол.: Кнунянц И. Л. и др.. — М.: Советская энциклопедия, 1988. — Т. 1. — 47 с.
- Химия гетероциклических соединений, Иванский В. И., М., 1978, с. 486—493.
- Общая органическая химия, пер. с англ., т. 8, М., 1985, с 708—336
This article is issued from Wikipedia. The text is licensed under Creative Commons - Attribution - Sharealike. Additional terms may apply for the media files.
